医療用医薬品 詳細表示

ブリディオン静注200mg/ブリディオン静注500mg

処方せん医薬品

添付文書番号
企業コード
作成又は改訂年月
日本標準商品分類番号
薬効分類名
承認等
一般的名称
2.禁忌(次の患者には投与しないこと)
3.組成・性状
3.1組成
3.2製剤の性状
4.効能又は効果
5.効能又は効果に関連する注意
6.用法及び用量
7.用法及び用量に関連する注意
8.重要な基本的注意
9.特定の背景を有する患者に関する注意
9.1合併症・既往歴等のある患者
9.2腎機能障害患者
9.3肝機能障害患者
9.5妊婦
9.6授乳婦
9.7小児等
9.8高齢者
10.相互作用
10.2併用注意(併用に注意すること)
11.副作用
11.1重大な副作用
11.2その他の副作用
12.臨床検査結果に及ぼす影響
14.適用上の注意
16.薬物動態
16.1血中濃度
16.3分布
16.4代謝
16.5排泄
16.6特定の背景を有する患者
17.臨床成績
17.1有効性及び安全性に関する試験
18.薬効薬理
18.1作用機序
19.有効成分に関する理化学的知見
20.取扱い上の注意
22.包装
23.主要文献
24.文献請求先及び問い合わせ先
26.製造販売業者等

ブリディオン静注200mg/ブリディオン静注500mg

添付文書番号

3929409A1023_1_13

企業コード

170050

作成又は改訂年月

2023年11月改訂(第2版)
2022年11月改訂(第1版)

日本標準商品分類番号

873929

薬効分類名

筋弛緩回復剤

承認等

ブリディオン静注200mg

販売名コード

YJコード

3929409A1023

販売名英語表記

BRIDION Intravenous 200mg

販売名ひらがな

ぶりでぃおん

承認番号等

承認番号

22200AMX00228000

販売開始年月

2010年4月

貯法・有効期間

貯法

室温保存

有効期間

3年

ブリディオン静注500mg

販売名コード

YJコード

3929409A2020

販売名英語表記

BRIDION Intravenous 500mg

販売名ひらがな

ぶりでぃおん

承認番号等

承認番号

22200AMX00229000

販売開始年月

2010年4月

貯法・有効期間

貯法

室温保存

有効期間

3年

一般的名称

スガマデクスナトリウム

2. 禁忌(次の患者には投与しないこと)

本剤の成分に対し過敏症の既往歴のある患者

3. 組成・性状

3.1 組成

ブリディオン静注200mg

有効成分(1バイアル中)
スガマデクスナトリウム   2mL中スガマデクスとして200mg
添加剤pH調節剤

ブリディオン静注500mg

有効成分(1バイアル中)
スガマデクスナトリウム   5mL中スガマデクスとして500mg
添加剤pH調節剤

3.2 製剤の性状

ブリディオン静注200mg

pH7~8
浸透圧比約1~2(生理食塩液に対する比)
性状無色~淡黄褐色澄明の液

ブリディオン静注500mg

pH7~8
浸透圧比約1~2(生理食塩液に対する比)
性状無色~淡黄褐色澄明の液

4. 効能又は効果

ロクロニウム臭化物又はベクロニウム臭化物による筋弛緩状態からの回復

5. 効能又は効果に関連する注意

本剤はロクロニウム臭化物又はベクロニウム臭化物以外の筋弛緩剤による筋弛緩状態からの回復に対しては使用しないこと。

6. 用法及び用量

通常、成人にはスガマデクスとして、浅い筋弛緩状態(筋弛緩モニターにおいて四連(TOF)刺激による2回目の収縮反応(T2)の再出現を確認した後)では1回2mg/kgを、深い筋弛緩状態(筋弛緩モニターにおいてポスト・テタニック・カウント(PTC)刺激による1~2回の単収縮反応(1-2PTC)の出現を確認した後)では1回4mg/kgを静脈内投与する。また、ロクロニウム臭化物の挿管用量投与直後に緊急に筋弛緩状態からの回復を必要とする場合、通常、成人にはスガマデクスとして、ロクロニウム臭化物投与3分後を目安に1回16mg/kgを静脈内投与する。

7. 用法及び用量に関連する注意

  1. 7.1 筋弛緩モニターによる確認ができない場合は、十分な自発呼吸の発現を確認した後はスガマデクスとして2mg/kgを投与すること。十分な自発呼吸の発現を確認する前のロクロニウム臭化物による筋弛緩に対してはスガマデクスとして4mg/kgを投与するが、筋弛緩状態からの回復が遅延することがあるため、患者の状態を十分に観察すること。なお、筋弛緩モニターによる確認ができない場合の自発呼吸の発現を確認する前のベクロニウム臭化物による筋弛緩に対する本剤の有効性及び安全性は確立されていない。
  2. 7.2 ベクロニウム臭化物の挿管用量投与直後に緊急に筋弛緩状態からの回復を必要とする場合の本剤の有効性及び安全性は確立していない。

8. 重要な基本的注意

  1. 8.1 筋弛緩及び筋弛緩の回復の程度を客観的に評価し、本剤を安全かつ適切に使用するために、筋弛緩モニターを可能な限り行うこと。
  2. 8.2 挿管困難が予測される患者に対しては、気道確保の方法について予め十分に検討を行い、緊急に筋弛緩状態からの回復を必要とする場合の本剤16mg/kgの投与は、必要最小限の使用に留めること。
  3. 8.3 自発呼吸が回復するまで必ず調節呼吸を行うこと(ガス麻酔器又は人工呼吸器を使用すること)。
  4. 8.4 *筋弛緩作用の残存による呼吸抑制、誤嚥等の合併症を防止するため、患者の筋弛緩が十分に回復したことを確認した後に抜管すること。また、抜管後も筋弛緩作用の再発が起きるおそれがあるので患者の観察を十分に行うこと。
  5. 8.5 維持麻酔中に本剤を投与すると、浅麻酔となっている場合には、四肢や体幹の動き、バッキングなどが起こることがあるので、必要に応じて麻酔薬又はオピオイドを追加投与すること。
  6. 8.6 手術後にロクロニウム臭化物及びベクロニウム臭化物の筋弛緩作用を増強する薬剤を併用する際は筋弛緩の再発に注意し、筋弛緩の再発が発現した場合は、人工呼吸など適切な処置を行うこと。
  7. 8.7 本剤の投与後に筋弛緩剤を再投与する必要が生じた場合、再投与する筋弛緩剤の作用発現時間の遅延が認められるおそれがあるので、患者の状態を十分に観察しながら慎重に投与すること1),2)
  8. 8.8 本剤投与後数分以内に心室細動、心室頻拍、心停止、高度徐脈があらわれることがあるので、循環動態の観察を十分に行うこと。

9. 特定の背景を有する患者に関する注意

9.1 合併症・既往歴等のある患者

  1. 9.1.1 心拍出量の低下のある患者

    筋弛緩からの回復が遅延するおそれがある。

  2. 9.1.2 浮腫性疾患の患者

    筋弛緩からの回復が遅延するおそれがある。

  3. 9.1.3 アレルギー素因のある患者
  4. 9.1.4 呼吸器疾患の既往歴のある患者

    気管支痙攣を起こすおそれがある。

  5. 9.1.5 血液凝固障害を伴う患者

    健康成人を対象とした海外試験において活性化部分トロンボプラスチン時間又はプロトロンビン時間の一過性の延長が認められている3)

9.2 腎機能障害患者

本剤は腎排泄されるため、排泄が遅延するおそれがある。

9.3 肝機能障害患者

肝機能障害患者を対象とした臨床試験は実施していない。

9.5 妊婦

妊婦又は妊娠している可能性のある女性には治療上の有益性が危険性を上回ると判断される場合にのみ投与すること。

9.6 授乳婦

治療上の有益性及び母乳栄養の有益性を考慮し、授乳の継続又は中止を検討すること。動物実験(ラット)で乳汁中に移行することが報告されている4)

9.7 小児等

国内において、小児等を対象とした臨床試験は実施していない5)

9.8 高齢者

筋弛緩からの回復が遅延するおそれがある。外国の臨床試験において、高齢者で回復時間がわずかに遅延する傾向が認められた。

10. 相互作用

    10.2 併用注意(併用に注意すること)

    薬剤名等臨床症状・措置方法機序・危険因子

    トレミフェン

    筋弛緩状態からの回復の遅延又は筋弛緩の再発が生じるおそれがあるので、本剤投与後6時間以降に投与すること。

    本剤に包接されたロクロニウム臭化物又はベクロニウム臭化物と置換し、ロクロニウム臭化物又はベクロニウム臭化物の血中濃度が上昇することがある。

    経口避妊剤

    • ノルエチステロン・エチニルエストラジオール等

    経口避妊剤の作用が減弱することがある。経口避妊剤服用当日に本剤が投与された場合は飲み忘れた場合と同様の措置を講じること。

    本剤と包接体を形成し、経口避妊剤の血中濃度が低下することがある。

    抗凝固剤

    • ワルファリン等

    本剤との併用により、抗凝固作用が増強されるおそれがあるので、患者の状態を観察するとともに血液凝固に関する検査値に注意すること。

    作用機序は不明であるが、海外試験において、本剤4mg/kgと抗凝固剤の併用中に活性化部分トロンボプラスチン時間(APTT)又はプロトロンビン時間(PT)の軽度で一過性の延長が認められている。

    11. 副作用

    次の副作用があらわれることがあるので、観察を十分に行い、異常が認められた場合には投与を中止するなど適切な処置を行うこと。

    11.1 重大な副作用

    1. 11.1.1 ショック、アナフィラキシー(いずれも頻度不明)

      潮紅、蕁麻疹、紅斑性皮疹、喘鳴、血圧低下、頻脈、舌腫脹、咽頭浮腫等を起こすことがある。

      注)外国人健康成人に本剤を非麻酔下で投与したとき、アナフィラキシーを含む過敏反応は16mg/kg投与群で14/148例(9.5%)、4mg/kg投与群で10/151例(6.6%)認められた。

    2. 11.1.2 心室細動、心室頻拍、心停止、高度徐脈(いずれも頻度不明)

    3. 11.1.3 冠動脈攣縮(頻度不明)
    4. 11.1.4 気管支痙攣(0.3%未満)

    11.2 その他の副作用

    1~5%未満

    1%未満

    頻度不明

    消化器

    悪心、嘔吐

    精神神経系

    浮動性めまい、味覚異常

    循環器

    頻脈、徐脈、高血圧、低血圧

    呼吸器

    咳嗽

    泌尿器

    β-N-アセチル-D-グルコサミニダーゼ増加、尿中アルブミン陽性、尿中β2-ミクログロブリン増加

    骨格筋・結合組織

    筋力低下

    過敏症

    潮紅、そう痒、発疹

    その他

    悪寒、体動

    12. 臨床検査結果に及ぼす影響

    血清中プロゲステロンの測定値が見かけ上低値を示すことがあるので注意すること6)

    14. 適用上の注意

    14.1 薬剤投与時の注意

    他の薬剤と併用する場合には、別々の投与経路で使用するか、又は同一点滴回路を使用する場合は回路内を生理食塩水等の中性溶液を用いて洗浄するなど混合しないようにすること。なお、オンダンセトロン塩酸塩水和物、ベラパミル塩酸塩及びラニチジン塩酸塩との混合において、配合変化が報告されている。

    16. 薬物動態

    16.1 血中濃度

    日本人健康成人に本剤を非麻酔下で単回静脈内投与したときの薬物動態パラメータ及び血漿中未変化体濃度推移は表1及び図のとおりであった7)

    表1 単回静脈内投与後の薬物動態パラメータ

    投与量
    (mg/kg)

    症例数

    AUC0-∞
    (μg・min/mL)

    CL
    (mL/min)

    Vss
    (mL)

    t1/2
    (min)

    1

    14

    561
    [14.2]

    106
    [16.7]

    12,071
    [13.5]

    107
    [13.9]

    8

    14

    4,604
    [10.0]

    103
    [9.02]

    11,799
    [15.5]

    132
    [17.5]

    16

    14

    9,670
    [13.5]

    98.4
    [15.5]

    11,370
    [15.0]

    143
    [22.5]

    幾何平均値[幾何CV(%)]

    図 単回静脈内投与後の血漿中未変化体濃度推移

    16.3 分布

    1. 16.3.1 血漿タンパク及び赤血球への結合

      スガマデクスは、ヒト血漿タンパク(薬物濃度:0~125μM)及び赤血球(薬物濃度:0~250μM)と結合しない8),9)in vitro)。

    16.4 代謝

    健康成人6例に14C-スガマデクスナトリウム4mg/kgを非麻酔下で単回静脈内投与したとき、血漿中放射能の99.9%が未変化体であった10)(外国人データ)。

    16.5 排泄

    健康成人6例に14C-スガマデクスナトリウム4mg/kgを非麻酔下で単回静脈内投与したとき、投与放射能の約90%が投与24時間以内に尿中に排泄された10)(外国人データ)。

    16.6 特定の背景を有する患者

    1. 16.6.1 腎機能障害患者

      重度腎機能障害患者(クレアチニンクリアランス30mL/min未満、透析患者を含む)又は腎機能正常患者(クレアチニンクリアランス80mL/min以上)に麻酔下で本剤2mg/kgを単回静脈内投与したときの薬物動態パラメータは表2のとおりであった11)。別の試験において、重度腎機能障害患者(クレアチニンクリアランス30mL/min未満)、中等度腎機能障害患者(クレアチニンクリアランス30~50mL/min)又は腎機能正常患者(クレアチニンクリアランス80mL/min以上)に非麻酔下で本剤4mg/kgを単回静脈内投与したときの薬物動態パラメータは表2のとおりであった(外国人データ)。

      表2 腎機能障害患者又は腎機能正常患者に単回静脈内投与したときの薬物動態パラメータ

      投与量
      (mg/kg)

      腎機能障害の程度

      症例数

      AUC0-∞
      (μg・min/mL)

      CL
      (mL/min)

      Vss
      (mL)

      t1/2
      (min)

      2

      腎機能正常患者

      13

      1,728
      [34.8]

      95.2
      [22.1]

      13,800
      [20.5]

      139
      [44.4]

      重度腎機能障害患者1)

      13

      27,463
      [114]

      5.53
      [108]

      15,986
      [35.5]

      2,139
      [121]

      4

      腎機能正常患者

      6

      3,750
      [20.3]

      95.0
      [16.0]

      14,149
      [20.4]

      149
      [13.5]

      中等度腎機能障害患者

      6

      9,058
      [37.4]

      37.8
      [39.6]

      15,938
      [21.9]

      344
      [29.8]

      重度腎機能障害患者

      6

      20,312
      [21.7]

      16.0
      [26.8]

      15,071
      [19.7]

      794
      [35.5]

      幾何平均値[幾何CV(%)]

      1) 透析患者9例を含む

      臨床試験において、本剤の血漿中濃度はhigh-flux膜による平均6時間の透析により約70%減少した。low-flux膜では本剤は除去されなかった。

    17. 臨床成績

    17.1 有効性及び安全性に関する試験

    1. 17.1.1 国内外第Ⅱ相試験

      各科領域手術患者(ASA分類Class 1~3)に、非盲検下でロクロニウム臭化物0.9mg/kg又はベクロニウム臭化物0.1mg/kgを静脈内投与した後、筋弛緩モニターにおける四連(TOF)刺激による2回目の収縮反応(T2)の再出現時に本剤2.0mg/kgを、またポスト・テタニック・カウント(PTC)刺激による1~2回の単収縮反応(1-2PTC)の出現時に本剤4.0mg/kgを単回静脈内投与したとき、本剤投与開始からTOF比(T4/T1の比)0.9に回復するまでの時間は表1のとおりであり、ロクロニウム臭化物投与後の本剤による筋弛緩状態からの回復時間は、ベクロニウム臭化物投与後と比較して早い傾向が認められた12),13),14),15)

      表1 国内外第Ⅱ相試験成績

      本剤投与時の筋弛緩状態

      筋弛緩剤の種類

      本剤投与量

      人種

      投与開始からTOF比(T4/T1の比)
      0.9に回復するまでの時間(平均値±標準偏差、PPS)

      浅い筋弛緩
      (T2再出現時)

      ロクロニウム臭化物

      2.0mg/kg

      日本人

      2.2±1.2分
      (n=7)

      白人

      1.4±0.5分
      (n=9)

      ベクロニウム臭化物

      2.0mg/kg

      日本人

      2.8±0.8分
      (n=6)

      白人

      3.4±1.9分
      (n=7)

      深い筋弛緩
      (1-2PTC出現時)

      ロクロニウム臭化物

      4.0mg/kg

      日本人

      1.6±0.9分
      (n=11)

      白人

      1.6±0.7分
      (n=10)

      ベクロニウム臭化物

      4.0mg/kg

      日本人

      3.0±2.4分
      (n=10)

      白人

      3.3±3.5分
      (n=8)

      浅い筋弛緩(T2再出現時)に本剤2.0mg/kgを投与した群(日本人n=19)で報告された副作用は尿中アルブミン陽性、β2ミクログロブリン増加、血中ビリルビン増加(各n=1)だった。
      深い筋弛緩(1-2PTC出現時)に本剤4.0mg/kgを投与した群(日本人n=21)で報告された副作用は口渇(n=2)、味覚異常(n=1)だった。

    2. 17.1.2 海外第Ⅲ相試験
      1. (1) 各科領域手術患者(ASA分類Class 1~4)に、非盲検下でロクロニウム臭化物0.6mg/kg又はベクロニウム臭化物0.1mg/kgを静脈内投与した後、筋弛緩モニターにおける四連(TOF)刺激による2回目の収縮反応(T2)の再出現時に本剤2.0mg/kg又はネオスチグミンメチル硫酸塩50μg/kgを、またポスト・テタニック・カウント(PTC)刺激による1~2回の単収縮反応(1-2PTC)の出現時に本剤4.0mg/kg又はネオスチグミンメチル硫酸塩70μg/kgを単回静脈内投与したとき、本剤又はネオスチグミンメチル硫酸塩投与開始からTOF比(T4/T1の比)0.9に回復するまでの時間は表2のとおりであり、本剤による回復時間はネオスチグミンメチル硫酸塩と比較して有意に早かった(p<0.0001、回復時間の対数変換値を用いて治療群及び施設を因子とした二元配置分散分析)16)
        表2 海外第Ⅲ相試験成績

        本剤投与時の筋弛緩状態

        筋弛緩剤の種類

        投与群

        投与開始からTOF比(T4/T1の比)
        0.9に回復するまでの時間(幾何平均値2)、ITT)

        浅い筋弛緩
        (T2再出現時)

        ロクロニウム臭化物

        本剤

        1.5分(n=48)

        ネオスチグミンメチル硫酸塩

        18.5分(n=48)

        ベクロニウム臭化物

        本剤

        2.8分(n=48)

        ネオスチグミンメチル硫酸塩

        16.8分(n=45)

        深い筋弛緩
        (1-2PTC出現時)

        ロクロニウム臭化物

        本剤

        2.9分(n=37)

        ネオスチグミンメチル硫酸塩

        50.4分(n=37)

        ベクロニウム臭化物

        本剤

        4.5分(n=47)

        ネオスチグミンメチル硫酸塩

        66.2分(n=36)

        2) 欠測値を補完した場合

        浅い筋弛緩(T2再出現時)に本剤2.0mg/kgを投与した群(n=96)で報告された主な副作用は悪心、嘔吐、処置による高血圧(各n=4)だった。
        深い筋弛緩(1-2PTC出現時)に本剤4.0mg/kgを投与した群(n=83)で報告された主な副作用は悪心(n=5)だった。

      2. (2) 各科領域手術患者(ASA分類Class 1~2)に、非盲検下でロクロニウム臭化物1.2mg/kgを静脈内投与した3分後に本剤16.0mg/kgを静脈内投与したときのロクロニウム臭化物投与後からT1が10%に回復するまでの時間(平均値±標準偏差)は4.4±0.7分(n=55)であり、スキサメトニウム塩化物水和物1.0mg/kgを静脈内投与後からT1が10%に回復するまでの時間(平均値±標準偏差)7.1±1.6分(n=55)と比較して有意に早かった(p<0.0001、回復時間の対数変換値を用いて治療群及び施設を因子とした二元配置分散分析)17)
        本剤16.0mg/kgを投与した群(n=56)で報告された主な副作用は処置合併症(n=4)だった。
    3. 17.1.3 海外第Ⅲ相試験(高齢者)

      各科領域手術を受ける高齢患者及び非高齢患者(ASA分類Class 1~3)に、非盲検下でロクロニウム臭化物0.6mg/kgを静脈内投与した後、筋弛緩モニターにおける四連(TOF)刺激によるT2再出現時に本剤2.0mg/kgを単回静脈内投与したとき、本剤投与開始からTOF比(T4/T1の比)0.9に回復するまでの時間(平均値±標準偏差)は、非高齢者群(18~64歳)で2.5±1.3分(n=48)、65~74歳群で2.9±1.6分(n=62)、75歳以上群で3.9±1.7分(n=40)であった18)
      本剤2.0mg/kgを投与した65~74歳群(n=62)で報告された副作用は頻脈、発熱、処置による低血圧、浮動性めまい、乏尿(各n=1)だった。本剤2.0mg/kgを投与した75歳以上群は副作用の報告がなかった。

    4. 17.1.4 海外第Ⅲ相試験(腎機能障害患者)

      各科領域手術を受ける重度腎機能障害患者(クレアチニンクリアランス30mL/min未満)又は腎機能正常患者(クレアチニンクリアランス80mL/min以上)に、非盲検下でロクロニウム臭化物0.6mg/kgを静脈内投与した後、筋弛緩モニターにおける四連(TOF)刺激によるT2再出現時に本剤2.0mg/kgを、またポスト・テタニック・カウント(PTC)刺激による1~2回の単収縮反応(1-2PTC)の出現時に本剤4.0mg/kgを単回静脈内投与したとき、本剤投与開始からTOF比(T4/T1の比)0.9に回復するまでの時間は表3のとおりであった19),20)

      表3 海外第Ⅲ相試験成績(腎機能障害患者)

      本剤投与時の筋弛緩状態

      本剤投与量

      投与開始からTOF比(T4/T1の比)
      0.9に回復するまでの時間

      浅い筋弛緩
      (T2再出現時)

      2.0mg/kg

      腎機能正常患者
      (ASA分類Class 1~2)

      1.7±0.6分3)
      (n=14、PP)

      重度腎機能障害患者
      (ASA分類Class 2~3)

      2.0±0.7分3)
      (n=15、PP)

      深い筋弛緩
      (1-2PTC出現時)

      4.0mg/kg

      腎機能正常患者
      (ASA分類Class 1~3)

      1.9分4)
      (n=32、ITT)

      重度腎機能障害患者
      (ASA分類Class 2~3)

      3.4分4)
      (n=35、ITT)

      3) 平均値±標準偏差

      4) 幾何平均値、欠測値を補完した場合

      浅い筋弛緩(T2再出現時)に本剤2.0mg/kgを投与した腎機能正常患者群(n=15)で報告された副作用は下痢、悪心、麻酔合併症、酸素飽和度低下(各n=1)だった。
      浅い筋弛緩(T2再出現時)に本剤2.0mg/kgを投与した重度腎機能障害患者群(n=15)で報告された副作用は下痢、麻酔合併症、頭痛(各n=1)だった。

    18. 薬効薬理

    18.1 作用機序

    スガマデクスナトリウムは、γ-シクロデキストリンを修飾した選択的筋弛緩剤結合剤である。血漿中で筋弛緩剤のロクロニウム臭化物又はベクロニウム臭化物と包接体を形成し、神経筋接合部のニコチン受容体と結合可能な筋弛緩剤の濃度を減少させる。この結果、ロクロニウム臭化物又はベクロニウム臭化物による筋弛緩作用が阻害される。

    18.2 筋弛緩剤との親和性

    スガマデクスナトリウムは、ステロイド系筋弛緩剤であるロクロニウム臭化物及びベクロニウム臭化物に対して非常に高い親和性を示した(結合定数はそれぞれ15.1及び8.8×106M-1)が、スキサメトニウム塩化物水和物に対する親和性は認められなかった21)

    18.3 筋弛緩回復作用

    1. 18.3.1 ロクロニウム臭化物又はベクロニウム臭化物がスガマデクスナトリウムに包接されることにより、筋弛緩剤の作用が阻害され、筋弛緩状態からの回復が得られる。In vitro試験において、スガマデクスナトリウムは、ロクロニウム臭化物及びベクロニウム臭化物による筋弛緩を回復させた22)
    2. 18.3.2 ロクロニウム臭化物又はベクロニウム臭化物の持続注入により、サル拇指内転筋のTOF反応の最初の反応T1が90%抑制される筋弛緩状態に維持し、持続注入の停止後に自然回復させた場合と、460nmol/kgのスガマデクスナトリウムを投与した場合の、TOF比(T4/T1の比)0.9に回復するまでの時間を比較した。TOF比(T4/T1の比)0.9に回復するまでの時間は、ロクロニウム臭化物による筋弛緩に対して、自然回復で14.5±1.1分、本剤投与後1.9±0.5分(平均値±標準誤差、n=4)であった。また、ベクロニウム臭化物による筋弛緩に対して、自然回復で23.1±1.8分、本剤投与後4.4±0.6分(n=4)であった23)
    3. 18.3.3 サルにED90(単収縮高を90%抑制する用量)の5倍用量のロクロニウム臭化物(800nmol/kg)又はベクロニウム臭化物(70nmol/kg)を投与し、拇指内転筋に深い筋弛緩を引き起こした後、生理食塩水又は1,150nmol/kg(ロクロニウム臭化物の約1.4倍、ベクロニウム臭化物の約16.4倍の濃度)のスガマデクスナトリウムを投与した(n=4)。ロクロニウム臭化物による筋弛緩に対し、TOF比(T4/T1の比)0.9に回復するまでの時間は、生理食塩水投与後28.2±3.4分(平均値±標準誤差)であったのに対し、本剤投与後7.9±1.8分と有意に短縮した。一方、ベクロニウム臭化物による筋弛緩に対し、TOF比(T4/T1の比)0.9に回復するまでの時間は、生理食塩水投与後49.0±4.7分であったのに対し、本剤投与後48.6±8.3分であった24)

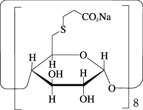
    19. 有効成分に関する理化学的知見

    一般的名称

    スガマデクスナトリウム(Sugammadex Sodium)

    化学名

    Cyclooctakis-(1→4)-{6-S-[2-(sodium carboxylato)ethyl]-6-thio-α-D-glucopyranosyl}

    分子式

    C72H104O48S8Na8

    分子量

    2178.01

    性状

    白色の粒又は粉末である。水に極めて溶けやすく、メタノール、エタノール(99.5)又はアセトニトリルにほとんど溶けない。

    化学構造式

    20. 取扱い上の注意

    外箱開封後は遮光して保存すること。

    22. 包装

    • ブリディオン静注200mg
      • 1バイアル(2mL)×10
    • ブリディオン静注500mg
      • 1バイアル(5mL)×10

    23. 主要文献

    1) 社内資料:筋弛緩剤(ロクロニウム臭化物)再投与時に関する検討(2010年1月20日承認、CTD 2.7.6.8)

    2) 社内資料:本剤投与後のスキサメトニウム塩化物水和物の作用(2010年1月20日承認、CTD 2.6.2.2)

    3) 社内資料:血液凝固パラメータへの影響(2010年1月20日承認、CTD 2.7.6.9)

    4) 社内資料:ラット乳汁排泄試験(2010年1月20日承認、CTD 2.6.4.6)

    5) Plaud B, et al. Anesthesiology. 2009;110:284-94.

    6) 社内資料:臨床化学検査に及ぼす影響(2010年1月20日承認、CTD 2.7.2.2)

    7) 社内資料:日本人単回投与試験(2010年1月20日承認、CTD 2.7.6.11)

    8) 社内資料:血漿タンパクへの結合(2010年1月20日承認、CTD 2.6.4.4)

    9) 社内資料:赤血球への結合(2010年1月20日承認、CTD 2.6.4.4)

    10) Peeters P, et al. Biopharm Drug Dispos. 2011;32:159-67.

    11) Staals LM, et al. Br J Anaesth. 2010;104:31-9.

    12) 社内資料:日本人を対象としたT2再出現時投与におけるブリッジング試験(2010年1月20日承認、CTD 2.7.6.19)

    13) Pühringer FK, et al. Br J Anaesth. 2010;105:610-9.

    14) 社内資料:日本人を対象とした1-2PTC時投与におけるブリッジング試験(2010年1月20日承認、CTD 2.7.6.20)

    15) Duvaldestin P, et al. Anesth Analg. 2010;110:74-82.

    16) Jones RK, et al. Anesthesiology. 2008;109:816-24.

    17) Lee C, et al. Anesthesiology. 2009;110:1020-5.

    18) McDonagh DL, et al. Anesthesiology. 2011;114:318-29.

    19) Staals LM, et al. Br J Anaesth. 2008;101:492-7.

    20) Panhuizen IF, et al. Br J Anaesth. 2015;114:777-84.

    21) 社内資料:等温マイクロカロリメトリー法による結合親和性(2010年1月20日承認、CTD 2.6.2.2)

    22) Zhang MQ. Drugs Fut. 2003;28:347-54.

    23) Egmond J, et al. Eur J Anaesthesiol. 2001;18:100.

    24) 社内資料:ロクロニウム臭化物及びベクロニウム臭化物による深い筋弛緩からの回復(2010年1月20日承認、CTD 2.6.2.2)

    24. 文献請求先及び問い合わせ先

    MSD株式会社 MSDカスタマーサポートセンター

    東京都千代田区九段北1-13-12

    医療関係者の方:フリーダイヤル 0120-024-961

    26. 製造販売業者等

    26.1 製造販売元

    MSD株式会社

    東京都千代田区九段北1-13-12

    〒100-0013 東京都千代田区霞が関3-3-2 新霞が関ビル

    画面を閉じる

    Copyright © Pharmaceuticals and Medical Devices Agency, All Rights reserved.