医療用医薬品 詳細表示

キシロカイン点眼液4%

処方せん医薬品以外の医薬品

添付文書番号
企業コード
作成又は改訂年月
日本標準商品分類番号
薬効分類名
承認等
一般的名称
2.禁忌(次の患者には投与しないこと)
3.組成・性状
3.1組成
3.2製剤の性状
4.効能又は効果
5.効能又は効果に関連する注意
6.用法及び用量
8.重要な基本的注意
9.特定の背景を有する患者に関する注意
9.5妊婦
9.6授乳婦
10.相互作用
10.2併用注意(併用に注意すること)
11.副作用
11.1重大な副作用
11.2その他の副作用
14.適用上の注意
15.その他の注意
15.1臨床使用に基づく情報
16.薬物動態
16.2吸収
16.3分布
16.4代謝
16.5排泄
16.6特定の背景を有する患者
18.薬効薬理
18.1作用機序
19.有効成分に関する理化学的知見
20.取扱い上の注意
22.包装
23.主要文献
24.文献請求先及び問い合わせ先
26.製造販売業者等

キシロカイン点眼液4%

添付文書番号

1214700Q1041_2_03

企業コード

112268

作成又は改訂年月

2023年9月改訂(第1版)

日本標準商品分類番号

871313

薬効分類名

表面麻酔剤

承認等

キシロカイン点眼液4%

販売名コード

YJコード

1214700Q1041

販売名英語表記

Xylocaine Ophthalmic Solution 4%

販売名ひらがな

きしろかいんてんがんえき4%

承認番号等

承認番号

21800AMX10089000

販売開始年月

1957年1月

貯法・有効期間

貯法

冷所保存

有効期間

3年

一般的名称

リドカイン塩酸塩

2. 禁忌(次の患者には投与しないこと)

本剤の成分又はアミド型局所麻酔薬に対し過敏症の既往歴のある患者

3. 組成・性状

3.1 組成

キシロカイン点眼液4%

有効成分1mL中、リドカイン塩酸塩   40mg
添加剤クロロブタノール、pH調整剤

3.2 製剤の性状

キシロカイン点眼液4%

剤形点眼剤
pH5.0~7.0
性状無色澄明な無菌の液

4. 効能又は効果

眼科領域における表面麻酔

5. 効能又は効果に関連する注意

鎮痛のみの目的には使用しないこと。

6. 用法及び用量

通常、成人では1~5滴を点眼する。
なお、年齢、体質により適宜増減する。

8. 重要な基本的注意

まれにショックを起こすことがあるので、本剤の投与に際しては、十分な問診により患者の全身状態を把握するとともに、異常が認められた場合に直ちに救急処置のとれるよう、常時準備をしておくこと。

9. 特定の背景を有する患者に関する注意

9.5 妊婦

妊婦又は妊娠している可能性のある女性には、治療上の有益性が危険性を上回ると判断される場合にのみ投与すること。

9.6 授乳婦

治療上の有益性及び母乳栄養の有益性を考慮し、授乳の継続又は中止を検討すること。

10. 相互作用

  • 本剤は、主として肝代謝酵素CYP1A2及びCYP3A4で代謝される。

10.2 併用注意(併用に注意すること)

薬剤名等臨床症状・措置方法機序・危険因子

クラスⅢ抗不整脈剤

  • アミオダロン等

心機能抑制作用が増強するおそれがあるので、心電図検査等によるモニタリングを行うこと。

作用が増強することが考えられる。

11. 副作用

次の副作用があらわれることがあるので、観察を十分に行い、異常が認められた場合には投与を中止するなど適切な処置を行うこと。

11.1 重大な副作用

  • ショック(頻度不明)

    アナフィラキシーショックを起こすおそれがある。

11.2 その他の副作用

頻度不明

過敏症

14. 適用上の注意

14.1 薬剤調製時の注意

クロロブタノール(保存剤)は冷時安定であるが、加熱滅菌により分解して塩酸を放出し、液に刺激性を与える懸念があるので、本剤は無菌操作法により調製されている。したがって、本剤を加熱再滅菌して使用したり、また、希釈して加熱再滅菌のうえ用いることは絶対にしないこと。

14.2 薬剤投与時の注意

  1. 14.2.1 頻回に使用しないこと。
  2. 14.2.2 本剤を患者には渡さないこと。
  3. 14.2.3 他の点眼剤を併用する場合には、少なくとも5分以上間隔をあけてから点眼すること。

14.3 薬剤投与後の注意

リドカイン塩酸塩は金属を侵す性質があるので、長時間金属器具(カニューレ、注射針等)に接触させないことが望ましい。なお、金属器具を使用した場合は、使用後十分に水洗すること。

15. その他の注意

15.1 臨床使用に基づく情報

ポルフィリン症の患者に投与した場合、急性腹症、四肢麻痺、意識障害等の急性症状を誘発するおそれがある。

16. 薬物動態

16.2 吸収

リドカイン塩酸塩は眼球結膜・眼瞼結膜から吸収される。

16.3 分布

リドカイン2μg/mLの血漿蛋白結合率は約65%で、α1-酸性糖蛋白及びアルブミンと結合する。血液/血漿中濃度比は約0.8であることから、血球への分布は少ないと考えられる。妊婦にリドカイン塩酸塩を硬膜外投与注1)したとき、臍帯静脈血液中濃度と母体血漿中濃度の比は0.5~0.7で、胎盤を通過する1)

16.4 代謝

リドカインは、主として肝臓でN-脱エチル体monoethyl glycinexylidide(MEGX)に代謝された後、glycinexylidide(GX)、2,6-xylidineに代謝され、投与量の約70%が4-hydroxy-2,6-xylidineとして尿中に排泄される2)

16.5 排泄

リドカイン塩酸塩250mgを健康人に経口投与注1)したとき、24時間後までの尿中放射能排泄率は投与量の83.8%、未変化体は投与量の2.8%であった2)(外国人データ)。

16.6 特定の背景を有する患者

  1. 16.6.1 心不全患者、腎不全患者及び肝機能低下患者

    心不全患者及び腎不全患者にリドカイン塩酸塩50mgを静脈内投与後注1)の消失半減期は、健康人に比べ有意な変動はなく、肝機能低下患者では約3倍に延長した3)(外国人データ)。

    注1)本剤の承認された投与経路は点眼である。

18. 薬効薬理

18.1 作用機序

リドカイン塩酸塩は、神経膜のナトリウムチャネルをブロックし、神経における活動電位の伝導を可逆的に抑制し、知覚神経・運動神経を遮断する局所麻酔薬である。

19. 有効成分に関する理化学的知見

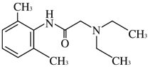
一般的名称

リドカイン(Lidocaine)(JAN)

化学名

2-Diethylamino-N-(2,6-dimethylphenyl)acetamide

分子式

C14H22N2O

分子量

234.34

性状

リドカインは白色~微黄色の結晶又は結晶性の粉末である。
メタノール又はエタノール(95)に極めて溶けやすく、酢酸(100)又はジエチルエーテルに溶けやすく、水にほとんど溶けない。希塩酸に溶ける。

化学構造式

融点

66~69℃

20. 取扱い上の注意

外箱開封後は、遮光して保存すること。

22. 包装

[瓶]20mL

24. 文献請求先及び問い合わせ先

サンド株式会社 カスタマーケアグループ

〒105-6333 東京都港区虎ノ門1-23-1

TEL 0120-982-001
FAX 03-6257-3633

26. 製造販売業者等

26.1 製造販売

サンドファーマ株式会社

東京都港区虎ノ門1-23-1
URL:https://www.sandoz.jp/

26.2 販売

サンド株式会社

東京都港区虎ノ門1-23-1
URL:https://www.sandoz.jp/

〒100-0013 東京都千代田区霞が関3-3-2 新霞が関ビル

画面を閉じる

Copyright © Pharmaceuticals and Medical Devices Agency, All Rights reserved.