医療用医薬品 詳細表示

ハイコバールカプセル500μg

処方せん医薬品以外の医薬品

添付文書番号
企業コード
作成又は改訂年月
日本標準商品分類番号
薬効分類名
承認等
一般的名称
3.組成・性状
3.1組成
3.2製剤の性状
4.効能又は効果
6.用法及び用量
9.特定の背景を有する患者に関する注意
9.7小児等
11.副作用
11.2その他の副作用
14.適用上の注意
16.薬物動態
16.1血中濃度
17.臨床成績
17.1有効性及び安全性に関する試験
18.薬効薬理
18.1作用機序
18.2神経再生の促進
18.3ヘム合成の促進に伴う、貧血血液像の改善
19.有効成分に関する理化学的知見
20.取扱い上の注意
22.包装
23.主要文献
24.文献請求先及び問い合わせ先
26.製造販売業者等

ハイコバールカプセル500μg

添付文書番号

3136001M2052_1_10

企業コード

170033

作成又は改訂年月

2022年12月改訂(第1版)

日本標準商品分類番号

873136

薬効分類名

補酵素型ビタミンB12

承認等

ハイコバールカプセル500μg

販売名コード

YJコード

3136001M2052

販売名英語表記

Hycobal capsules

販売名ひらがな

はいこばーるかぷせる500μg

承認番号等

承認番号

14200AZZ00267000

販売開始年月

1976年9月

貯法・有効期間

貯法

室温保存

有効期間

3年

一般的名称

コバマミド

3. 組成・性状

3.1 組成

ハイコバールカプセル500μg

有効成分1カプセル中
コバマミド   500μg
添加剤黄色5号、結晶セルロース、青色1号、赤色3号、ゼラチン、トウモロコシデンプン、ラウリル硫酸ナトリウム

3.2 製剤の性状

ハイコバールカプセル500μg

剤形硬カプセル
色調カプセル
上半分:赤色
下半分:橙色
内容物
わずかに紅色の粉末
外形
大きさ全長14.5mm
号数4
質量170mg
識別コードHB.50

4. 効能又は効果

  • (1)ビタミンB12欠乏症の予防及び治療
  • (2)ビタミンB12の需要が増大し、食事からの摂取が不十分な際の補給(消耗性疾患、甲状腺機能亢進症、妊産婦、授乳婦等)
  • (3)巨赤芽球性貧血
  • (4)広節裂頭条虫症
  • (5)悪性貧血に伴う神経障害
  • (6)吸収不全症候群(スプルー等)
  • (7)下記疾患のうち、ビタミンB12の欠乏又は代謝障害が関与すると推定される場合
    • ・栄養性及び妊娠性貧血
      ・胃切除後の貧血
      ・肝障害に伴う貧血
      ・放射線による白血球減少症
      ・神経痛
      ・末梢神経炎、末梢神経麻痺
      ・筋肉痛、関節痛
      ・中枢神経障害(脊髄炎、変性疾患等)
  • (7)の適応に対して、効果がないのに月余にわたって漫然と使用すべきでない。
    巨赤芽球性貧血、広節裂頭条虫症、悪性貧血に伴う神経障害、吸収不全症候群(スプルー等)及び胃切除後の貧血に対して用いる場合、経口投与によると吸収が悪いのでやむを得ぬ場合以外は注射によることが望ましい。

6. 用法及び用量

通常成人はコバマミドとして、1日1,500μg(3カプセル)までを1~3回に分けて経口投与する。
なお、年齢、症状により適宜増減する。

9. 特定の背景を有する患者に関する注意

9.7 小児等

小児等を対象とした臨床試験は実施していない。

11. 副作用

次の副作用があらわれることがあるので、観察を十分に行い、異常が認められた場合には投与を中止するなど適切な処置を行うこと。

11.2 その他の副作用

頻度不明

過敏症

発疹

14. 適用上の注意

14.1 薬剤交付時の注意

PTP包装の薬剤はPTPシートから取り出して服用するよう指導すること。PTPシートの誤飲により、硬い鋭角部が食道粘膜へ刺入し、更には穿孔をおこして縦隔洞炎等の重篤な合併症を併発することがある。

16. 薬物動態

16.1 血中濃度

健康成人男子5名に、本剤3カプセル(コバマミドとして1,500μg)を12週間反復経口投与し、投与中止後4週間の血清中総B12量の変動率を検討した。12週間反復投与後には投与前値の約2.3倍に上昇し、投与中止4週後でも投与前値の約1.8倍を示した1)

17. 臨床成績

17.1 有効性及び安全性に関する試験

  1. 17.1.1 国内臨床試験

    肝障害に伴う貧血患者に対して本剤を経口投与したところ、2週目から赤血球数が増加し、貧血の改善が認められた2)
    また、妊娠性貧血に対して本剤を鉄剤とともに経口投与したところ、血色素量が増加した3)
    なお、本剤はビタミンB12欠乏又は代謝障害の推定される各種疾患に応用されている。

18. 薬効薬理

18.1 作用機序

神経組織及び造血組織に作用し、核酸合成、蛋白合成を促進することにより赤血球の増殖、神経組織の修復を促進する。

18.2 神経再生の促進

ウサギの坐骨神経の実験的神経障害モデルで神経細胞内RNA蓄積に促進的に働き、電気生理学的検討において神経再生を促進する4)

18.3 ヘム合成の促進に伴う、貧血血液像の改善

ビタミンB12欠乏によって、特異な巨赤芽球性貧血が出現することはよく知られている。コバマミドはメチルマロニルイソメラーゼの補酵素として働き、メチルマロニルCoAをサクシニルCoAへ変換することによりヘム合成の前段階に関与する。サクシニルCoAはδ-アミノレブリン酸となり、ヘムの合成の出発物質となる。悪性貧血患者の骨髄細胞のミトコンドリア分画にコバマミドを加えるとδ-アミノレブリン酸の合成が高まる5),6)

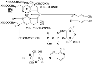
19. 有効成分に関する理化学的知見

一般的名称

コバマミド(Cobamamide)

化学名

5,6-dimethylbenzimidazolyl-5'-deoxyadenosylcobamide
(別名)5,6-dimethylbenzimidazolylcobamide coenzyme(DBCC)

分子式

C72H100CoN18O17P

分子量

1579.60

性状

コバマミドは暗赤色の結晶又は結晶性あるいは無晶性の粉末である。本品は水にやや溶けやすく、エタノール(95)に極めて溶けにくく、アセトン、ジエチルエーテル又はクロロホルムにほとんど溶けない。
本品は極めて吸湿性で光により分解する。

化学構造式

20. 取扱い上の注意

外箱開封後は光を遮り保存すること。含量が低下することがある。

22. 包装

100カプセル[10カプセル(PTP)×10]

24. 文献請求先及び問い合わせ先

エーザイ株式会社 hhcホットライン

〒112-8088 東京都文京区小石川4-6-10

フリーダイヤル 0120-419-497

26. 製造販売業者等

26.1 製造販売元

エーザイ株式会社

東京都文京区小石川4-6-10

〒100-0013 東京都千代田区霞が関3-3-2 新霞が関ビル

画面を閉じる

Copyright © Pharmaceuticals and Medical Devices Agency, All Rights reserved.