医療用医薬品 詳細表示

ATP注20mg「イセイ」

処方せん医薬品

添付文書番号
企業コード
作成又は改訂年月
日本標準商品分類番号
薬効分類名
承認等
一般的名称
2.禁忌(次の患者には投与しないこと)
3.組成・性状
3.1組成
3.2製剤の性状
4.効能又は効果
6.用法及び用量
9.特定の背景を有する患者に関する注意
9.5妊婦
9.6授乳婦
9.8高齢者
10.相互作用
10.2併用注意(併用に注意すること)
11.副作用
11.1重大な副作用
11.2その他の副作用
14.適用上の注意
15.その他の注意
15.1臨床使用に基づく情報
17.臨床成績
17.1有効性及び安全性に関する試験
18.薬効薬理
18.1作用機序
19.有効成分に関する理化学的知見
22.包装
23.主要文献
24.文献請求先及び問い合わせ先
26.製造販売業者等

ATP注20mg「イセイ」

添付文書番号

3992400A2090_2_09

企業コード

130107

作成又は改訂年月

2024年2月改訂(第1版)

日本標準商品分類番号

873992

薬効分類名

代謝賦活剤

承認等

ATP注20mg「イセイ」

販売名コード

YJコード

3992400A2090

販売名英語表記

ATP Injection 20mg“ISEI”

販売名ひらがな

えーてーぴーちゅう20mg「いせい」

承認番号等

承認番号

14200AZZ02854000

販売開始年月

2002年6月

貯法・有効期間

貯法

冷所保存

有効期間

2年

一般的名称

アデノシン三リン酸二ナトリウム水和物注射液

2. 禁忌(次の患者には投与しないこと)

脳出血直後の患者[脳血管拡張により、再出血するおそれがある。]

3. 組成・性状

3.1 組成

ATP注20mg「イセイ」

有効成分1管(2mL)中
アデノシン三リン酸二ナトリウム水和物   21.961mg
(無水物として   20mg )
添加剤1管(2mL)中
グリシン 20mg
pH調節剤 適量

3.2 製剤の性状

ATP注20mg「イセイ」

剤形水性注射剤
pH8.5~9.5
浸透圧比約1(生理食塩液に対する比)
性状無色澄明の液

4. 効能又は効果

  • 下記疾患に伴う諸症状の改善

    頭部外傷後遺症

  • 心不全
  • 筋ジストロフィー症及びその類縁疾患
  • 急性灰白髄炎
  • 脳性小児麻痺(弛緩型)
  • 進行性脊髄性筋萎縮症及びその類似疾患
  • 調節性眼精疲労における調節機能の安定化
  • 耳鳴・難聴
  • 消化管機能低下のみられる慢性胃炎
  • 慢性肝疾患における肝機能の改善

6. 用法及び用量

  • 〈静脈内注射〉

    アデノシン三リン酸二ナトリウムとして、通常1回5~40mgを1日1~2回、等張ないし高張ブドウ糖注射液に溶解して、徐々に静脈内注射する。

  • 〈点滴静脈内注射〉

    アデノシン三リン酸二ナトリウムとして、通常1回40~80mgを1日1回、5%ブドウ糖注射液200~500mLに溶解し、30~60分かけて点滴静脈内注射する。

  • 〈筋肉内又は皮下注射〉

    アデノシン三リン酸二ナトリウムとして、通常1回5~40mgを1日1~2回筋肉内又は皮下注射する。

9. 特定の背景を有する患者に関する注意

9.5 妊婦

妊婦又は妊娠している可能性のある女性には、投与しないことが望ましい。

9.6 授乳婦

治療上の有益性及び母乳栄養の有益性を考慮し、授乳の継続又は中止を検討すること。

9.8 高齢者

減量するなど注意すること。一般に生理機能が低下している。

10. 相互作用

    10.2 併用注意(併用に注意すること)

    薬剤名等臨床症状・措置方法機序・危険因子

    ジピリダモール

    ジピリダモールはアデノシン三リン酸(ATP)分解物であるアデノシンの血中濃度を上昇させ、心臓血管に対する作用を増強するとの報告があるので、併用にあたっては患者の状態を十分に観察するなど注意すること。

    ジピリダモールのアデノシン取り込み抑制作用により、ATP分解物であるアデノシンの血中濃度が上昇する。

    11. 副作用

    次の副作用があらわれることがあるので、観察を十分に行い、異常が認められた場合には投与を中止するなど適切な処置を行うこと。

    11.1 重大な副作用

    1. 11.1.1 ショック様症状(0.1%未満)

      胸内苦悶、悪心、顔面潮紅、咳、吃逆、熱感等があらわれた場合には投与を中止すること。

    11.2 その他の副作用

    頻度不明

    消化器

    悪心・嘔吐、食欲不振

    循環器

    一過性の心悸亢進

    精神神経系

    頭痛

    注)発現頻度は第1次再評価時の文献調査による集計に基づく。

    14. 適用上の注意

    14.1 薬剤投与時の注意

    • 〈静脈内注射〉

      ゆっくり(10mgを1~2分で)静脈内に投与すること。急速に投与すると、一過性の胸内苦悶、悪心、頭痛、顔面潮紅、咳、吃逆、発熱等があらわれることがある。

    15. その他の注意

    15.1 臨床使用に基づく情報

    本剤を急速静脈内注射した場合に気管支痙攣を誘発したとの報告がある。

    17. 臨床成績

    17.1 有効性及び安全性に関する試験

    1. 17.1.1 慢性肝炎患者に対する国内二重盲検比較試験

      慢性肝炎患者にアデノシン三リン酸二ナトリウム水和物40mg(n=117)又はプラセボ(5%ブドウ糖液)(n=116)を1日1回2週間点滴静脈内注射した二重盲検比較試験の結果、アデノシン三リン酸二ナトリウム水和物の有用性が認められた。副作用は、アデノシン三リン酸二ナトリウム水和物40mg群で4/117例(3.4%)認められ、悪心2例(1.7%)、めまい1例(0.9%)、動悸1例(0.9%)であった1),2)

    18. 薬効薬理

    18.1 作用機序

    ATPはその血行力学的並びに生化学的作用により各組織の代謝を賦活する。

    18.2 血管拡張・血流増加作用

    脳(イヌ3)、ネコ4))、心臓(イヌ5),6))、肝臓(イヌ7))、胃(イヌ8))、内耳(モルモット9),10))の血流量を増加する。

    18.3 代謝賦活作用

    脳(モルモットin vitro11),12))、心臓(イヌ13)、ウサギ14))、肝臓(ラット15))、内耳(モルモットin vitro16))等の代謝活性を増加する。

    18.4 筋収縮力増強作用

    心筋(カエルin vitro17))、骨格筋(カエルin vitro18))、胃腸管平滑筋(ラットin vitro19)、健康人20))の収縮力を増強する。

    18.5 神経伝達効率化作用

    神経伝達の効率化をはかる(ウシガエルin vitro21))。

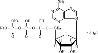
    19. 有効成分に関する理化学的知見

    一般的名称

    アデノシン三リン酸二ナトリウム水和物
    (Adenosine Triphosphate Disodium Hydrate)

    化学名

    Disodium adenosine-5´-triphosphate trihydrate

    分子式

    C10H14N5Na2O13P3・3H2O

    分子量

    605.19

    性状

    本品は白色の結晶又は結晶性の粉末で、においはなく、わずかに酸味がある。水に溶けやすく、エタノール(95)又はジエチルエーテルにほとんど溶けない。

    化学構造式

    22. 包装

    2mL 50管(ガラスアンプル)

    24. 文献請求先及び問い合わせ先

    コーアイセイ株式会社 くすり相談窓口

    〒990-2495 山形市若葉町13番45号

    TEL 023(666)5797
    FAX 023(624)4717

    26. 製造販売業者等

    26.1 製造販売元

    コーアイセイ株式会社

    山形市若葉町13番45号

    26.2 販売元

    日医工株式会社

    富山市総曲輪1丁目6番21

    〒100-0013 東京都千代田区霞が関3-3-2 新霞が関ビル

    画面を閉じる

    Copyright © Pharmaceuticals and Medical Devices Agency, All Rights reserved.