医療用医薬品 詳細表示

キシロカイン注射液「0.5%」エピレナミン(1:100,000)含有/キシロカイン注射液「1%」エピレナミン(1:100,000)含有/キシロカイン注射液「2%」エピレナミン(1:80,000)含有

処方せん医薬品

添付文書番号
企業コード
作成又は改訂年月
日本標準商品分類番号
薬効分類名
承認等
一般的名称
2.禁忌(次の患者には投与しないこと)
3.組成・性状
3.1組成
3.2製剤の性状
4.効能又は効果
6.用法及び用量
7.用法及び用量に関連する注意
8.重要な基本的注意
9.特定の背景を有する患者に関する注意
9.1合併症・既往歴等のある患者
9.2腎機能障害患者
9.3肝機能障害患者
9.5妊婦
9.6授乳婦
9.7小児等
9.8高齢者
10.相互作用
10.1併用禁忌(併用しないこと)
10.2併用注意(併用に注意すること)
11.副作用
11.1重大な副作用
11.2その他の副作用
13.過量投与
14.適用上の注意
15.その他の注意
15.1臨床使用に基づく情報
16.薬物動態
16.1血中濃度
16.3分布
16.4代謝
16.5排泄
16.6特定の背景を有する患者
18.薬効薬理
18.1作用機序
18.2麻酔効果・作用時間
19.有効成分に関する理化学的知見
20.取扱い上の注意
22.包装
23.主要文献
24.文献請求先及び問い合わせ先
26.製造販売業者等

キシロカイン注射液「0.5%」エピレナミン(1:100,000)含有/キシロカイン注射液「1%」エピレナミン(1:100,000)含有/キシロカイン注射液「2%」エピレナミン(1:80,000)含有

添付文書番号

1214400A1022_4_05

企業コード

112268

作成又は改訂年月

2026年4月改訂(第2版)
2023年9月改訂(第1版)

日本標準商品分類番号

871214

薬効分類名

局所麻酔剤

承認等

キシロカイン注射液「0.5%」エピレナミン(1:100,000)含有

販売名コード

YJコード

1214400A1022

販売名英語表記

Xylocaine Injection 0.5% with Epinephrine

販売名ひらがな

きしろかいんちゅうしゃえき「0.5%」えぴれなみん(1:100,000)がんゆう

承認番号等

承認番号

13127KUZ01613004

販売開始年月

1956年3月

貯法・有効期間

貯法

凍結を避けて15℃以下に保存

有効期間

2.5年

キシロカイン注射液「1%」エピレナミン(1:100,000)含有

販売名コード

YJコード

1214400A2029

販売名英語表記

Xylocaine Injection 1% with Epinephrine

販売名ひらがな

きしろかいんちゅうしゃえき「1%」えぴれなみん(1:100,000)がんゆう

承認番号等

承認番号

13127KUZ01613007

販売開始年月

1956年3月

貯法・有効期間

貯法

凍結を避けて15℃以下に保存

有効期間

2.5年

キシロカイン注射液「2%」エピレナミン(1:80,000)含有

販売名コード

YJコード

1214400A3025

販売名英語表記

Xylocaine Injection 2% with Epinephrine

販売名ひらがな

きしろかいんちゅうしゃえき「2%」えぴれなみん(1:80,000)がんゆう

承認番号等

承認番号

13127KUZ01613003

販売開始年月

1956年3月

貯法・有効期間

貯法

凍結を避けて15℃以下に保存

有効期間

2.5年

一般的名称

リドカイン塩酸塩
アドレナリン

2. 禁忌(次の患者には投与しないこと)

  • 〈効能共通〉
    1. 2.1 本剤の成分又はアミド型局所麻酔薬に対し過敏症の既往歴のある患者
    2. 2.2 高血圧、動脈硬化、心不全、甲状腺機能亢進、糖尿病のある患者及び血管攣縮の既往のある患者[これらの病状が悪化するおそれがある。]
    3. 2.3 狭隅角や前房が浅いなど眼圧上昇の素因のある患者(眼科領域等の麻酔に用いる場合)[アドレナリンにより、閉塞隅角緑内障患者の発作を誘発することがある。]
    4. 2.4 ブチロフェノン系・フェノチアジン系等の抗精神病薬、α遮断薬を投与中の患者
    5. 2.5 イソプロテレノール等のカテコールアミン製剤、アドレナリン作動薬を投与中の患者
  • 〈硬膜外麻酔〉
    1. 2.6 大量出血やショック状態の患者[過度の血圧低下が起こることがある。]
    2. 2.7 注射部位又はその周辺に炎症のある患者[化膿性髄膜炎症状を起こすことがある。]
    3. 2.8 敗血症の患者[敗血症性の髄膜炎を生じるおそれがある。]
  • 〈伝達麻酔・浸潤麻酔〉
    1. 2.9 陰茎の麻酔を目的とする患者[壊死状態になるおそれがある。]

3. 組成・性状

3.1 組成

キシロカイン注射液「0.5%」エピレナミン(1:100,000)含有

有効成分
(1mL中)
  リドカイン塩酸塩 5mg
有効成分
(1mL中)
  アドレナリン 0.01mg
添加剤
(1mL中)
  塩酸 0.1μL
塩化ナトリウム 8mg
メチルパラベン 1mg
ピロ亜硫酸ナトリウム 0.55mg
pH調整剤 適量

キシロカイン注射液「1%」エピレナミン(1:100,000)含有

有効成分
(1mL中)
  リドカイン塩酸塩 10mg
有効成分
(1mL中)
  アドレナリン 0.01mg
添加剤
(1mL中)
  塩酸 0.2μL
塩化ナトリウム 6mg
メチルパラベン 1mg
ピロ亜硫酸ナトリウム 0.55mg
pH調整剤 適量

キシロカイン注射液「2%」エピレナミン(1:80,000)含有

有効成分
(1mL中)
  リドカイン塩酸塩 20mg
有効成分
(1mL中)
  アドレナリン 0.0125mg
添加剤
(1mL中)
  塩酸 0.4μL
塩化ナトリウム 6mg
メチルパラベン 1mg
ピロ亜硫酸ナトリウム 0.55mg
pH調整剤 適量

3.2 製剤の性状

キシロカイン注射液「0.5%」エピレナミン(1:100,000)含有

剤形注射剤
pH3.3~5.0
浸透圧比約1(生理食塩液に対する比)
性状無色澄明の液

キシロカイン注射液「1%」エピレナミン(1:100,000)含有

剤形注射剤
pH3.3~5.0
浸透圧比約1(生理食塩液に対する比)
性状無色澄明の液

キシロカイン注射液「2%」エピレナミン(1:80,000)含有

剤形注射剤
pH3.3~5.0
浸透圧比約1(生理食塩液に対する比)
性状無色澄明の液

4. 効能又は効果

  • 〈キシロカイン注射液「0.5%」エピレナミン(1:100,000)含有〉

    硬膜外麻酔、伝達麻酔、浸潤麻酔

  • 〈キシロカイン注射液「1%」エピレナミン(1:100,000)含有、キシロカイン注射液「2%」エピレナミン(1:80,000)含有〉

    硬膜外麻酔、伝達麻酔、浸潤麻酔、表面麻酔

6. 用法及び用量

  • 〈キシロカイン注射液「0.5%」エピレナミン(1:100,000)含有〉

    硬膜外麻酔;[基準最高用量:1回100mL]通常成人5~30mLを使用する。交感神経遮断には5~20mLを使用する。
    伝達麻酔;[基準最高用量:1回100mL]通常成人3~40mLを使用する。肋間神経遮断には5mLまでを使用する。
    浸潤麻酔;[基準最高用量:1回100mL]通常成人2~40mLを使用する。
    なお、いずれの場合も、年齢、麻酔領域、部位、組織、症状、体質により適宜増減する。

  • 〈キシロカイン注射液「1%」エピレナミン(1:100,000)含有〉

    硬膜外麻酔;[基準最高用量:1回50mL]通常成人10~30mLを使用する。
    伝達麻酔;[基準最高用量:1回50mL]通常成人3~20mLを使用する。肋間神経遮断には5mLまでを使用する。
    浸潤麻酔;[基準最高用量:1回50mL]通常成人2~40mLを使用する。
    表面麻酔;適量を塗布または噴霧する。
    なお、いずれの場合も、年齢、麻酔領域、部位、組織、症状、体質により適宜増減する。

  • 〈キシロカイン注射液「2%」エピレナミン(1:80,000)含有〉

    硬膜外麻酔;[基準最高用量:1回25mL]通常成人10~20mLを使用する。
    伝達麻酔;[基準最高用量:1回25mL]通常成人2~20mLを使用する。
    浸潤麻酔;[基準最高用量:1回25mL]通常成人2~25mLを使用する。眼科領域の麻酔には0.5~2mLを使用する。
    表面麻酔;適量を塗布または噴霧する。
    なお、いずれの場合も、年齢、麻酔領域、部位、組織、症状、体質により適宜増減する。

7. 用法及び用量に関連する注意

各種麻酔方法による用量は次表のとおりである。( )内はリドカイン塩酸塩として、〈 〉内はアドレナリンとしての用量である。

麻酔方法

注射液0.5%

注射液1%

注射液2%

硬膜外麻酔

5~30mL
(25~150mg)
〈0.05~0.3mg〉

10~30mL
(100~300mg)
〈0.1~0.3mg〉

10~20mL
(200~400mg)
〈0.125~0.25mg〉

硬膜外麻酔
[交感神経遮断]

5~20mL
(25~100mg)
〈0.05~0.2mg〉

伝達麻酔

3~40mL
(15~200mg)
〈0.03~0.4mg〉

3~20mL
(30~200mg)
〈0.03~0.2mg〉

2~20mL
(40~400mg)
〈0.025~0.25mg〉

伝達麻酔
[肋間神経遮断]

5mLまで
(25mgまで)
〈0.05mg〉

5mLまで
(50mgまで)
〈0.05mg〉

浸潤麻酔

2~40mL
(10~200mg)
〈0.02~0.4mg〉

2~40mL
(20~400mg)
〈0.02~0.4mg〉

2~25mL
(40~500mg)
〈0.025~0.3125mg〉

浸潤麻酔
[眼科領域麻酔]

0.5~2mL
(10~40mg)
〈0.00625~0.025mg〉

表面麻酔

適量を塗布又は噴霧する

適量を塗布又は噴霧する

8. 重要な基本的注意

  • 〈効能共通〉
    1. 8.1 まれにショックあるいは中毒症状を起こすことがあるので、本剤の投与に際しては、十分な問診により患者の全身状態を把握するとともに、異常が認められた場合に直ちに救急処置のとれるよう、常時準備をしておくこと。なお、事前の静脈路確保が望ましい。
    2. 8.2 本剤の投与に際し、その副作用を完全に防止する方法はないが、ショックあるいは中毒症状をできるだけ避けるために、以下の点に留意すること。
      1. 8.2.1 患者の全身状態の観察を十分に行うこと。
      2. 8.2.2 できるだけ薄い濃度のものを用いること。
      3. 8.2.3 できるだけ必要最少量にとどめること。
      4. 8.2.4 前投薬や術中に投与した鎮静薬、鎮痛薬等による呼吸抑制が発現することがあるので、これらの薬剤を使用する際は少量より投与し、必要に応じて追加投与することが望ましい。なお、高齢者、小児、全身状態が不良な患者、肥満者、呼吸器疾患を有する患者では特に注意し、異常が認められた際には、適切な処置を行うこと。,,
    3. 8.3 アドレナリンは、α受容体、β受容体それぞれに作用し、その作用は投与量、投与方法等に影響を受けやすいので注意すること。
  • 〈硬膜外麻酔〉
    1. 8.4 本剤の投与に際し、その副作用を完全に防止する方法はないが、ショックあるいは中毒症状をできるだけ避けるために、以下の点に留意すること。
      1. 8.4.1 注射の速度はできるだけ遅くすること。
      2. 8.4.2 注射針が、血管又はくも膜下腔に入っていないことを確かめること。
      3. 8.4.3 試験的に注入(test dose)し、注射針又はカテーテルが適切に留置されていることを確認すること。
      4. 8.4.4 麻酔範囲が予期した以上に広がることにより、過度の血圧低下、徐脈、呼吸抑制を来すことがあるので、麻酔範囲に注意すること。
    2. 8.5 注射針又はカテーテルが適切に位置していない等により、神経障害が生じることがあるので、穿刺に際し異常を認めた場合には本剤の注入を行わないこと。
  • 〈伝達麻酔・浸潤麻酔〉
    1. 8.6 本剤の投与に際し、その副作用を完全に防止する方法はないが、ショックあるいは中毒症状をできるだけ避けるために、以下の点に留意すること。
      1. 8.6.1 注射の速度はできるだけ遅くすること。
      2. 8.6.2 注射針が、血管又はくも膜下腔に入っていないことを確かめること。
      3. 8.6.3 血管の多い部位(頭部、顔面、扁桃等)に注射する場合には、吸収が速いので、できるだけ少量を投与すること。
    2. 8.7 注射針又はカテーテルが適切に位置していない等により、神経障害が生じることがあるので、穿刺に際し異常を認めた場合には本剤の注入を行わないこと。
    3. 8.8 眼科領域等の麻酔に用いる場合、隅角の所見が未確定のまま投与しないこと。
    4. 8.9 球後麻酔、眼球周囲麻酔施行時は以下の点に留意すること。
      1. 8.9.1 持続性の眼筋運動障害が発現するおそれがあるので、できるだけ薄い濃度で、必要最少量を用いることとし、外眼筋内への注入は避けること。また、本剤に含まれているアドレナリンにより障害を悪化させることがあるので、注意すること。
      2. 8.9.2 視神経鞘内への誤注入により、一過性の失明、心肺停止を起こすことがあるので、注射針はできるだけ短く、先の鈍いものを使用することが望ましい。
  • 〈表面麻酔〉
    1. 8.10 本剤の投与に際し、その副作用を完全に防止する方法はないが、ショックあるいは中毒症状をできるだけ避けるために、以下の点に留意すること。
      1. 8.10.1 気道内表面麻酔の場合には吸収が速いので、できるだけ少量を使用すること。
      2. 8.10.2 外傷、びらん、潰瘍又は炎症部位への投与は吸収が速いので注意すること。
    2. 8.11 眼科領域等の麻酔に用いる場合、隅角の所見が未確定のまま投与しないこと。

9. 特定の背景を有する患者に関する注意

9.1 合併症・既往歴等のある患者

  • 〈効能共通〉
    1. 9.1.1 次の患者には治療上やむを得ないと判断される場合を除き、投与しないこと。
      1. (1) 心室頻拍等の重症不整脈のある患者

        アドレナリンのβ刺激作用により、不整脈を悪化させるおそれがある。

      2. (2) 交感神経系作動薬に対し過敏な反応を示す患者

        アドレナリン受容体が高い感受性を示すおそれがある。

      3. (3) 精神神経症の患者

        一般に交感神経作動薬の中枢神経系の副作用として情緒不安、不眠、錯乱、易刺激性および精神病的状態等があるので悪化するおそれがある。

      4. (4) コカイン中毒の患者

        コカインは、交感神経末端でのカテコールアミンの再取り込みを阻害するので、アドレナリンの作用が増強されるおそれがある。

    2. 9.1.2 全身状態が不良な患者

      生理機能の低下により麻酔に対する忍容性が低下していることがある。

    3. 9.1.3 心刺激伝導障害のある患者

      症状を悪化させることがある。

    4. 9.1.4 ハロタン等のハロゲン含有吸入麻酔薬を投与中の患者

      頻脈、不整脈等を起こすおそれがある。

    5. 9.1.5 肺気腫のある患者

      アドレナリンにより、肺循環障害を増悪させ、右心系への負荷が過重となり、右心不全に陥るおそれがある。

    6. 9.1.6 心疾患のある患者

      アドレナリンのβ刺激作用により、心疾患を悪化させるおそれがある。

  • 〈硬膜外麻酔〉
    1. 9.1.7 中枢神経系疾患:髄膜炎、灰白脊髄炎、脊髄ろう等の患者及び脊髄・脊椎に腫瘍又は結核等のある患者

      硬膜外麻酔により病状が悪化するおそれがある。

    2. 9.1.8 血液凝固障害や抗凝血薬投与中の患者

      やむを得ず投与する場合は観察を十分に行うこと。出血しやすく、血腫形成や脊髄への障害を起こすことがある。

    3. 9.1.9 脊柱に著明な変形のある患者

      やむを得ず投与する場合は患者の全身状態の観察を十分に行うこと。脊髄や神経根の損傷のおそれがあり、また麻酔範囲の予測も困難である。

    4. 9.1.10 腹部腫瘤のある患者

      投与量の減量を考慮するとともに、患者の全身状態の観察を十分に行うこと。仰臥位性低血圧を起こしやすく、麻酔範囲が広がりやすい。麻酔中はさらに増悪することがある。

    5. 9.1.11 心弁膜症等の心血管系に著しい障害のある患者

      患者の全身状態の観察を十分に行うこと。血圧低下や病状の悪化が起こりやすい。

  • 〈伝達麻酔・浸潤麻酔(耳、指趾へ投与する場合)〉
    1. 9.1.12 全身性又は末梢性の血行障害のある患者、複数の指趾へ同時投与を行う患者

      投与の可否を慎重に検討すること。投与する場合は、必要に応じて減量など行うこと。壊死状態になるおそれがある。

9.2 腎機能障害患者

  1. 9.2.1 重篤な腎機能障害のある患者

    中毒症状が発現しやすくなる。

9.3 肝機能障害患者

  1. 9.3.1 重篤な肝機能障害のある患者

    中毒症状が発現しやすくなる。

9.5 妊婦

  • 〈効能共通〉
    1. 9.5.1 妊婦又は妊娠している可能性のある女性には、治療上の有益性が危険性を上回ると判断される場合にのみ投与すること。
  • 〈硬膜外麻酔〉
    1. 9.5.2 妊娠後期の患者には、投与量の減量を考慮するとともに、患者の全身状態の観察を十分に行う等、慎重に投与すること。妊娠末期は、仰臥位性低血圧を起こしやすく、麻酔範囲が広がりやすい。麻酔中はさらに増悪することがある。
    2. 9.5.3 アドレナリンにより、胎児の酸素欠乏、分娩遅延が発現するおそれがある。
  • 〈伝達麻酔・浸潤麻酔〉
    1. 9.5.4 傍頸管ブロックにより胎児の徐脈を起こすおそれがある。
    2. 9.5.5 アドレナリンにより、胎児の酸素欠乏、分娩遅延が発現するおそれがある。

9.6 授乳婦

治療上の有益性及び母乳栄養の有益性を考慮し、授乳の継続又は中止を検討すること。リドカインはヒト乳汁中へ移行することが報告されている。

9.7 小児等

  • 〈効能共通〉
    1. 9.7.1 小児等を対象とした臨床試験は実施していない。
  • 〈伝達麻酔・浸潤麻酔(耳、指趾へ投与する場合)〉
    1. 9.7.2 投与の可否を慎重に検討すること。投与する場合は、必要に応じて減量など行うこと。壊死状態になるおそれがある。

9.8 高齢者

  • 〈効能共通〉
    1. 9.8.1 患者の全身状態を観察しながら慎重に投与すること。アドレナリンの作用に対する感受性が高いことがある。
  • 〈硬膜外麻酔〉
    1. 9.8.2 投与量の減量を考慮するとともに、患者の全身状態の観察を十分に行う等、慎重に投与すること。一般に麻酔範囲が広がりやすく、生理機能の低下により麻酔に対する忍容性が低下している。

10. 相互作用

  • 本剤は、主として肝代謝酵素CYP1A2及びCYP3A4で代謝される。

10.1 併用禁忌(併用しないこと)

薬剤名等臨床症状・措置方法機序・危険因子

抗精神病薬

  • ブチロフェノン系薬剤(セレネース、トロペロン等)
    フェノチアジン系薬剤(ウインタミン等)
    イミノジベンジル系薬剤(クレミン等)
    ゾテピン(ロドピン)
    セロトニン・ドパミン拮抗薬(リスパダール等)
    多元受容体標的化抗精神病薬(セロクエル等)
    ドパミン受容体部分作動薬(エビリファイ)

α遮断薬(ミニプレス等)

過度の血圧低下を起こすことがある。

これらの薬剤のα受容体遮断作用により、アドレナリンのβ受容体刺激作用が優位になり、血圧低下があらわれる。

カテコールアミン製剤

  • イソプレナリン塩酸塩(プロタノール等)
    ノルアドレナリン(ノルアドリナリン)等

アドレナリン作動薬

  • β刺激薬(ベネトリン等)
    エフェドリン(エフェドリン)
    メチルエフェドリン(メチエフ等) 等

不整脈、場合により心停止があらわれることがある。

これらの薬剤のβ刺激作用により、交感神経興奮作用が増強すると考えられている。

10.2 併用注意(併用に注意すること)

薬剤名等臨床症状・措置方法機序・危険因子

ハロゲン含有吸入麻酔薬

  • ハロタン注1)、イソフルラン注2)、セボフルラン注3) 、デスフルラン注4)

頻脈、不整脈、場合によっては心停止を起こすことがある。

これらの薬剤は、心筋のアドレナリン受容体の感受性を亢進させる。

三環系抗うつ薬

  • イミプラミン等

セロトニン・ノルアドレナリン再取り込み阻害剤
(SNRI)

  • ミルナシプラン等

その他の抗うつ薬

  • マプロチリン等

MAO阻害薬

血圧上昇を起こすことがある。

これらの薬剤は、アドレナリン作動性神経終末でのカテコールアミンの再取り込みを阻害し、受容体でのカテコールアミン濃度を上昇させ、アドレナリン作動性神経刺激作用を増強させる。

メチルフェニデート

血圧上昇を起こすことがある。

これらの薬剤は、アドレナリン作動性神経終末でのカテコールアミンの再取り込みを阻害し、受容体でのカテコールアミン濃度を上昇させ、アドレナリン作動性神経刺激作用を増強させる。

非選択性β遮断薬

  • プロプラノロール等

血管収縮、血圧上昇、徐脈を起こすことがある。

これらの薬剤のβ受容体遮断作用により、アドレナリンのα受容体刺激作用が優位になり、血管抵抗性を上昇させる。

分娩促進薬

  • オキシトシン等

麦角アルカロイド類

  • エルゴメトリン等

血圧上昇を起こすことがある。

併用により血管収縮作用が増強される。

クラスⅢ抗不整脈剤

  • アミオダロン等

心機能抑制作用が増強するおそれがあるので、心電図検査等によるモニタリングを行うこと。

作用が増強することが考えられる。

ジギタリス製剤

異所性不整脈があらわれることがある。

ともに異所性刺激能を有し、不整脈発現の可能性が高くなると考えられている。

キニジン

心室細動があらわれることがある。

相互に心筋に対する作用を増強すると考えられている。

甲状腺製剤

  • チロキシン等

冠不全発作があらわれることがある。

甲状腺ホルモンは心筋のβ受容体を増加させるため、カテコールアミン感受性が亢進すると考えられている。

ブロモクリプチン

血圧上昇、頭痛、痙攣等があらわれることがある。

機序は明らかではないが、アドレナリンの血管収縮作用、血圧上昇作用に影響を及ぼすと考えられている。

利尿剤
チアジド系利尿剤

  • トリクロルメチアジド、ヒドロクロロチアジド等

チアジド系類似剤

  • インダパミド等

ループ利尿剤

  • フロセミド等

カリウム保持性利尿剤

  • スピロノラクトン

アドレナリンの作用が減弱することがある。手術前の患者に使用する場合、利尿剤の一時休薬等を行うこと。

併用によりアドレナリンの血管反応性を低下させることがある。

注1)ハロタン麻酔中のヒトの50%に心室性期外収縮を誘発するアドレナリン量(粘膜下投与)は2.1μg/kgと報告されている1)
この量は60kgのヒトの場合、注射液0.5%、1%(10万倍希釈アドレナリン含有)12.5mLに相当し、注射液2%(8万倍希釈アドレナリン含有)10mLに相当する。
注2)イソフルラン麻酔中のヒトの50%に心室性期外収縮を誘発するアドレナリン量(粘膜下投与)は6.7μg/kgと報告されている1)
この量は60kgのヒトの場合、注射液0.5%、1%(10万倍希釈アドレナリン含有)40mLに相当し、注射液2%(8万倍希釈アドレナリン含有)32mLに相当する。
注3)セボフルラン麻酔中、5μg/kg未満のアドレナリンを粘膜下に投与しても3回以上持続する心室性期外収縮は誘発されなかったが、5μg/kg~14.9μg/kgのアドレナリンを投与した場合、1/3の症例に3回以上持続する心室性期外収縮が誘発された2)
アドレナリン5μg/kgは60kgのヒトの場合、注射液0.5%、1%(10万倍希釈アドレナリン含有)30mLに相当し、注射液2%(8万倍希釈アドレナリン含有)24mLに相当する。
注4)デスフルラン麻酔中、7.0μg/kg未満のアドレナリンを粘膜下に投与しても3回以上持続する心室性期外収縮は誘発されなかったが、7.0μg/kg~13.0μg/kgのアドレナリンを投与した場合、50%(6/12例)の症例に3回以上持続する心室性期外収縮が誘発された3)
アドレナリン7.0μg/kgは60kgのヒトの場合、注射液0.5%、1%(10万倍希釈アドレナリン含有)42mLに相当し、注射液2%(8万倍希釈アドレナリン含有)33.6mLに相当する。

11. 副作用

次の副作用があらわれることがあるので、観察を十分に行い、異常が認められた場合には投与を中止するなど適切な処置を行うこと。

11.1 重大な副作用

  • 〈効能共通〉
    1. 11.1.1 ショック(頻度不明)

      徐脈、不整脈、血圧低下、呼吸抑制、チアノーゼ、意識障害等を生じ、まれに心停止を来すことがある。
      また、まれにアナフィラキシーショックを起こしたとの報告がある。

    2. 11.1.2 意識障害、振戦、痙攣(いずれも頻度不明)

      意識障害、振戦、痙攣等の中毒症状があらわれることがあるので、このような症状があらわれた場合には、直ちに投与を中止し、適切な処置を行うこと。

    3. 11.1.3 肺水腫(頻度不明)

      初期症状として血圧異常上昇があらわれることがある。

    4. 11.1.4 呼吸困難(頻度不明)
    5. 11.1.5 心停止(頻度不明)

      初期症状として頻脈、不整脈、心悸亢進、胸内苦悶があらわれることがある。

  • 〈硬膜外麻酔・伝達麻酔・浸潤麻酔〉
    1. 11.1.6 異常感覚、知覚・運動障害(いずれも頻度不明)

      注射針又はカテーテルの留置時に神経(神経幹、神経根)に触れることにより一過性の異常感覚が発現することがある。また、神経が注射針や薬剤あるいは虚血によって障害を受けると、まれに持続的な異常感覚、疼痛、知覚障害、運動障害、硬膜外麻酔では膀胱直腸障害等の神経学的疾患があらわれることがある。

    2. 11.1.7 悪性高熱(頻度不明)

      まれに原因不明の頻脈・不整脈・血圧変動、急激な体温上昇、筋強直、血液の暗赤色化(チアノーゼ)、過呼吸、発汗、アシドーシス、高カリウム血症、ミオグロビン尿(ポートワイン色尿)等を伴う重篤な悪性高熱があらわれることがある。本剤を投与中、悪性高熱に伴うこれらの症状を認めた場合は、直ちに投与を中止し、ダントロレンナトリウムの静注、全身冷却、純酸素による過換気、酸塩基平衡の是正等、適切な処置を行うこと。また、本症は腎不全を続発することがあるので、尿量の維持を図ること。

11.2 その他の副作用

頻度不明

循環器

頻脈、期外収縮、血圧変動等

中枢神経注1)

眠気、不安、興奮、霧視、眩暈、頭痛等

消化器注1)

悪心・嘔吐等

過敏症

蕁麻疹等の皮膚症状、浮腫等

その他

結膜充血、眼痛、熱感、発汗、胸内苦悶、顔面潮紅・蒼白等

注1)このような症状があらわれた場合は、ショックあるいは中毒へ移行することがある。

13. 過量投与

局所麻酔剤の血中濃度の上昇に伴い、中毒が発現する。特に誤って血管内に投与した場合には、数分以内に発現することがある。その症状は、主に中枢神経系及び心血管系の症状としてあらわれる。,

  1. 13.1 症状
    1. 13.1.1 中枢神経系の症状

      初期症状として不安、興奮、多弁、口周囲の知覚麻痺、舌のしびれ、ふらつき、聴覚過敏、耳鳴、視覚障害、振戦等があらわれる。症状が進行すると意識消失、全身痙攣があらわれ、これらの症状に伴い低酸素血症、高炭酸ガス血症が生じるおそれがある。より重篤な場合には呼吸停止を来すこともある。

    2. 13.1.2 心血管系の症状

      血圧低下、徐脈、心筋収縮力低下、心拍出量低下、刺激伝導系の抑制、心室頻拍及び心室細動等の心室性不整脈、循環虚脱、心停止等があらわれる。

    3. 13.1.3 アドレナリンの過量投与

      血圧上昇、頻脈、期外収縮、脳出血、腎血管の異常収縮等があらわれる。また、血中の乳酸濃度が上昇し、重篤な代謝性アシドーシスがあらわれるおそれがある。

  2. 13.2 処置

    振戦や痙攣が著明であれば、ジアゼパム又は超短時間作用型バルビツール酸製剤(チオペンタールナトリウム等)を投与する。

14. 適用上の注意

14.1 薬剤投与後の注意

本剤は金属を侵す性質があるので、長時間金属器具(カニューレ、注射針等)に接触させないことが望ましい。なお、金属器具を使用した場合は、使用後十分に水洗すること。

15. その他の注意

15.1 臨床使用に基づく情報

  1. 15.1.1 ポルフィリン症の患者に投与した場合、急性腹症、四肢麻痺、意識障害等の急性症状を誘発するおそれがある。
  2. 15.1.2 因果関係は明らかでないが、外国において術後に本剤を関節内(特に肩関節)に持続投与された患者で軟骨融解を発現したとの報告がある。
  3. 15.1.3 *本剤は添加剤として亜硫酸塩を含有している。喘息患者では非喘息患者よりも亜硫酸塩に対する過敏症が多く認められるとの報告がある。

16. 薬物動態

16.1 血中濃度

健康成人に2%リドカイン液20mL(リドカイン塩酸塩として400mg)を単独あるいはアドレナリンを添加(1:200,000)して硬膜外投与したとき、アドレナリン添加時の血漿中濃度は単独投与時に比べ最高濃度の有意な低下、最高濃度到達時間の有意な延長が認められた4)(外国人データ)。

外国人健康成人に2%リドカイン液20mLを硬膜外投与したときの血漿中濃度(n=5)

投与群

Cmax
(μg/mL)

Tmax
(min)

AUC0-4h
(μg・min/mL)

アドレナリン非添加、動脈血

3.7±0.5

12±3

274±19

アドレナリン非添加、静脈血

2.40±0.60

11±6

235±21

アドレナリン添加、動脈血

2.1±0.4

25±4

221±71

アドレナリン添加、静脈血

0.95±0.12

102±84

102±43

平均値±標準偏差

16.3 分布

リドカイン2μg/mLの血漿蛋白結合率は約65%で、α1-酸性糖蛋白及びアルブミンと結合する。血液/血漿中濃度比は約0.8であることから、血球への分布は少ないと考えられる。妊婦にリドカイン塩酸塩を硬膜外投与したとき、臍帯静脈血液中濃度と母体血漿中濃度の比は0.5~0.7で、胎盤を通過する5)

16.4 代謝

リドカインは、主として肝臓でN-脱エチル体monoethyl glycinexylidide(MEGX)に代謝された後、glycinexylidide(GX)、2,6-xylidineに代謝され、約70%が4-hydroxy-2,6-xylidineとして尿中に排泄される6)

16.5 排泄

リドカイン塩酸塩250mgを健康人に経口投与注1)したとき、24時間後の尿中放射能排泄率は投与量の83.8%、未変化体は投与量の2.8%であった6)(外国人データ)。

16.6 特定の背景を有する患者

  1. 16.6.1 高齢者

    高齢者にリドカイン塩酸塩50mgを静脈内投与後注1)の終末相半減期は140分を示し、若齢者の81分に比べて延長した7)(外国人データ)。

  2. 16.6.2 心不全患者、腎不全患者及び肝機能低下患者

    心不全患者及び腎不全患者にリドカイン塩酸塩50mgを静脈内投与後注1)の消失半減期は、健康人に比べ有意な変動はなく、肝機能低下患者では約3倍に延長した8)(外国人データ)。
    注1)キシロカイン注射液「0.5%」エピレナミン(1:100,000)含有の効能・効果は硬膜外麻酔、伝達麻酔、浸潤麻酔、キシロカイン注射液「1%」エピレナミン(1:100,000)含有及びキシロカイン注射液「2%」エピレナミン(1:80,000)含有の効能・効果は硬膜外麻酔、伝達麻酔、浸潤麻酔、表面麻酔である。

18. 薬効薬理

18.1 作用機序

リドカイン塩酸塩は、神経膜のナトリウムチャネルをブロックし、神経における活動電位の伝導を可逆的に抑制し、知覚神経及び運動神経を遮断する局所麻酔薬である。

18.2 麻酔効果・作用時間

モルモット脊髄硬膜外にリドカイン塩酸塩を投与したとき、リドカイン塩酸塩は速やかに運動神経を遮断し、その作用持続時間はアドレナリン添加により、約1.3倍に延長した9)

19. 有効成分に関する理化学的知見

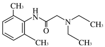
〈リドカイン〉

一般的名称

リドカイン(Lidocaine)(JAN)

化学名

2-Diethylamino-N-(2,6-dimethylphenyl)acetamide

分子式

C14H22N2O

分子量

234.34

性状

リドカインは白色~微黄色の結晶又は結晶性の粉末である。
メタノール又はエタノール(95)に極めて溶けやすく、酢酸(100)又はジエチルエーテルに溶けやすく、水にほとんど溶けない。希塩酸に溶ける。

化学構造式

融点

66~69℃

〈アドレナリン〉

一般的名称

アドレナリン(Adrenaline)(JAN)

化学名

4-[(1R)-1-Hydroxy-2-(methylamino)ethyl]benzene-1,2-diol

分子式

C9H13NO3

分子量

183.20

性状

アドレナリンは白色~灰白色の結晶性の粉末である。
ギ酸又は酢酸(100)に溶けやすく、水に極めて溶けにくく、メタノール又はエタノール(99.5)にほとんど溶けない。希塩酸に溶ける。
空気又は光によって徐々に褐色となる。

化学構造式

20. 取扱い上の注意

外箱開封後は、遮光して保存すること。

22. 包装

  • 〈キシロカイン注射液「0.5%」エピレナミン(1:100,000)含有〉

    [バイアル]20mL

  • 〈キシロカイン注射液「1%」エピレナミン(1:100,000)含有〉

    [バイアル]20mL、100mL

  • 〈キシロカイン注射液「2%」エピレナミン(1:80,000)含有〉

    [バイアル]20mL

24. 文献請求先及び問い合わせ先

サンド株式会社 カスタマーケアグループ

〒105-6333 東京都港区虎ノ門1-23-1

TEL 0120-982-001
FAX 03-6257-3633

26. 製造販売業者等

26.1 製造販売

サンドファーマ株式会社

東京都港区虎ノ門1-23-1
URL:https://www.sandoz.jp/

26.2 販売

サンド株式会社

東京都港区虎ノ門1-23-1
URL:https://www.sandoz.jp/

〒100-0013 東京都千代田区霞が関3-3-2 新霞が関ビル

画面を閉じる

Copyright © Pharmaceuticals and Medical Devices Agency, All Rights reserved.