医療用医薬品 詳細表示

ゲンタマイシン硫酸塩点眼液0.3%「ニットー」

添付文書番号

1317706Q1127_1_03

企業コード

100461

作成又は改訂年月

2024年10月改訂(第2版)
2023年4月改訂(第1版)

日本標準商品分類番号

871317

薬効分類名

眼科用抗生物質製剤

承認等

ゲンタマイシン硫酸塩点眼液0.3%「ニットー」

販売名コード

YJコード

1317706Q1127

販売名英語表記

Gentamicin Sulfate Ophthalmic Solution 0.3%「NITTO」

販売名ひらがな

げんたまいしんりゅうさんえんてんがんえき0.3%にっとー

承認番号等

承認番号

30100AMX00041000

販売開始年月

1994年11月

貯法・有効期間

貯法

室温保存

有効期間

2年

基準名

日本薬局方

ゲンタマイシン硫酸塩点眼液

一般的名称

ゲンタマイシン硫酸塩点眼液

2. 禁忌(次の患者には投与しないこと)

本剤の成分、アミノグリコシド系抗生物質及びバシトラシンに対し過敏症の既往歴のある患者

3. 組成・性状

3.1 組成

ゲンタマイシン硫酸塩点眼液0.3%「ニットー」

有効成分1mL中 日局 ゲンタマイシン硫酸塩 3mg(力価)  
添加剤パラオキシ安息香酸メチル、乾燥亜硫酸ナトリウム、塩化ナトリウム、リン酸二水素ナトリウム水和物、無水リン酸一水素ナトリウム

3.2 製剤の性状

ゲンタマイシン硫酸塩点眼液0.3%「ニットー」

pH5.5~7.5
性状微黄色澄明の無菌水性点眼剤

4. 効能又は効果

〈適応菌種〉

ゲンタマイシンに感性のブドウ球菌属、レンサ球菌属、肺炎球菌、インフルエンザ菌、ヘモフィルス・エジプチウス(コッホ・ウィークス菌)、緑膿菌

〈適応症〉

眼瞼炎、涙嚢炎、麦粒腫、結膜炎、角膜炎

6. 用法及び用量

通常、1回1~2滴、1日3~4回点眼する。

8. 重要な基本的注意

  1. 8.1 本剤の使用にあたっては、耐性菌の発現等を防ぐため、原則として感受性を確認し、疾病の治療上必要な最小限の期間の投与にとどめること。
  2. 8.2 長期間連用しないこと。
  3. 8.3 使用中に感作されるおそれがあるので、観察を十分に行い、感作されたことを示す兆候があらわれた場合には投与を中止すること。

11. 副作用

次の副作用があらわれることがあるので、観察を十分に行い、異常が認められた場合には投与を中止するなど適切な処置を行うこと。

11.2 その他の副作用

頻度不明

過敏症

アレルギー性結膜炎、アレルギー性眼瞼炎、接触皮膚炎

灼熱感、刺激感、疼痛、そう痒感、充血、羞明、異物感、結膜浮腫

14. 適用上の注意

14.1 薬剤交付時の注意

患者に対し以下の点に注意するよう指導すること。

  • 薬液汚染防止のため、点眼のとき、容器の先端が直接目に触れないように注意すること。
  • 患眼を開瞼して結膜嚢内に点眼し、1~5分間閉瞼して涙嚢部を圧迫させた後、開瞼すること。
  • 他の点眼剤を併用する場合には、少なくとも5分以上間隔をあけてから点眼すること。

16. 薬物動態

16.3 分布

0.3%ゲンタマイシン硫酸塩点眼液の点眼による眼内移行について白色ウサギを用いて検討した結果、前房内移行はきわめて良好であった。眼組織内へは、外眼筋、球結膜に高濃度に、ついで眼瞼に移行する。また、正常角膜には移行しないが、角膜上皮に損傷がある場合には通常移行しやすくなることが認められている1)

16.8 その他

  1. 16.8.1 生物学的同等性試験

    本剤と標準製剤(ゲンタシン点眼液0.3%)について、クロスオーバー法により、5分ごとに5回白色ウサギに点眼して前房水内のゲンタマイシン硫酸塩を測定した結果、最高前房水内濃度は両製剤とも投薬後2時間で得られ、前房水内濃度の時間的推移もほぼ同様の傾向を示し、有意な差は認められなかった。以上により、両製剤の生物学的同等性が確認された2)

18. 薬効薬理

18.1 作用機序

ゲンタマイシンはMicromonospora purpureaおよびM.echinosporaの産生するpseudo-polysaccharideである。作用は静菌的というよりは殺菌的で、蛋白合成を阻害することによるものであると考えられている1),3),4)

18.2 抗菌作用

単剤でグラム陽性・陰性菌に抗菌作用を現し、特に多剤抵抗性の緑膿菌および変形菌に強い作用を現す(in vitro1)

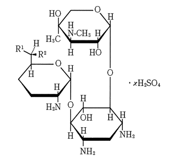
19. 有効成分に関する理化学的知見

一般的名称

ゲンタマイシン硫酸塩(Gentamicin Sulfate)

化学名

ゲンタマイシンC1硫酸塩:

(6R)-2-Amino-2,3,4,6-tetradeoxy-6-methylamino-6-methyl-α-D-erythro-hexopyranosyl-(1→4)-[3-deoxy-4-C-methyl-3-methylamino-β-L-arabinopyranosyl-(1→6)]-2-deoxy-D-streptamine sulfate

ゲンタマイシンC2硫酸塩:

(6R)-2,6-Diamino-2,3,4,6-tetradeoxy-6-methyl-α-D-erythro-hexopyranosyl-(1→4)-[3-deoxy-4-C-methyl-3-methylamino-β-L-arabinopyranosyl-(1→6)]-2-deoxy-D-streptamine sulfate

ゲンタマイシンC1a硫酸塩:

2,6-Diamino-2,3,4,6-tetradeoxy-α-D-erythro-hexopyranosyl-(1→4)-[3-deoxy-4-C-methyl-3-methylamino-β-L-arabinopyranosyl-(1→6)]-2-deoxy-D-streptamine sulfate

性状

ゲンタマイシン硫酸塩は白色~淡黄白色の粉末である。
水に極めて溶けやすく、エタノール(99.5)にほとんど溶けない。
吸湿性である。

化学構造式


ゲンタマイシンC1硫酸塩:R1=CH3 R2=NHCH3

ゲンタマイシンC2硫酸塩:R1=CH3 R2=NH2

ゲンタマイシンC1a硫酸塩:R1=H  R2=NH2

本品の力価は、ゲンタマイシンC1(C21H43N5O7:477.60)としての量を質量(力価)で示す。

略号

GM

旋光度

[α]:+107~+121°(乾燥物に換算したもの0.25g、水、25mL、100mm)

22. 包装

*プラスチック点眼容器 5mL×10本

24. 文献請求先及び問い合わせ先

日東メディック株式会社 おくすり相談窓口

〒104-0031 東京都中央区京橋1-10-7

電話:03-3523-0345

FAX:03-6264-4086

26. 製造販売業者等

26.1 製造販売元

日東メディック株式会社

富山県富山市八尾町保内1-14-1

〒100-0013 東京都千代田区霞が関3-3-2 新霞が関ビル

画面を閉じる

Copyright © Pharmaceuticals and Medical Devices Agency, All Rights reserved.