医療用医薬品 詳細表示

デルモゾールG軟膏/デルモゾールGクリーム

処方せん医薬品以外の医薬品

添付文書番号
企業コード
作成又は改訂年月
日本標準商品分類番号
薬効分類名
承認等
一般的名称
2.禁忌(次の患者には投与しないこと)
3.組成・性状
3.1組成
3.2製剤の性状
4.効能又は効果
5.効能又は効果に関連する注意
6.用法及び用量
8.重要な基本的注意
9.特定の背景を有する患者に関する注意
9.5妊婦
9.7小児等
9.8高齢者
11.副作用
11.1重大な副作用
11.2その他の副作用
14.適用上の注意
16.薬物動態
16.2吸収
16.5排泄
17.臨床成績
17.1有効性及び安全性に関する試験
18.薬効薬理
18.1作用機序
18.2薬理作用
18.3生物学的同等性試験
19.有効成分に関する理化学的知見
20.取扱い上の注意
22.包装
23.主要文献
24.文献請求先及び問い合わせ先
26.製造販売業者等

デルモゾールG軟膏/デルモゾールGクリーム

添付文書番号

2647709M1064_1_16

企業コード

130202

作成又は改訂年月

2024年6月改訂(第2版)
2023年8月改訂(第1版)

日本標準商品分類番号

872647

薬効分類名

副腎皮質ホルモン・抗生物質配合外用剤

承認等

デルモゾールG軟膏

販売名コード

YJコード

2647709M1064

販売名英語表記

Dermosol-G Ointment

販売名ひらがな

でるもぞーるGなんこう

承認番号等

承認番号

16300EMZ01957

販売開始年月

1988年7月

貯法・有効期間

貯法

室温保存

有効期間

3年

基準名

日本薬局方

ベタメタゾン吉草酸エステル・ゲンタマイシン硫酸塩軟膏

デルモゾールGクリーム

販売名コード

YJコード

2647709N1043

販売名英語表記

Dermosol-G Cream

販売名ひらがな

でるもぞーるGくりーむ

承認番号等

承認番号

16300EMZ01956

販売開始年月

1988年7月

貯法・有効期間

貯法

室温保存

有効期間

3年

基準名

日本薬局方

ベタメタゾン吉草酸エステル・ゲンタマイシン硫酸塩クリーム

一般的名称

ベタメタゾン吉草酸エステル・ゲンタマイシン硫酸塩

2. 禁忌(次の患者には投与しないこと)

  1. 2.1 ゲンタマイシン耐性菌又は非感性菌による皮膚感染のある場合[皮膚感染が増悪するおそれがある。]
  2. 2.2 真菌・スピロヘータ・ウイルス皮膚感染症及び動物性皮膚疾患(疥癬、けじらみ等)[これらの疾患が増悪するおそれがある。]
  3. 2.3 本剤の成分に対し過敏症の既往歴のある患者
  4. 2.4 鼓膜に穿孔のある湿疹性外耳道炎[穿孔部位の治癒の遅延及び感染のおそれがある。]
  5. 2.5 潰瘍(ベーチェット病は除く)、第2度深在性以上の熱傷・凍傷[皮膚の再生が抑制され、治癒が遅延するおそれがある。]
  6. 2.6 ストレプトマイシン、カナマイシン、ゲンタマイシン、フラジオマイシン等のアミノグリコシド系抗生物質又はバシトラシンに対し過敏症の既往歴のある患者

3. 組成・性状

3.1 組成

デルモゾールG軟膏

1g中

有効成分日局 ベタメタゾン吉草酸エステル   1.2mg
日局 ゲンタマイシン硫酸塩   1mg(力価)
添加剤*流動パラフィン、白色ワセリン(抗酸化剤としてジブチルヒドロキシトルエンを含む)、ミリスチン酸イソプロピル  

デルモゾールGクリーム

1g中

有効成分日局 ベタメタゾン吉草酸エステル   1.2mg
日局 ゲンタマイシン硫酸塩   1mg(力価)
添加剤パラオキシ安息香酸ブチル、パラオキシ安息香酸エチル、セタノール、ポリオキシエチレンステアリルエーテル、中鎖脂肪酸トリグリセリド、セトマクロゴール1000、ポリオキシエチレンセチルエーテル、プロピレングリコール、エデト酸ナトリウム水和物、pH調節剤2成分、その他1成分  

3.2 製剤の性状

デルモゾールG軟膏

性状・剤形乳白色の油性の軟膏でにおいはほとんどない。

デルモゾールGクリーム

性状・剤形白色の均一なクリーム剤でにおいはほとんどない。

4. 効能又は効果

  • <適応菌種>

    ゲンタマイシン感性菌

  • <適応症>
    • 〇 湿潤、びらん、結痂を伴うか、又は二次感染を併発している次の疾患:

      湿疹・皮膚炎群(進行性指掌角皮症、脂漏性皮膚炎を含む)、乾癬、掌蹠膿疱症

    • 〇 外傷・熱傷及び手術創等の二次感染

5. 効能又は効果に関連する注意

湿疹・皮膚炎群、乾癬、掌蹠膿疱症、外傷・熱傷及び手術創等に対しては、湿潤、びらん、結痂を伴うか、又は二次感染を併発しているものにのみ使用し、これらの症状が改善した場合には、速やかに使用を中止し、抗生物質を含有しない薬剤に切り替えること。

6. 用法及び用量

通常1日1~数回適量を塗布する。
なお、症状により適宜増減する。

8. 重要な基本的注意

  1. 8.1 感作されるおそれがあるので、観察を十分に行い感作されたことを示す兆候(そう痒、発赤、腫脹、丘疹、小水疱等)があらわれた場合には使用を中止すること。
  2. 8.2 大量又は長期にわたる広範囲の使用により、副腎皮質ホルモン剤を全身投与した場合と同様な症状があらわれることがある。,,,
  3. 8.3 症状改善後は、できるだけ速やかに使用を中止すること。
  4. 8.4 長期連用を避けること。

9. 特定の背景を有する患者に関する注意

9.5 妊婦

妊婦又は妊娠している可能性のある女性に対しては大量又は長期にわたる広範囲の使用を避けること。

9.7 小児等

ベタメタゾン吉草酸エステルの長期・大量使用又は密封法(ODT)により発育障害1)を来すとの報告がある。
また、おむつは密封法(ODT)と同様の作用があるので注意すること。

9.8 高齢者

大量又は長期にわたる広範囲の密封法(ODT)等の使用に際しては特に注意すること。一般に副作用があらわれやすい。

11. 副作用

次の副作用があらわれることがあるので、観察を十分に行い、異常が認められた場合には投与を中止するなど適切な処置を行うこと。

11.1 重大な副作用

  1. 11.1.1 眼圧亢進、緑内障、後嚢白内障(いずれも頻度不明)

    眼瞼皮膚への使用に際しては眼圧亢進、緑内障2)を起こすことがある。
    大量又は長期にわたる広範囲の使用、密封法(ODT)により、緑内障、後嚢白内障等があらわれることがある。

11.2 その他の副作用

0.1~5%未満1)

頻度不明

過敏症

皮膚の刺激感、接触性皮膚炎、発疹

中心性漿液性網脈絡膜症

皮膚

魚鱗癬様皮膚変化

皮膚の感染症2)

ゲンタマイシン耐性菌又は非感性菌による感染症、真菌症(カンジダ症、白癬等)、ウイルス感染症

その他の皮膚症状3)

ざ瘡様発疹、酒さ様皮膚炎・口囲皮膚炎(ほほ、口囲等に潮紅、丘疹、膿疱、毛細血管拡張)、ステロイド皮膚(皮膚萎縮、毛細血管拡張、紫斑)、多毛、色素脱失

下垂体・副腎皮質系

下垂体・副腎皮質系機能の抑制4)

長期連用5)

腎障害、難聴

1) 再評価結果を含む。
2) このような症状があらわれた場合には、本剤の使用を中止し、適切な抗菌剤、抗真菌剤等に切り替えること。密封法(ODT)の場合に起こりやすい。
3) 長期連用により、このような症状があらわれた場合にはその使用を差し控え、副腎皮質ホルモンを含有しない薬剤に切り替えること。
4) 大量又は長期にわたる広範囲の使用、密封法(ODT)により発現した事象。投与中止により急性副腎皮質機能不全に陥る危険性があるため、投与を中止する際は患者の状態を観察しながら徐々に減量すること。

14. 適用上の注意

14.1 薬剤交付時の注意

患者に対し以下の点に注意するよう指導すること。

  1. 14.1.1 使用時

    化粧下、ひげそり後等に使用することのないよう注意すること。

  2. 14.1.2 使用部位

    眼科用として使用しないこと。

16. 薬物動態

16.2 吸収

正常なヒト腋窩皮膚に0.15% 3H-標識ベタメタゾン吉草酸エステル6)クリームを30分、1時間、2時間、4時間、8時間密封法(ODT)により塗布後、薬剤を除去し、オートラジオグラフ法により経表皮吸収及び経皮膚付属器官吸収を検討した結果、共に吸収が良好であった3)

表16-1 経表皮吸収及び経皮膚付属器官吸収

部位\密封(ODT)時間

30分

1時間

2時間

4時間

8時間

角質層

マルピギー層

++

毛嚢壁(外側)

++

++

++

毛嚢壁(内側)

++

++

皮脂腺

++

++

アポクリン腺細胞

++

++

アポクリン腺腔

++

判定基準(?:存在不明 -:認められない +:認められた ++:著明に認められた)

16.5 排泄

乾癬患者2例及び天疱瘡患者1例に0.1% 3H-標識ベタメタゾン吉草酸エステル6)軟膏を密封法(ODT)により塗布した場合、7日間の尿中回収率は塗布量の2.0~18.5%であった4)(外国人データ)。

表16-2 尿中回収率

疾患名

塗布面積

1日塗布量
(ODT)

塗布日数

7日間の尿中回収率
(合計)

乾癬

体表の50%

20mg

1日間

2.0%

乾癬

体表の50%

25mg

2日間

8.7%

天疱瘡

体表の20%

10mg

3日間

18.5%

※:ベタメタゾン換算量

6) 本剤はベタメタゾン吉草酸エステルとゲンタマイシン硫酸塩の配合剤である。

17. 臨床成績

17.1 有効性及び安全性に関する試験

  • 〈湿疹・皮膚炎群〉
    1. 17.1.1 国内臨床試験

      ベタメタゾン吉草酸エステル軟膏を対照薬とし、湿潤性湿疹・皮膚炎群を有する患者を対象とした比較試験(1日2~3回、7~21日間使用14例)において有効性を比較した結果、ベタメタゾン吉草酸エステル・ゲンタマイシン硫酸塩軟膏はベタメタゾン吉草酸エステル軟膏と同等又は同等以上であった5)

18. 薬効薬理

18.1 作用機序

  1. 18.1.1 ベタメタゾン吉草酸エステル

    ステロイドは細胞質に存在する熱ショック蛋白質、抑制蛋白質と複合体を形成したステロイド受容体に結合後核内に移行し、ステロイド反応性の遺伝子を活性化させ、その薬理作用を発揮すると考えられている。また、血管内皮細胞やリンパ球等の細胞膜の障害を抑制するような膜の安定性に関与する作用や、フォスフォリパーゼA2と呼ばれる細胞膜リン脂質からロイコトリエンやプロスタグランジンなど種々の炎症惹起物質を誘導する重要な酵素の機能を抑える作用も知られている。
    その作用機序としては、単量体のステロイドとその受容体が複合体を形成することで、NFκBやAP-1と呼ばれるサイトカイン産生の誘導や細胞接着分子の発現等を調節している細胞内転写因子の機能を抑制することで、2量体の受容体と結合した場合、リポコルチン等の誘導を介して、炎症を制御すると考えられている。免疫抑制作用に関しては、リンパ球に対する直接的な機能抑制、アポトーシスの誘導によると考えられている6)

  2. 18.1.2 ゲンタマイシン硫酸塩

    細菌の蛋白合成を阻害することにより抗菌作用を発揮し、その作用は殺菌的である7)

18.2 薬理作用

  1. 18.2.1 皮膚血管収縮試験

    ベタメタゾン吉草酸エステルは健康成人20例における皮膚血管収縮試験において、フルオシノロンアセトニドに比べて3.6倍の皮膚血管収縮能を示した8) (外国人データ)。

18.3 生物学的同等性試験

  1. 18.3.1 抗炎症作用

    Sprague-Dawley系雄性ラット(n=10)に、デルモゾールG軟膏及びリンデロン-VG軟膏0.12%を塗布し、カラゲニン浮腫抑制試験、綿球法による肉芽増殖抑制試験及び創傷治癒遅延試験を浮腫抑制率、肉芽形成抑制率及び創傷治癒遅延率を指標に検討した結果、両剤の生物学的同等性が確認された。 また、デルモゾールGクリーム及びリンデロン-VGクリーム0.12%について同様の試験を行った結果、両剤の生物学的同等性が確認された9)

    表18-1 浮腫抑制率(%)

    製剤\塗布日数

    1

    3

    5

    デルモゾールG軟膏

    34.17

    67.65

    74.30

    リンデロン-VG軟膏0.12%

    33.02

    68.79

    77.32

    デルモゾールGクリーム

    39.67

    70.67

    75.54

    リンデロン-VGクリーム0.12%

    38.55

    69.92

    74.25

    表18-2 肉芽形成抑制率(%)

    デルモゾールG軟膏

    25.43

    リンデロン-VG軟膏0.12%

    27.43

    デルモゾールGクリーム

    27.21

    リンデロン-VGクリーム0.12%

    29.72

    表18-3 創傷治癒遅延率(%)

    デルモゾールG軟膏

    10.17

    リンデロン-VG軟膏0.12%

    12.64

    デルモゾールGクリーム

    11.24

    リンデロン-VGクリーム0.12%

    11.80

  2. 18.3.2 実験的熱傷皮膚感染症に対する殺菌作用

    BALB/C AN系雌性マウス(n=10)の実験的熱傷皮膚にS.aureusE.coli又はP.aeruginosaを感染させ、デルモゾールG軟膏及びリンデロン-VG軟膏0.12%を1日1回100mgずつ塗布し、感染皮膚患部の生菌数を測定した結果、両剤の殺菌効果に差は認められず、両剤の生物学的同等性が確認された。
    また、デルモゾールGクリーム及びリンデロン-VGクリーム0.12%について同様の試験を行った結果、両剤の生物学的同等性が確認された9)

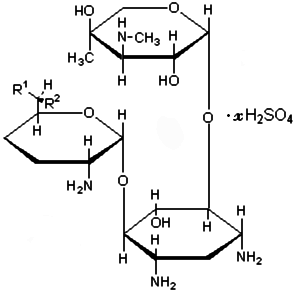
19. 有効成分に関する理化学的知見

19.1 ベタメタゾン吉草酸エステル

一般的名称

ベタメタゾン吉草酸エステル
(Betamethasone Valerate)

化学名

9-Fluoro-11β,17,21-trihydroxy-16β-methylpregna-1,4-diene-3,20-dione 17-pentanoate

分子式

C27H37FO6

性状

白色の結晶性の粉末で、においはない。クロロホルムに溶けやすく、エタノール(95)にやや溶けやすく、メタノールにやや溶けにくく、ジエチルエーテルに溶けにくく、水にほとんど溶けない。

化学構造式

19.2 ゲンタマイシン硫酸塩

一般的名称

ゲンタマイシン硫酸塩
(Gentamicin Sulfate)

化学名

ゲンタマイシンC1硫酸塩
(6R)-2-Amino-2,3,4,6-tetradeoxy-6-methylamino-6-methyl-α-D-erythro-hexopyranosyl-(1→4)-[3-deoxy-4-C-methyl-3-methylamino-β-L-arabinopyranosyl-(1→6)]-2-deoxy-D-streptamine sulfate
ゲンタマイシンC2硫酸塩
(6R)-2,6-Diamino-2,3,4,6-tetradeoxy-6-methyl-α-D-erythro-hexopyranosyl-(1→4)-[3-deoxy-4-C-methyl-3-methylamino-β-L-arabinopyranosyl-(1→6)]-2-deoxy-D-streptamine sulfate
ゲンタマイシンC1a硫酸塩
2,6-Diamino-2,3,4,6-tetradeoxy-α-D-erythro-hexopyranosyl-(1→4)-[3-deoxy-4-C-methyl-3-methylamino-β-L-arabinopyranosyl-(1→6)]-2-deoxy-D-streptamine sulfate

分子式

C1=C21H43N5O7・xH2SO4
C2=C20H41N5O7・xH2SO4
C1a=C19H39N5O7・xH2SO4

性状

白色~淡黄白色の粉末である。水に極めて溶けやすく、エタノール(99.5)にほとんど溶けない。吸湿性である。

化学構造式

ゲンタマイシンC1硫酸塩:R1=CH3 R2=NHCH3
ゲンタマイシンC2硫酸塩:R1=CH3 R2=NH2
ゲンタマイシンC1a硫酸塩:R1=H  R2=NH

20. 取扱い上の注意

  • 〈軟膏〉
    1. 20.1 高温条件下で軟膏基剤中の低融点物質(液体)が滲出すること(Bleeding現象)がある。
  • 〈クリーム〉
    1. 20.2 低温あるいは高温条件下で外観が変化(粒状あるいは分離)することがある。
  • 〈製剤共通〉
    1. 20.3 チューブ又は瓶を開封後は遮光して保存すること。

22. 包装

  • 〈デルモゾールG軟膏〉

    10本[5g(チューブ)×10]
    50本[5g(チューブ)×50]
    50本[10g(チューブ)×50]
    500g[瓶]

  • 〈デルモゾールGクリーム〉

    10本[5g(チューブ)×10]
    50本[5g(チューブ)×50]
    50本[10g(チューブ)×50]
    600g[瓶]

24. 文献請求先及び問い合わせ先

岩城製薬株式会社 マーケティング部 学術グループ

〒103-8434 東京都中央区日本橋本町4-8-2

TEL 03-6626-6251 FAX 03-6626-6261

26. 製造販売業者等

26.1 製造販売元

岩城製薬株式会社

東京都中央区日本橋本町4-8-2

〒100-0013 東京都千代田区霞が関3-3-2 新霞が関ビル

画面を閉じる

Copyright © Pharmaceuticals and Medical Devices Agency, All Rights reserved.