医療用医薬品 詳細表示

サンラビン点滴静注用150mg/サンラビン点滴静注用200mg/サンラビン点滴静注用250mg

処方せん医薬品

添付文書番号
企業コード
作成又は改訂年月
日本標準商品分類番号
薬効分類名
承認等
一般的名称
2.禁忌(次の患者には投与しないこと)
3.組成・性状
3.1組成
3.2製剤の性状
4.効能・効果
6.用法・用量
8.重要な基本的注意
9.特定の背景を有する患者に関する注意
9.1合併症・既往歴等のある患者
9.3肝機能障害患者
9.4生殖能を有する者
9.5妊婦
9.6授乳婦
9.7小児等
9.8高齢者
10.相互作用
10.2併用注意(併用に注意すること)
11.副作用
11.1重大な副作用
11.2その他の副作用
14.適用上の注意
15.その他の注意
15.1臨床使用に基づく情報
15.2非臨床試験に基づく情報
16.薬物動態
16.1血中濃度
16.4代謝
16.5排泄
17.臨床成績
17.1有効性及び安全性に関する試験
18.薬効薬理
18.1作用機序
18.2抗腫瘍作用
19.有効成分に関する理化学的知見
22.包装
23.主要文献
24.文献請求先及び問い合わせ先
26.製造販売業者等

サンラビン点滴静注用150mg/サンラビン点滴静注用200mg/サンラビン点滴静注用250mg

添付文書番号

4224402D1036_1_05

企業コード

100898

作成又は改訂年月

2023年11月改訂(第1版)

日本標準商品分類番号

874224

薬効分類名

抗悪性腫瘍剤

承認等

サンラビン点滴静注用150mg

販売名コード

YJコード

4224402D1036

販売名英語表記

Sunrabin Injection

販売名ひらがな

さんらびんてんてきじょうちゅうよう150mg

承認番号等

承認番号

22100AMX00510000

販売開始年月

1983年2月

貯法・有効期間

貯法

2~8℃保存

有効期間

4年

サンラビン点滴静注用200mg

販売名コード

YJコード

4224402D2032

販売名英語表記

Sunrabin Injection

販売名ひらがな

さんらびんてんてきじょうちゅうよう200mg

承認番号等

承認番号

22100AMX00511000

販売開始年月

1983年2月

貯法・有効期間

貯法

2~8℃保存

有効期間

4年

サンラビン点滴静注用250mg

販売名コード

YJコード

4224402D3039

販売名英語表記

Sunrabin Injection

販売名ひらがな

さんらびんてんてきじょうちゅうよう250mg

承認番号等

承認番号

22100AMX00512000

販売開始年月

1983年2月

貯法・有効期間

貯法

2~8℃保存

有効期間

4年

一般的名称

エノシタビン

2. 禁忌(次の患者には投与しないこと)

本剤の成分に対し重篤な過敏症の既往歴のある患者

3. 組成・性状

3.1 組成

サンラビン点滴静注用150mg

有効成分1バイアル中
エノシタビン   150mg
添加剤ポリオキシエチレン硬化ヒマシ油60 1050mg、デヒドロコール酸14.25mg、サリチル酸ナトリウム15.0mg、チオ硫酸ナトリウム水和物0.075mg、ブドウ糖750mg、pH調節剤

サンラビン点滴静注用200mg

有効成分1バイアル中
エノシタビン   200mg
添加剤ポリオキシエチレン硬化ヒマシ油60 1400mg、デヒドロコール酸19.00mg、サリチル酸ナトリウム20.0mg、チオ硫酸ナトリウム水和物0.100mg、ブドウ糖1000mg、pH調節剤

サンラビン点滴静注用250mg

有効成分1バイアル中
エノシタビン   250mg
添加剤ポリオキシエチレン硬化ヒマシ油60 1750mg、デヒドロコール酸23.75mg、サリチル酸ナトリウム25.0mg、チオ硫酸ナトリウム水和物0.125mg、ブドウ糖1250mg、pH調節剤

3.2 製剤の性状

サンラビン点滴静注用150mg

剤形注射剤
pH5.5~7.0注1)
浸透圧比約1注1)
(生理食塩液に対する比)
性状白色の多孔性の固体又は粉末で、溶解後は無色澄明な水溶液注1)

注1)本剤を14.1の調製方法に従って溶解した場合

サンラビン点滴静注用200mg

剤形注射剤
pH5.5~7.0注1)
浸透圧比約1注1)
(生理食塩液に対する比)
性状白色の多孔性の固体又は粉末で、溶解後は無色澄明な水溶液注1)

注1)本剤を14.1の調製方法に従って溶解した場合

サンラビン点滴静注用250mg

剤形注射剤
pH5.5~7.0注1)
浸透圧比約1注1)
(生理食塩液に対する比)
性状白色の多孔性の固体又は粉末で、溶解後は無色澄明な水溶液注1)

注1)本剤を14.1の調製方法に従って溶解した場合

4. 効能・効果

急性白血病(慢性白血病の急性転化を含む)

6. 用法・用量

通常、1日量、体重1kg当り3.5~6.0mgを5%ブドウ糖注射液、5%果糖注射液、5%キシリット注射液、生理食塩液、リンゲル液又は糖電解質注射液に混合し、静脈内に2~4時間で1日1回又は2回に分割し点滴注射する。通常10~14日間連日投与を行うか、又は、6~10日間連日投与後、休薬期間をおいて同様の投与を繰り返す。
用量及び投与期間については患者の末梢血及び骨髄の状態により適宜増減する。

8. 重要な基本的注意

  1. 8.1 骨髄機能抑制等の重篤な副作用が起こることがあるので、頻回に臨床検査(血液検査、肝機能・腎機能検査等)を行うなど、患者の状態を十分に観察すること。またこれらの副作用は、遷延性に推移することがあるので、投与は慎重に行うこと。,
  2. 8.2 感染症・出血傾向の発現又は増悪に十分注意すること。,
  3. 8.3 本剤の投与により、ときにショック等の重篤な過敏反応の発現がみられるので、使用に際しては少量注入後患者の状態をよく観察すること。,,,
  4. 8.4 ショック等を予測するため、投与に際してはアレルギー既往歴、薬物過敏症等について十分な問診を行うこと。,,,
  5. 8.5 本剤の添加物であるポリオキシエチレン硬化ヒマシ油を含有する医薬品でショックの発現が報告されているので、上記注意事項に留意すること。また、ポリオキシエチレン硬化ヒマシ油を含有する他の製剤で高脂血症がみられたとの報告がある。,,,

9. 特定の背景を有する患者に関する注意

9.1 合併症・既往歴等のある患者

  1. 9.1.1 骨髄機能抑制のある患者

    症状を増悪させるおそれがある。,,

  2. 9.1.2 感染症を合併している患者

    骨髄機能抑制により、症状を増悪させるおそれがある。

  3. 9.1.3 本人又は両親、兄弟に気管支喘息、発疹、蕁麻疹等のアレルギーを起こしやすい体質を持つ患者

    ,,,,

  4. 9.1.4 薬物過敏症の既往歴のある患者

    ,,,,

9.3 肝機能障害患者

症状を悪化させるおそれがある。

9.4 生殖能を有する者

小児及び生殖可能な年齢の患者に投与する必要がある場合には、性腺に対する影響を考慮すること。

9.5 妊婦

妊婦又は妊娠している可能性のある女性には、治療上の有益性が危険性を上回ると判断される場合にのみ投与すること。動物実験(ラット、ウサギ)で催奇形作用(胎児の骨格異常・外形異常)が報告されている。

9.6 授乳婦

授乳しないことが望ましい。動物実験(ウサギ)で母乳中へ移行することが報告されている。

9.7 小児等

小児等を対象とした臨床試験は実施されていない。

9.8 高齢者

用量並びに投与間隔に留意するなど患者の状態を観察しながら慎重に投与すること。一般に生理機能(造血機能、肝機能、腎機能等)が低下していることが多い。

10. 相互作用

    10.2 併用注意(併用に注意すること)

    薬剤名等臨床症状・措置方法機序・危険因子

    他の抗悪性腫瘍剤

    骨髄機能抑制等の副作用が増強することがある。

    副作用が相互に増強される。

    11. 副作用

    次の副作用があらわれることがあるので、観察を十分に行い、異常が認められた場合には投与を中止するなど適切な処置を行うこと。

    11.1 重大な副作用

    1. 11.1.1 ショック(0.4%)

      ,,,,

    2. 11.1.2 重篤な過敏症(0.1%)

      胸部圧迫感、発疹、皮膚の潮紅等の重篤な過敏症状があらわれることがある。,,,,

    3. 11.1.3 血液障害(頻度不明)

      汎血球減少、白血球減少、血小板減少、貧血、また、骨髄に巨赤芽球様細胞を認めることがある。,

    11.2 その他の副作用

    10%以上

    1~10%未満

    1%未満

    消化器

    食欲不振、悪心・嘔吐

    下痢、腹痛、腹部膨満感、口内炎

    精神神経系

    倦怠感、頭痛

    腰痛、眩暈、しびれ感

    肝臓

    ビリルビン、AST、ALT、ALPの上昇

    泌尿器

    BUN、クレアチニンの上昇

    蛋白尿、頻尿

    皮膚

    脱毛

    紅斑、そう痒

    その他

    発熱

    浮腫、心悸亢進

    注)発現頻度は使用成績調査を含む

    14. 適用上の注意

    14.1 薬剤調製時の注意

    1. 14.1.1 本剤は、可溶化剤としてポリオキシエチレン硬化ヒマシ油60を使用しており、「14.1.2 調製方法」及び「14.1.3 保存方法」を必ず守ること。
    2. 14.1.2 調製方法
      1. (1) エノシタビン10mgに対し、日局注射用水を1mLの割合で加える。
      2. (2) バイアルを溶解ラックに入れ、あらかじめ沸騰させた水浴中で約10分間加熱する。その間、3回沸騰水浴中から取り出し、強く振り混ぜる(各回10秒間に10~15回程度)。
        注意:本剤溶解操作時に溶解鍋の空焚きをしないこと。[空焚きによりバイアルが破裂し、内容液とガラス片が飛散するおそれがある。]
      3. (3) 沸騰水浴中から取り出し、小さな塊あるいは透明なゲル状物のない均一な乳白色の液が得られたことを確認する。
        注意:乳白色の液が得られない場合は、再度上記(2)の操作を行う。
      4. (4) バイアルを熱い溶解ラックごと、好ましくは氷水中(流水中でも可)で約3分間振り混ぜながら急冷すると無色澄明な液が得られる。この溶液1.1mLには約10mgのエノシタビンが含まれる。
        注意:無色澄明な液を得るためには、急冷することが最も重要なポイントであるため、放置しないこと。
        (急冷操作前にバイアルを放置する等により冷ましたような場合には、再度沸騰水浴中で加熱後、ただちに急冷操作を行う。)
      5. (5) 本剤の水溶液を輸液で希釈する際には、泡立ちを極力抑え、注入後の撹拌は穏やかに行う。(輸液容器の液中に本剤の水溶液を注入する針を浸けて注入するか、又は壁を伝わせてゆっくり注入する。)
    3. 14.1.3 保存方法

      本剤の水溶液(輸液希釈前)をやむを得ず保存する場合は、5℃以下で保存し、48時間以内に使用すること。
      注意:輸液希釈前に、無色澄明であることを確認する。無色澄明でない場合は「14.1.2 調製方法(2)~(4)」に準じて再度調製すること。

    14.2 薬剤投与時の注意

    1. 14.2.1 静脈内投与により、ときに静脈炎等を起こすことがあるので注射部位、注射方法等に十分注意すること。
    2. 14.2.2 静脈内投与に際し、薬液が血管外に漏れると、注射部位に疼痛、発赤、腫脹等の炎症を起こすことがあるので、慎重に投与すること。
    3. 14.2.3 ポリ塩化ビニール製の点滴セット、カテーテル等から、可塑剤であるDEHP[di-(2-ethylhexyl)phthalate:フタル酸ジ-(2-エチルヘキシル)]が溶出するので、ポリ塩化ビニール製の点滴セット、カテーテル等の使用を避けること。

    15. その他の注意

    15.1 臨床使用に基づく情報

    本剤と他の抗悪性腫瘍剤を併用した患者に、急性白血病(前白血病相を伴う場合もある)、骨髄異形成症候群(MDS)が発生したとの報告がある。

    15.2 非臨床試験に基づく情報

    マウスに静脈内投与した小核試験において、変異原性が認められている。

    16. 薬物動態

    16.1 血中濃度

    急性白血病患者に注射用サンラビン200mgを1.5時間かけて単回点滴静注を行い、血漿、血球中エノシタビン濃度を測定した1)
    血漿中エノシタビンの濃度変化は二相性を示し、その半減期は第一相で0.37±0.25時間、第二相で5.3±4.8時間であった。
    一方、血球中のエノシタビン濃度は投与終了時までは血漿中と同じであったが、投与開始24時間後には血漿中の約10倍を示した。また、骨髄液中エノシタビン濃度は投与開始4時間後では血漿中とほぼ同じであったが、12時間後には血漿中より有意に高値を示した。

    16.4 代謝

    急性白血病患者に注射用サンラビン200mgを1.5時間かけて単回点滴静注したところ、血液中にはエノシタビンの他に代謝産物としてシタラビン及びウラシルアラビノシドが検出された1),2)

    16.5 排泄

    急性白血病患者に注射用サンラビン200mgを1.5時間かけて単回点滴静注したところ、尿中にはエノシタビンとしては排泄されず、投与開始24時間後までにシタラビンとして0.5%、ウラシルアラビノシドとして72%が排泄された1),2)

    17. 臨床成績

    17.1 有効性及び安全性に関する試験

    1. 17.1.1 国内臨床試験

      全国19施設において急性骨髄性白血病、急性前骨髄球性白血病、急性単球性白血病、急性リンパ性白血病、慢性骨髄性白血病の急性転化等を対象に注射用サンラビンの臨床試験を実施した3),4)
      注射用サンラビン2.0~8.0mg/kgを6~35日間単独投与した場合の治療成績は未治療症例50例中、完全寛解17例(34.0%)、部分寛解13例(26.0%)であり、また既治療症例27例中、完全寛解4例(14.8%)、部分寛解7例(25.9%)であった。
      多剤併用療法としては、BH-AC・DMP療法、BH-AC・AMP療法、BH-AC・DVP療法等が試みられたが、このうちBH-AC・DMP療法の治療成績は未治療症例141例中、完全寛解103例(73.0%)、部分寛解8例(5.7%)であった。

    18. 薬効薬理

    18.1 作用機序

    ヒトの肝、脾、腎及び白血病細胞で活性物質(シタラビン等)に徐々に変換・代謝されDNA合成阻害により抗腫瘍作用を示す5),6),7),8),9)

    18.2 抗腫瘍作用

    L1210及びヒトリンパ性白血病細胞(市川株)等の担癌マウスに対して延命効果を示した10),11),12)

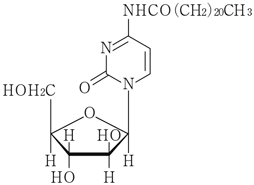
    19. 有効成分に関する理化学的知見

    一般的名称

    エノシタビン(Enocitabine)(JAN)

    化学名

    N4-behenoyl-1-β-D-arabinofuranosylcytosine

    分子式

    C31H55N3O6

    分子量

    565.78

    性状

    白色の結晶性の粉末である。
    テトラヒドロフランに溶けにくく、エタノールに極めて溶けにくく、水又はエーテルにほとんど溶けない。

    化学構造式

    融点

    145~150℃(分解)

    略号

    BH-AC

    22. 包装

    • 〈サンラビン点滴静注用150mg〉

      10バイアル

    • 〈サンラビン点滴静注用200mg〉

      10バイアル

    • 〈サンラビン点滴静注用250mg〉

      10バイアル

    24. 文献請求先及び問い合わせ先

    旭化成ファーマ株式会社 くすり相談窓口

    〒100-0006 東京都千代田区有楽町一丁目1番2号

    フリーダイヤル0120-114-936
    (9:00~17:45/土日祝、休業日を除く)

    26. 製造販売業者等

    26.1 製造販売元

    旭化成ファーマ株式会社

    東京都千代田区有楽町一丁目1番2号

    〒100-0013 東京都千代田区霞が関3-3-2 新霞が関ビル

    画面を閉じる

    Copyright © Pharmaceuticals and Medical Devices Agency, All Rights reserved.