医療用医薬品 詳細表示

ワソラン静注5mg

処方せん医薬品

添付文書番号
企業コード
作成又は改訂年月
日本標準商品分類番号
薬効分類名
承認等
一般的名称
1.警告
2.禁忌(次の患者には投与しないこと)
3.組成・性状
3.1組成
3.2製剤の性状
4.効能又は効果
6.用法及び用量
8.重要な基本的注意
9.特定の背景を有する患者に関する注意
9.1合併症・既往歴等のある患者
9.2腎機能障害患者
9.3肝機能障害患者
9.5妊婦
9.6授乳婦
9.7小児等
9.8高齢者
10.相互作用
10.1併用禁忌(併用しないこと)
10.2併用注意(併用に注意すること)
11.副作用
11.2その他の副作用
13.過量投与
15.その他の注意
15.1臨床使用に基づく情報
16.薬物動態
16.1血中濃度
16.4代謝
17.臨床成績
17.1有効性及び安全性に関する試験
18.薬効薬理
18.1作用機序
19.有効成分に関する理化学的知見
20.取扱い上の注意
22.包装
23.主要文献
24.文献請求先及び問い合わせ先
26.製造販売業者等

ワソラン静注5mg

添付文書番号

2129402A1040_1_12

企業コード

170033

作成又は改訂年月

2025年2月改訂(第2版)
2022年2月改訂(第1版)

日本標準商品分類番号

872129

薬効分類名

Ca++拮抗性不整脈治療剤

承認等

ワソラン静注5mg

販売名コード

YJコード

2129402A1040

販売名英語表記

Vasolan Injection

販売名ひらがな

わそらんじょうちゅう

承認番号等

承認番号

21900AMX00095000

販売開始年月

1985年12月

貯法・有効期間

貯法

室温保存

有効期間

3年

基準名

日本薬局方

ベラパミル塩酸塩注射液

一般的名称

ベラパミル塩酸塩

1. 警告

  1. 1.1 小児等に本剤を使用する場合、小児等の不整脈治療に熟練した医師が監督すること。基礎心疾患のある場合は、有益性がリスクを上回ると判断される場合にのみ投与すること。
  2. 1.2 新生児及び乳児に使用する際には、生命に危険があり、他の治療で効果がない場合にのみ投与すること。

2. 禁忌(次の患者には投与しないこと)

  1. 2.1 重篤な低血圧あるいは心原性ショックのある患者
    [本剤は陰性変力作用ならびに血管拡張作用を有し、血圧を更に低下させることがある。]
  2. 2.2 高度の徐脈、洞房ブロック、房室ブロック(第Ⅱ、Ⅲ度)のある患者
    [本剤は房室結節、洞結節を抑制する作用を有し、刺激伝導を更に悪化させることがある。]
  3. 2.3 重篤なうっ血性心不全のある患者
    [本剤は陰性変力作用を有し、心不全症状を更に悪化させることがある。]
  4. 2.4 急性心筋梗塞のある患者
    [本剤は陰性変力作用を有し、急性心筋梗塞時の心機能を更に悪化させることがある。]
  5. 2.5 重篤な心筋症のある患者
    [本剤は陰性変力作用を有し、心機能を更に悪化させることがある。]
  6. 2.6 静注用β-遮断剤を投与中の患者
  7. 2.7 *イバブラジン塩酸塩を投与中の患者
  8. 2.8 *ロミタピドメシル酸塩を投与中の患者
  9. 2.9 本剤の成分に対し過敏症の既往歴のある患者

3. 組成・性状

3.1 組成

ワソラン静注5mg

有効成分ベラパミル塩酸塩   5mg(1管(2mL)中の分量)
添加剤希塩酸   適量(1管(2mL)中の分量)
水酸化ナトリウム   適量(1管(2mL)中の分量)
D-ソルビトール   100mg(1管(2mL)中の分量)

3.2 製剤の性状

ワソラン静注5mg

pH4.5~6.5
浸透圧比約1(生理食塩液に対する比)
性状無色澄明の液

4. 効能又は効果

頻脈性不整脈
(発作性上室性頻拍、発作性心房細動、発作性心房粗動)

6. 用法及び用量

成人:
通常、成人には1回1管(ベラパミル塩酸塩として5mg)を、必要に応じて生理食塩水又はブドウ糖注射液で希釈し、5分以上かけて徐々に静脈内に注射する。なお、年齢、症状により適宜増減する。

小児:
通常、小児にはベラパミル塩酸塩として1回0.1~0.2mg/kg(ただし、1回5mgを超えない)を、必要に応じて生理食塩水又はブドウ糖注射液で希釈し、5分以上かけて徐々に静脈内に注射する。なお、年齢、症状により適宜増減する。

8. 重要な基本的注意

  1. 8.1 心電図を連続的に監視すること。
  2. 8.2 頻回の血圧測定を行うこと。
  3. 8.3 投与中に徐脈や血圧低下などの異常が観察された場合には、減量又は投与を中止すること。また必要に応じて適切な処置を行うこと。
  4. 8.4 投与中に不整脈が停止した場合は、患者の様子を見て投与を中止すること。

9. 特定の背景を有する患者に関する注意

9.1 合併症・既往歴等のある患者

  1. 9.1.1 低血圧の患者

    本剤は血管拡張作用を有し、血圧を更に低下させることがある。

  2. 9.1.2 第Ⅰ度の房室ブロックのある患者

    本剤は房室結節、洞結節を抑制する作用を有し、刺激伝導を更に悪化させることがある。

  3. 9.1.3 WPW、LGL症候群のある患者

    本剤の房室伝導抑制作用により、心房興奮が副伝導路を通りやすくなる結果として心室細動を生じることがある。

  4. 9.1.4 うっ血性心不全のある患者

    本剤は陰性変力作用を有し、心不全症状を更に悪化させることがある。

  5. 9.1.5 基礎心疾患(心筋症、弁膜症、高血圧性心疾患等)のある患者

    本剤は陰性変力作用を有し、心機能を悪化させることがある。

  6. 9.1.6 筋ジストロフィーのある患者

    本剤は主に平滑筋を弛緩させるが骨格筋に対しても作用を有し、筋収縮力を悪化させることがある。

  7. 9.1.7 遺伝性果糖不耐症の患者

    本剤の添加剤D-ソルビトールが体内で代謝されて生成した果糖が正常に代謝されず、低血糖、肝不全、腎不全等が誘発されるおそれがある。

9.2 腎機能障害患者

  1. 9.2.1 重篤な腎不全のある患者

    本剤は肝及び腎で代謝・排泄されるため、このような患者では本剤の血中濃度が予測以上に増加し、副作用に発展することがある。

9.3 肝機能障害患者

  1. 9.3.1 重篤な肝不全のある患者

    本剤は肝及び腎で代謝・排泄されるため、このような患者では本剤の血中濃度が予測以上に増加し、副作用に発展することがある。

9.5 妊婦

妊婦又は妊娠している可能性のある女性には、投与しないことが望ましい。動物実験(マウス)で本薬の経口投与により胎児毒性(死胚)が報告されている。

9.6 授乳婦

治療上の有益性及び母乳栄養の有益性を考慮し、授乳の継続又は中止を検討すること。ヒトにおいて本薬の経口投与で乳汁中への移行が報告されている。

9.7 小児等

新生児及び乳児はカルシウム拮抗剤の感受性が高く、徐脈、心停止等を生じる危険性が大きい。新生児及び乳児に本剤を投与した際、重篤な徐脈や低血圧、心停止等が認められたとの報告がある。

9.8 高齢者

減量するなど注意すること。一般に生理機能が低下している。

10. 相互作用

  • 本剤は主として肝代謝酵素CYP3A4で代謝される。本剤はCYP3A及びP-糖蛋白の基質であるとともにCYP3A4及びP-糖蛋白に対して阻害作用を有する。

10.1 併用禁忌(併用しないこと)

薬剤名等臨床症状・措置方法機序・危険因子

静注用β-遮断剤

  • プロプラノロール塩酸塩(インデラル)

心機能の低下や徐脈があらわれることがある。

β-遮断剤は本剤と同様に陰性変力作用や徐脈作用を有し、両者の心抑制作用が相互に増強される。

*イバブラジン塩酸塩

過度の徐脈があらわれることがある。

本剤によるチトクロームP450(CYP3A4)に対する競合的阻害作用により、相手薬剤の血中濃度を上昇させる。また、心拍数減少作用を相加的に増強する。

*ロミタピドメシル酸塩

相手薬剤の血中濃度が著しく上昇するおそれがある。

本剤によるチトクロームP450(CYP3A4)に対する競合的阻害作用により、相手薬剤の血中濃度を上昇させる。

10.2 併用注意(併用に注意すること)

薬剤名等臨床症状・措置方法機序・危険因子

血圧降下剤

血圧の低下が増強することがある。

本剤と血圧降下剤の血管拡張作用が増強される。

β-遮断剤
(経口・点眼剤)
ラウオルフィア製剤

心機能の低下や徐脈があらわれることがある。自覚症状、心電図等に注意し、異常が認められた場合には、本剤又は相手薬剤を減量又は中止するなど適切な処置を行うこと。

本剤は陰性変力作用や房室結節、洞結節を抑制する作用を有し、両者の心抑制作用が相互に増強される。特にジギタリス製剤との3剤併用時には注意すること。

抗不整脈剤

  • キニジン硫酸塩水和物
  • プロカインアミド塩酸塩
  • リドカイン
  • ピルシカイニド塩酸塩水和物
  • フレカイニド酢酸塩等

低カリウム血症を起こすおそれがある薬剤

  • 利尿剤等

徐脈、房室ブロックがあらわれることがあり、高度の不整脈に発展させることがある。自覚症状、心電図等に注意し、異常が認められた場合には、本剤又は相手薬剤を減量又は中止すること。

相加的な抗不整脈作用の増強や低カリウム血症により催不整脈作用が生じる。

ジギタリス製剤

  • ジゴキシン
  • メチルジゴキシン等

高度の徐脈、房室ブロック等の徐脈性不整脈があらわれることがある。また、これらの不整脈を含めたジギタリスの血中濃度上昇による中毒症状(悪心・嘔吐、食欲不振、頭痛、疲労、倦怠感等)があらわれることがある。
定期的に心電図検査を行い、ジギタリスの中毒症状の有無を確認し、必要に応じてジギタリスの血中濃度を測定する。異常が認められた場合には、両剤を減量又は中止するなど適切な処置を行うこと。

相加的な房室結節・洞結節抑制作用の増強やジギタリスの心刺激作用により不整脈が生じる。特にβ-遮断剤との3剤併用時には注意すること。
また、ジギタリスの血中濃度の上昇は本剤のジギタリスの腎排泄抑制によるものと考えられる。

吸入麻酔薬

心機能の低下や徐脈があらわれることがある。脈拍数、心電図等に注意し、異常が認められた場合には、適切な処置を行うこと。

本剤は陰性変力作用や房室結節、洞結節を抑制する作用を有し、両剤の心抑制作用が相互に増強される。

*P-糖蛋白で排出される薬剤

  • エドキサバントシル酸塩等

相手薬剤の血中濃度を上昇させ、作用を増強させることがある。異常が認められた場合には、適切な処置を行うこと。

P-糖蛋白を阻害することにより、相手薬剤の血中濃度を上昇させる。

*P-糖蛋白で排出される薬剤

  • ダビガトランエテキシラートメタンスルホン酸塩

本薬の経口剤では、ダビガトランの抗凝固作用が増強することがある。

本薬の経口剤において、ダビガトランの血中濃度を上昇させるとの報告がある。

*CYP3Aで代謝され、P-糖蛋白で排出される薬剤

  • レンバチニブ等

相手薬剤の血中濃度を上昇させ、作用を増強させることがある。異常が認められた場合には、適切な処置を行うこと。

本剤のCYP3A及びP-糖蛋白に対する阻害作用により、相手薬剤の代謝・排泄が阻害される。

*CYP3Aを阻害する薬剤

  • クラリスロマイシン
  • エリスロマイシン等

本剤の血中濃度が上昇し、副作用を増強するおそれがある。

相手薬剤のチトクロームP450(CYP3A)の阻害作用により、本剤の代謝が阻害され、血中濃度を上昇させる。

*CYP3Aを阻害する薬剤

  • リトナビル

本剤のAUCが3倍を超えることが予測されるので、本剤を減量するとともに血中濃度のモニターや診察の回数を増やすなど慎重に投与すること。

相手薬剤によるチトクロームP450(CYP3A4)に対する競合的阻害作用により、本剤の血中濃度を上昇させる。

*CYP3Aを阻害する薬剤

  • インジナビル硫酸塩エタノール付加物
  • アタザナビル硫酸塩
  • キヌプリスチン・ダルホプリスチン

本剤の血中濃度が上昇し、副作用を増強するおそれがある。

相手薬剤によるチトクロームP450(CYP3A4)に対する競合的阻害作用により、本剤の血中濃度を上昇させる。

*CYP3Aを阻害する薬剤

  • イトラコナゾール
  • ミコナゾール

本剤の血中濃度を上昇させることがある。

相手薬剤のチトクロームP450(CYP3A4)の阻害作用により、本剤の代謝が阻害され、血中濃度を上昇させる。

*CYP3Aで代謝される薬剤

  • レンボレキサント
  • スボレキサント
  • エベロリムス
  • シロリムス
  • イブルチニブ等

相手薬剤の血中濃度が上昇することがある。異常が認められた場合には、適切な処置を行うこと。

本剤によるチトクロームP450(CYP3A)に対する阻害作用により、相手薬剤の血中濃度を上昇させる。

*CYP3Aで代謝される薬剤

  • アプリンジン塩酸塩

アプリンジンの血中濃度が上昇することがある。異常が認められた場合には、アプリンジンを減量又は中止するなど適切な処置を行うこと。

本剤によるチトクロームP450(CYP3A4)に対する競合的阻害作用により、相手薬剤の血中濃度を上昇させる。

*CYP3Aで代謝される薬剤

  • カルバマゼピン

カルバマゼピンの血中濃度が上昇し、中毒症状(めまい、頭痛等)があらわれることがある。カルバマゼピンの血中濃度に注意し、異常が認められた場合には、適切な処置を行うこと。

本剤によるチトクロームP450(CYP3A4)に対する競合的阻害作用により、相手薬剤の血中濃度を上昇させる。

*CYP3Aで代謝される薬剤

  • ミダゾラム

ミダゾラムの血中濃度が上昇することがある。異常が認められた場合には、適切な処置を行うこと。

本剤によるチトクロームP450(CYP3A4)に対する競合的阻害作用により、相手薬剤の血中濃度を上昇させる。

*CYP3Aで代謝される薬剤

  • セレギリン塩酸塩

セレギリンの作用を増強し、毒性が大幅に増強する可能性がある。

本剤によるチトクロームP450(CYP3A4)に対する競合的阻害作用により、相手薬剤の血中濃度を上昇させる。

*CYP3Aで代謝される薬剤

  • シクロスポリン

シクロスポリンの血中濃度が上昇することがある。シクロスポリンの血中濃度に注意し、異常が認められた場合には、シクロスポリンを減量又は中止すること。

本剤によるチトクロームP450(CYP3A4)に対する競合的阻害作用により、相手薬剤の血中濃度を上昇させる。

*CYP3Aで代謝される薬剤

  • パクリタキセル

パクリタキセルの血中濃度が上昇することがある。異常が認められた場合には、パクリタキセルを減量、投与間隔を延長又は中止するなど適切な処置を行うこと。

本剤によるチトクロームP450(CYP3A4)に対する競合的阻害作用により、相手薬剤の血中濃度を上昇させる。

*CYP3Aで代謝される薬剤

  • ビノレルビン酒石酸塩

ビノレルビンの血中濃度が上昇することがある。

本剤によるチトクロームP450(CYP3A4)に対する競合的阻害作用により、相手薬剤の血中濃度を上昇させる。

*CYP3Aで代謝される薬剤

  • ゲフィチニブ

ゲフィチニブの血中濃度が上昇し、副作用を増強するおそれがある。

本剤によるチトクロームP450(CYP3A4)に対する競合的阻害作用により、相手薬剤の血中濃度を上昇させる。

*CYP3Aで代謝される薬剤

  • エレトリプタン臭化水素酸塩

エレトリプタンの血中濃度が上昇することがある。

本剤によるチトクロームP450(CYP3A4)に対する競合的阻害作用により、相手薬剤の血中濃度を上昇させる。

*CYP3A を誘導する薬剤

  • リファンピシン
  • フェニトイン
  • フェノバルビタール等

本剤の作用が減弱することがある。

相手薬剤のチトクロームP450(CYP3A4)の誘導作用により、本剤の血中濃度を低下させる。

テオフィリン

アミノフィリン水和物

コリンテオフィリン

テオフィリンの血中濃度が上昇することがある。テオフィリンの血中濃度に注意し、異常が認められた場合には、テオフィリン製剤を減量又は中止するなど適切な処置を行うこと。

本剤による肝薬物代謝酵素阻害作用により、テオフィリンのクリアランスが低下するため、テオフィリンの血中濃度を上昇させる。

ダントロレンナトリウム

高カリウム血症や心機能低下が生じることがある。

機序は不明である。

11. 副作用

次の副作用があらわれることがあるので、観察を十分に行い、異常が認められた場合には投与を中止するなど適切な処置を行うこと。

11.2 その他の副作用

0.1~5%未満

0.1%未満

頻度不明

循環器

血圧低下、心室性期外収縮、洞停止、房室ブロック、徐脈、上室性期外収縮、心室性頻拍

脚ブロック、洞房ブロック、一過性心停止

消化器

悪心、嘔吐

口渇

内分泌

血中プロラクチンの上昇、男性における血中黄体形成ホルモン・血中テストステロンの低下

肝臓

AST、ALTの上昇等

その他

胸痛

頭痛、顔面のほてり、臭気感

13. 過量投与

  1. 13.1 徴候・症状

    ショック、著明な血圧低下、心不全の悪化、完全房室ブロック等が認められたとの報告がある。

  2. 13.2 処置
    1. 13.2.1 ショックや心不全の悪化の場合

      投与を中止し、昇圧剤、強心薬、輸液等の投与やIABP等の補助循環の適用を考慮すること。

    2. 13.2.2 心停止や完全房室ブロックの場合

      投与を中止し、アトロピン硫酸塩水和物、イソプレナリン等の投与や心臓ペーシングの適用を考慮すること。

15. その他の注意

15.1 臨床使用に基づく情報

本薬の経口投与により女性型乳房があらわれたとの報告がある。

16. 薬物動態

16.1 血中濃度

健康成人男子2ないし3名にベラパミル塩酸塩として2.5、5、10mg1)を単回静脈内投与した際、血漿中濃度は急速に低下し、投与後15分以内に最高血漿中濃度の1/21/4に低下した。半減期及び血漿中濃度曲線下面積(AUC)は下表のごとくである。また、ベラパミル及び代謝物の尿中排泄率は、24時間までに投与量の23.7%であった。

ベラパミル塩酸塩単回静脈内投与後の血漿中濃度
静注(4~5分間)後のベラパミルの半減期、AUC値

投与量

t1/2α(min)

t1/2β(min)

t1/2γ(hr)

AUC
(ng・hr/mL)

2.5mg

2.2

26.2

4.2

93.9

5.0mg

1.0±0.2

32.3±13.8

4.0±0.7

140.6±2.4

10.0mg1)

2.1±0.4

30.3±7.9

4.0±0.1

278.5±19.8

Mean±S.E., n=2~3

1) 本剤の承認された用法及び用量は、成人1回1管(ベラパミル塩酸塩として5mg)である。

16.4 代謝

ベラパミルの代謝酵素は主にCYP3A4であり、主要代謝物はN-脱メチル化されたノルベラパミルである1)

17. 臨床成績

17.1 有効性及び安全性に関する試験

  1. 17.1.1 有効率及び発作停止率

    二重盲検試験及び一般臨床試験における有効率は81.6%(288/353)である。疾患別の有効率及び発作停止率は下表のごとくである。

    有効率(%)

    発作停止率(%)

    二重盲検試験

    一般臨床試験

    二重盲検試験

    一般臨床試験

    発作性
    上室性頻拍

    93.5%
    (43/46)

    84.7%
    (194/229)

    76.1%
    (35/46)

    85.7%
    (84/98)

    発作性
    心房細動

    60.7%
    (17/28)

    66.7%
    (18/27)

    3.6%
    (1/28)

    12.5%
    (2/16)

    発作性
    心房粗動

    71.4%
    (5/7)

    68.8%
    (11/16)

    14.3%
    (1/7)

    25.0%
    (3/12)

    注) 一般臨床試験の停止率算出は、停止時間が明示されている症例のみを集計した2),3),4),5),6)

  2. 17.1.2 発作停止までの経過
    1. (1) 発作が停止した症例の静注開始から発作停止までの時間別分布は下表のごとくである。

      停止までの時間

      二重盲検試験

      一般臨床試験

      5分以下

      51.4%(19/37)

      65.2%(58/89)

      10分以下

      89.2%(33/37)

      87.6%(78/89)

      10分以上

      100.0%(37/37)
      (20分以内)

      100.0%(89/89)

    2. (2) 不整脈停止の過程で洞停止、一過性心停止、心室性期外収縮等の発現や心房細動、心房粗動への移行があらわれることがある7)

18. 薬効薬理

18.1 作用機序

細胞外液Ca++の細胞内流入阻止に基づくCa++拮抗作用である8)

18.2 Ca++流入を抑え、抗不整脈作用を示す。

モルモット及びウサギの摘出心筋を用いた実験において、slow channelを通るCa++の流入を抑制することが確認されている。
また、麻酔イヌを用いた実験で、特に房室結節に作用して房室伝導系の有効不応期、機能的不応期を延長させ、房室伝導を遅延させる9),10),11)

18.3 ノルアドレナリンや電気刺激による実験的不整脈を抑制する。

  1. 18.3.1 イヌ摘出心筋を用いた実験において、ノルアドレナリンの房室結節への局所投与によって誘発される上室性頻拍を消失又は著明に軽減する12)
  2. 18.3.2 麻酔イヌを用いた実験において、電気刺激によって誘発された心房細動時の心室レートを有意に減少させる11)

18.4 冠状動脈や末梢血管を拡張する。

イヌ摘出心筋や麻酔イヌを用いた実験において、冠状動脈を含む血管平滑筋の興奮-収縮連関を抑制し、冠血流量を増加し、末梢血管抵抗を減少する13),14)

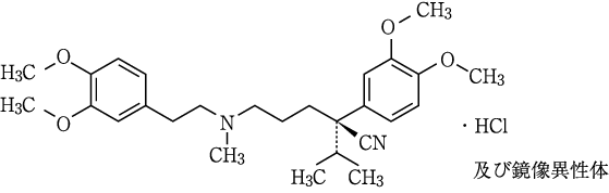
19. 有効成分に関する理化学的知見

一般的名称

ベラパミル塩酸塩(Verapamil Hydrochloride)

化学名

(2RS)-5-[(3, 4-Dimethoxyphenethyl)methylamino]-2-(3, 4-dimethoxyphenyl)-2-(1-methylethyl)pentanenitrile monohydrochloride

分子式

C27H38N2O4・HCl

分子量

491.06

性状

ベラパミル塩酸塩は白色の結晶性の粉末で、においはない。本品はメタノール、酢酸(100)又はクロロホルムに溶けやすく、エタノール(95)又は無水酢酸にやや溶けやすく、水にやや溶けにくく、ジエチルエーテルにほとんど溶けない。

化学構造式

融点

141~145℃

(別名)

塩酸イプロベラトリル

20. 取扱い上の注意

本剤は光により含量が低下することがあるので、容器は褐色アンプルを使用している。

22. 包装

2mL[アンプル 10管]

24. 文献請求先及び問い合わせ先

エーザイ株式会社 hhcホットライン

〒112-8088 東京都文京区小石川4-6-10

フリーダイヤル 0120-419-497

26. 製造販売業者等

26.1 製造販売元

エーザイ株式会社

東京都文京区小石川4-6-10

〒100-0013 東京都千代田区霞が関3-3-2 新霞が関ビル

画面を閉じる

Copyright © Pharmaceuticals and Medical Devices Agency, All Rights reserved.