医療用医薬品 詳細表示

リボフラビン酪酸エステル錠20mg「イセイ」

添付文書番号

3131002F1322_1_05

企業コード

130107

作成又は改訂年月

2024年3月改訂(第1版)

日本標準商品分類番号

873131

薬効分類名

高コレステロール血症改善ビタミン剤

承認等

リボフラビン酪酸エステル錠20mg「イセイ」

販売名コード

YJコード

3131002F1322

販売名英語表記

RIBOFLAVIN BUTYRATE Tablets 20mg“ISEI”

販売名ひらがな

りぼふらびんらくさんえすてるじょう20mg「いせい」

承認番号等

承認番号

22500AMX01195000

販売開始年月

1981年9月

貯法・有効期間

貯法

室温保存

有効期間

3年

一般的名称

リボフラビン酪酸エステル錠

3. 組成・性状

3.1 組成

リボフラビン酪酸エステル錠20mg「イセイ」

有効成分1錠中
日局 リボフラビン酪酸エステル   20mg
添加剤乳糖水和物、トウモロコシデンプン、結晶セルロース、カルメロースカルシウム、ステアリン酸ポリオキシル40、カルメロースナトリウム、ステアリン酸マグネシウム

3.2 製剤の性状

リボフラビン酪酸エステル錠20mg「イセイ」

剤形割線入り素錠
色調黄色~橙黄色
外形表面
裏面
側面
大きさ直径7.0mm
厚さ3.4mm
質量140mg
識別コードIC-442

4. 効能又は効果

  • 高コレステロール血症
  • ビタミンB2欠乏症の予防及び治療。
  • 下記疾患のうち、ビタミンB2の欠乏又は代謝障害が関与すると推定される場合。
    • 口角炎、口唇炎、舌炎、脂漏性湿疹、結膜炎、びまん性表層角膜炎
  • ビタミンB2の需要が増大し、食事からの摂取が不十分な際の補給(消耗性疾患、妊産婦、授乳婦、はげしい肉体労働時等)。
    • 高コレステロール血症及びビタミンB2の欠乏又は代謝障害が関与すると推定される場合の適応に対して、効果がないのに月余にわたって漫然と使用しないこと。

6. 用法及び用量

リボフラビン酪酸エステルとして、通常、成人1日5〜20mgを2〜3回に分割経口投与する。
高コレステロール血症には、通常、成人1日60〜120mgを2〜3回に分割経口投与する。
なお、年齢、症状により適宜増減する。

9. 特定の背景を有する患者に関する注意

9.7 小児等

小児等を対象とした臨床試験は実施していない。

11. 副作用

次の副作用があらわれることがあるので、観察を十分に行い、異常が認められた場合には投与を中止するなど適切な処置を行うこと。

11.2 その他の副作用

0.1〜5%未満

0.1%未満

消化器

下痢、悪心・嘔吐、胃膨満、腹部膨満

胃不快感、食欲不振

注)再評価結果を含む

12. 臨床検査結果に及ぼす影響

尿を黄変させ、臨床検査値に影響を与えることがある。

14. 適用上の注意

14.1 薬剤交付時の注意

PTP包装の薬剤はPTPシートから取り出して服用するよう指導すること。PTPシートの誤飲により、硬い鋭角部が食道粘膜へ刺入し、更には穿孔をおこして縦隔洞炎等の重篤な合併症を併発することがある。

16. 薬物動態

16.1 血中濃度

健康成人1名にリボフラビン酪酸エステル87mg(リボフラビンとして50mg)を経口投与すると、血中リボフラビン濃度は2〜4時間をピークとする上昇が認められ、24時間後にも投与前よりやや高い値を維持した1)

16.2 吸収

マウスに14C-リボフラビン酪酸エステルを経口投与すると、小腸の上半部から吸収された2)

16.3 分布

マウスに14C-リボフラビン酪酸エステルを経口投与すると、小腸の上半部から吸収され門脈系を経て肝に取り込まれ、肝静脈から各臓器に運ばれた。リンパ系を介するのは僅かであった。肝臓、腎臓、心臓に著明に取り込まれるが、その他の臓器にもよく取り込まれた2)

16.5 排泄

健康成人1名にリボフラビン酪酸エステル87mg(リボフラビンとして50mg)を経口投与すると、尿中に排泄されたリボフラビン量は最初の4時間で負荷量の約0.7%、24時間で約4.0%であった1)

17. 臨床成績

17.2 製造販売後調査等

  1. 17.2.1 国内臨床試験

    高脂質血症患者を対象とした二重盲検比較試験において、高コレステロール血症に対する有用性が確認されている3)

18. 薬効薬理

18.1 作用機序

経口投与後、体内各組織に貯留され、徐々に親薬物(リボフラビン)に変換されてビタミンB2作用を示す。また、肝のコレステロール生合成抑制とコレステロール排泄若しくは異化作用促進によりコレステロール上昇抑制作用を示すと考えられる4)

18.2 コレステロール上昇抑制作用

家兎にリボフラビン酪酸エステルを投与すると、ラノリン-綿実油投与による血清コレステロール値の上昇を抑制した5)

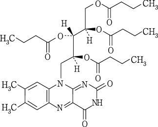
19. 有効成分に関する理化学的知見

一般的名称

リボフラビン酪酸エステル(Riboflavin Butyrate)

化学名

(2R,3S,4S)-5-(7,8-Dimethyl-2,4-dioxo-3,4-dihydrobenzo[g]pteridin-10(2H)-yl)pentan-1,2,3,4-tetrayl tetrabutanoate

分子式

C33H44N4O10

分子量

656.72

性状

本品は橙黄色の結晶又は結晶性の粉末で、僅かに特異なにおいがあり、味は僅かに苦い。本品はメタノール、エタノール(95)又はクロロホルムに溶けやすく、ジエチルエーテルに溶けにくく、水にほとんど溶けない。本品は光によって分解する。

化学構造式

融点

146~150℃

22. 包装

100錠[10錠(PTP)×10]
1000錠[10錠(PTP)×100]

24. 文献請求先及び問い合わせ先

コーアイセイ株式会社 くすり相談窓口

〒990-2495 山形市若葉町13番45号

TEL 023(666)5797
FAX 023(624)4717

26. 製造販売業者等

26.1 製造販売元

コーアイセイ株式会社

山形市若葉町13番45号

〒100-0013 東京都千代田区霞が関3-3-2 新霞が関ビル

画面を閉じる

Copyright © Pharmaceuticals and Medical Devices Agency, All Rights reserved.