医療用医薬品 詳細表示

ビタミンB2注1%「イセイ」

添付文書番号

3131401A3067_1_09

企業コード

130107

作成又は改訂年月

2024年2月改訂(第1版)

日本標準商品分類番号

873131

薬効分類名

ビタミンB2製剤

承認等

ビタミンB2注1%「イセイ」

販売名コード

YJコード

3131401A3067

販売名英語表記

VitaminB2 Injection 1%“ISEI”

販売名ひらがな

びたみんびーつーちゅう1%「いせい」

承認番号等

承認番号

16100AMZ00209000

販売開始年月

1986年1月

貯法・有効期間

貯法

室温保存

有効期間

3年

基準名

日本薬局方

リボフラビンリン酸エステルナトリウム注射液

一般的名称

リボフラビンリン酸エステルナトリウム

3. 組成・性状

3.1 組成

ビタミンB2注1%「イセイ」

有効成分1管(1mL)
日局 リボフラビンリン酸エステルナトリウム   12.7mg
(リボフラビンとして   10mg )
添加剤1管(1mL)
ベンジルアルコール 7mg
グリセリン 16mg
pH調節剤

3.2 製剤の性状

ビタミンB2注1%「イセイ」

剤形水性注射剤
pH5.0~7.0
浸透圧比約1(生理食塩液に対する比)
性状黄色~橙黄色澄明の液

4. 効能又は効果

  • (1)ビタミンB2欠乏症の予防及び治療
  • (2)ビタミンB2の需要が増大し、食事からの摂取が不十分な際の補給(消耗性疾患、妊産婦、授乳婦、はげしい肉体労働時など)
  • (3)下記疾患のうち、ビタミンB2の欠乏又は代謝障害が関与すると推定される場合
    ・口角炎、口唇炎、舌炎
    ・肛門周囲及び陰部びらん
    ・急・慢性湿疹、脂漏性湿疹
    ・ペラグラ
    ・尋常性痤瘡、酒さ
    ・日光皮膚炎
    ・結膜炎
    ・びまん性表層角膜炎
    (3)の適応に対して、効果がないのに月余にわたって漫然と使用すべきでない。

6. 用法及び用量

リボフラビンとして、通常成人1日2~30mgを皮下、筋肉内又は静脈内注射する。

なお、年齢、症状により適宜増減する。

9. 特定の背景を有する患者に関する注意

9.7 小児等

  1. 9.7.1 低出生体重児、新生児に使用する場合には十分注意すること。外国において、ベンジルアルコールの静脈内大量投与(99~234mg/kg)により、中毒症状(あえぎ呼吸、アシドーシス、痙攣等)が低出生体重児に発現したとの報告がある。本剤は添加剤としてベンジルアルコールを含有している。
  2. 9.7.2 小児等を対象とした臨床試験は実施していない。

12. 臨床検査結果に及ぼす影響

尿を黄変させ、臨床検査値に影響を与えることがある。

14. 適用上の注意

14.1 薬剤投与時の注意

  1. 14.1.1 筋肉内注射時

    組織・神経等への影響を避けるため、以下の点に注意すること。

    • 同一部位への反復注射は行わないこと。また、低出生体重児、新生児、乳児、幼児、小児には特に注意すること。
    • 神経走行部位を避けるよう注意すること。
    • 注射針を刺入したとき、激痛を訴えたり、血液の逆流をみた場合は、直ちに針を抜き、部位をかえて注射すること。

18. 薬効薬理

18.1 作用機序

リボフラビンリン酸エステルは吸収された後、一部はそのままの形で、大部分はFAD(flavin adenine dinucleotide)に変換され、フラビン酵素の補酵素として細胞内の酸化還元系やミトコンドリアにおける電子伝達系に働き、糖質、脂質、タンパク質などの生体内代謝に広く関与する1)

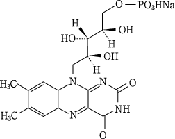
19. 有効成分に関する理化学的知見

一般的名称

リボフラビンリン酸エステルナトリウム
(Riboflavin Sodium Phosphate)

化学名

Monosodium(2R,3S,4S)-5-(7,8-dimethyl-2,4-dioxo-3,4-dihydrobenzo[g]pteridin-10(2H)-yl)-2,3,4-trihydroxypentyl monohydrogenphosphate

分子式

C17H20N4NaO9P

分子量

478.33

性状

本品は黄色~橙黄色の結晶性の粉末で、においはなく、味はやや苦い。
本品は水にやや溶けやすく、エタノール(95)、クロロホルム又はジエチルエーテルにほとんど溶けない。本品は光によって分解する。本品は極めて吸湿性である。

化学構造式

20. 取扱い上の注意

外箱開封後は遮光して保存すること。

22. 包装

1mL 50管(ガラスアンプル)

24. 文献請求先及び問い合わせ先

コーアイセイ株式会社 くすり相談窓口

〒990-2495 山形市若葉町13番45号

TEL 023(666)5797
FAX 023(624)4717

26. 製造販売業者等

26.1 製造販売元

コーアイセイ株式会社

山形市若葉町13番45号

〒100-0013 東京都千代田区霞が関3-3-2 新霞が関ビル

画面を閉じる

Copyright © Pharmaceuticals and Medical Devices Agency, All Rights reserved.