医療用医薬品 詳細表示

ノイキノン錠5mg/ノイキノン錠10mg/ノイキノン糖衣錠10mg

添付文書番号

2119003F1093_1_03

企業コード

170033

作成又は改訂年月

**2024年9月改訂(第3版)
2023年5月改訂(第2版)

日本標準商品分類番号

872119

薬効分類名

代謝性強心剤

承認等

ノイキノン錠5mg

販売名コード

YJコード

2119003F1093

販売名英語表記

Neuquinon tablets

販売名ひらがな

のいきのんじょう

承認番号等

承認番号

15200AMZ00880000

販売開始年月

1978年4月

貯法・有効期間

貯法

室温保存

有効期間

3年

ノイキノン錠10mg

販売名コード

YJコード

2119003F2332

販売名英語表記

Neuquinon tablets

販売名ひらがな

のいきのんじょう

承認番号等

承認番号

15100AMZ00371000

販売開始年月

1978年4月

貯法・有効期間

貯法

室温保存

有効期間

3年

ノイキノン糖衣錠10mg

販売名コード

YJコード

2119003F2340

販売名英語表記

Neuquinon tablets

販売名ひらがな

のいきのんとういじょう

承認番号等

承認番号

15400AMZ01434000

販売開始年月

1981年9月

貯法・有効期間

貯法

室温保存

有効期間

3年

一般的名称

ユビデカレノン製剤

3. 組成・性状

3.1 組成

ノイキノン錠5mg

有効成分1錠中
ユビデカレノン   5mg
添加剤カルナウバロウ、カルメロースカルシウム、含水二酸化ケイ素、結晶セルロース、ステアリン酸、トウモロコシデンプン、乳糖水和物、ヒドロキシプロピルセルロース

ノイキノン錠10mg

有効成分1錠中
ユビデカレノン   10mg
添加剤カルナウバロウ、カルメロースカルシウム、含水二酸化ケイ素、結晶セルロース、ステアリン酸、トウモロコシデンプン、乳糖水和物、ヒドロキシプロピルセルロース

ノイキノン糖衣錠10mg

有効成分1錠中
ユビデカレノン   10mg
添加剤黄色5号、カルナウバロウ、含水二酸化ケイ素、結晶セルロース、酸化チタン、ステアリン酸、ステアリン酸カルシウム、精製白糖、タルク、沈降炭酸カルシウム、トウモロコシデンプン、乳糖水和物、白色セラック、ヒドロキシプロピルセルロース、プルラン、ポビドン、マクロゴール6000

3.2 製剤の性状

ノイキノン錠5mg

剤形素錠
色調黄色~橙黄色
外形表面
裏面
側面
大きさ直径5.1mm
厚さ2.5mm
質量50mg
識別コードEISAI
NQ005

ノイキノン錠10mg

剤形素錠
色調黄色~橙黄色
外形表面
裏面
側面
大きさ直径6.1mm
厚さ3.4mm
質量100mg
識別コードEISAI
NQ010

ノイキノン糖衣錠10mg

剤形糖衣錠
色調橙色
外形表面
裏面
側面
大きさ直径7.5mm
厚さ4.2mm
質量170mg
識別コード224

4. 効能又は効果

基礎治療施行中の軽度及び中等度のうっ血性心不全症状

6. 用法及び用量

ユビデカレノンとして通常成人は1回10mgを1日3回食後に経口投与する。
錠5mg:通常成人、1回2錠を1日3回食後に経口投与する。
錠10mg:通常成人、1回1錠を1日3回食後に経口投与する。
糖衣錠10mg:通常成人、1回1錠を1日3回食後に経口投与する。

9. 特定の背景を有する患者に関する注意

9.5 妊婦

妊婦又は妊娠している可能性のある女性には治療上の有益性が危険性を上回ると判断される場合にのみ投与すること。

9.6 授乳婦

治療上の有益性及び母乳栄養の有益性を考慮し、授乳の継続又は中止を検討すること。

9.7 小児等

小児等を対象とした臨床試験は実施していない。

11. 副作用

次の副作用があらわれることがあるので、観察を十分に行い、異常が認められた場合には投与を中止するなど適切な処置を行うこと。

11.2 その他の副作用

0.1~5%未満

消化器

胃部不快感、食欲減退、吐気、下痢

過敏症

発疹

発現頻度は副作用発生頻度調査結果に基づく。

14. 適用上の注意

14.1 薬剤交付時の注意

PTP包装の薬剤はPTPシートから取り出して服用するよう指導すること。PTPシートの誤飲により、硬い鋭角部が食道粘膜へ刺入し、更には穿孔をおこして縦隔洞炎等の重篤な合併症を併発することがある。

16. 薬物動態

16.1 血中濃度

健康成人男子を対象に、クロスオーバー法により錠10mgあるいは糖衣錠10mgをそれぞれ10錠(ユビデカレノンとして100mg1))単回経口投与した際の、血漿中濃度の推移を比較検討した。両製剤共に投与後6時間で最高血漿中濃度(外因性CoQ10として約0.5μg/mL)に達し、以後緩やかに低下して、剤形間に統計学的有意差は認められなかった。

ユビデカレノン100mg1)単回経口投与時の血漿中外因性CoQ10濃度
ノイキノン糖衣錠10mg・錠10mgの薬物動態パラメータ

tmax
(hr)

Cmax
(μg/mL)

AUC
(μg・hr/mL)

t1/2
(hr)

ノイキノン糖衣錠10mg

6

0.51

10.5

25.0

ノイキノン錠10mg

6

0.52

9.5

19.2

1) 本剤の承認された用法及び用量は、ユビデカレノンとして通常成人は1回10mgを1日3回食後に経口投与するである。

17. 臨床成績

17.1 有効性及び安全性に関する試験

  1. 17.1.1 国内臨床成績

    虚血性心疾患、高血圧症やリウマチ性心疾患等に基づくうっ血性心不全の自他覚症状(浮腫、肺うっ血、肝腫脹や狭心症状等)に対して、二重盲検試験及び一般臨床試験において本剤の有用性が認められている1),2),3),4)

18. 薬効薬理

18.1 作用機序

心筋細胞内のミトコンドリアに取り込まれて、虚血心筋に直接作用し、低酸素状態での心筋エネルギー代謝を改善するとともに酸素の利用効率を改善する5),6),7),8)

18.2 虚血心筋での酸素利用効率改善作用

モルモットの心室乳頭筋を用いた研究で、低酸素灌流条件で低下した心筋収縮力はユビデカレノンの添加で改善した8)

18.3 心筋でのATP産生賦活作用

家兎を用いた研究で、ユビデカレノンを腹腔内に前投与した心筋では心筋を虚血・再灌流した際に見られるATP産生速度の低下が抑制され、虚血・再灌流による心筋細胞障害が軽度に保たれた9),10)

18.4 低下した心機能改善作用

心筋症モデル動物を用いた研究で、心筋障害期から心肥大期までユビデカレノンを経口投与した動物では、心筋の収縮性ならびに拡張性の低下は薬物非投薬群、ジゴキシン投与群に比べ軽度であった(心筋症ハムスター)11)
また、心筋梗塞モデルを用いた研究では、心筋梗塞発生後にユビデカレノンを投与し心機能の低下が軽度に抑制された。心筋梗塞後の生命予後に対してはユビデカレノン投与では薬物非投与群に比べ長期生存率が良好に保たれた(ラット心筋梗塞モデル)12),13)

18.5 抗アルドステロン作用

ラットを用いた研究で、ユビデカレノンはアルドステロンの分泌を抑制すると同時にアルドステロンによるNa+貯留に対し拮抗的に働き、Na+利尿は促進するが、K+排泄に対しては影響を与えなかった14)

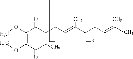
19. 有効成分に関する理化学的知見

一般的名称

ユビデカレノン(Ubidecarenone)

化学名

(2E, 6E, 10E, 14E, 18E, 22E, 26E, 30E, 34E, 38E)-2-(3, 7, 11, 15, 19, 23, 27, 31, 35, 39-Decamethyltetraconta-2, 6, 10, 14, 18, 22, 26, 30, 34, 38-decaen-1-yl)-5, 6-dimethoxy-3-methyl-1, 4-benzoquinone

分子式

C59H90O4

分子量

863.34

性状

ユビデカレノンは黄色~だいだい色の結晶性の粉末で、におい及び味はない。
本品はジエチルエーテルに溶けやすく、エタノール(99.5)に極めて溶けにくく、水にほとんど溶けない。
本品は光によって徐々に分解し、着色が強くなる。

化学構造式

融点

約48℃

20. 取扱い上の注意

  1. 20.1 本剤は有効成分であるユビデカレノンの融点(約48℃)以上になると、まだら変色を起こすことがある。
  2. 20.2 錠5mg及び錠10mgのPTP包装は外箱開封後、バラ包装は開栓後、変色及び含量が低下することがあるので、光を遮り保存すること。

22. 包装

  • ノイキノン錠5mg
    • 100錠[10錠(PTP)×10]
  • **,*ノイキノン錠10mg
    • 100錠[10錠(PTP)×10]、210錠[21錠(PTP)×10]

      500錠(ボトル、バラ)

  • *ノイキノン糖衣錠10mg
    • 100錠[10錠(PTP)×10]

24. 文献請求先及び問い合わせ先

エーザイ株式会社 hhcホットライン

〒112-8088 東京都文京区小石川4-6-10

フリーダイヤル 0120-419-497

26. 製造販売業者等

26.1 製造販売元

エーザイ株式会社

東京都文京区小石川4-6-10

〒100-0013 東京都千代田区霞が関3-3-2 新霞が関ビル

画面を閉じる

Copyright © Pharmaceuticals and Medical Devices Agency, All Rights reserved.