医療用医薬品 詳細表示

ウェリレグ錠40mg

処方せん医薬品

添付文書番号
企業コード
作成又は改訂年月
日本標準商品分類番号
薬効分類名
承認等
一般的名称
1.警告
2.禁忌(次の患者には投与しないこと)
3.組成・性状
3.1組成
3.2製剤の性状
4.効能又は効果
5.効能又は効果に関連する注意
6.用法及び用量
7.用法及び用量に関連する注意
8.重要な基本的注意
9.特定の背景を有する患者に関する注意
9.1合併症・既往歴等のある患者
9.3肝機能障害患者
9.4生殖能を有する者
9.5妊婦
9.6授乳婦
9.7小児等
10.相互作用
10.2併用注意(併用に注意すること)
11.副作用
11.1重大な副作用
11.2その他の副作用
14.適用上の注意
15.その他の注意
15.1臨床使用に基づく情報
16.薬物動態
16.1血中濃度
16.2吸収
16.3分布
16.4代謝
16.5排泄
16.6特定の背景を有する患者
16.7薬物相互作用
17.臨床成績
17.1有効性及び安全性に関する試験
18.薬効薬理
18.1作用機序
19.有効成分に関する理化学的知見
21.承認条件
22.包装
24.文献請求先及び問い合わせ先
25.保険給付上の注意
26.製造販売業者等

ウェリレグ錠40mg

添付文書番号

4291094F1020_1_01

企業コード

170050

作成又は改訂年月

2025年8月改訂(第2版)
2025年6月作成(第1版)

日本標準商品分類番号

874291

薬効分類名

─抗悪性腫瘍剤─
HIF-2α阻害剤

承認等

ウェリレグ錠40mg

販売名コード

YJコード

4291094F1020

販売名英語表記

WELIREG Tablets 40mg

販売名ひらがな

うぇりれぐ

承認番号等

承認番号

30700AMX00100000

販売開始年月

2025年8月

貯法・有効期間

貯法

室温保存

有効期間

48箇月

一般的名称

ベルズチファン錠

1. 警告

本剤は、緊急時に十分対応できる医療施設において、がん化学療法に十分な知識・経験を持つ医師のもとで、本剤の使用が適切と判断される症例についてのみ投与すること。また、治療開始に先立ち、患者又はその家族に本剤の有効性及び危険性を十分説明し、同意を得てから投与すること。

2. 禁忌(次の患者には投与しないこと)

本剤の成分に対し過敏症の既往歴のある患者

3. 組成・性状

3.1 組成

ウェリレグ錠40mg

有効成分ベルズチファン   1錠中に40mg
添加剤ヒプロメロース酢酸エステルコハク酸エステル、結晶セルロース、D-マンニトール、クロスカルメロースナトリウム、軽質無水ケイ酸、ステアリン酸マグネシウム、ポリビニルアルコール(部分けん化物)、酸化チタン、マクロゴール4000、タルク、青色2号アルミニウムレーキ

3.2 製剤の性状

ウェリレグ錠40mg

剤形楕円形のフィルムコーティング錠
色調青色
外形表面
裏面
側面
大きさ長径約13.6mm
短径約8.4mm
厚さ約5.6mm
識別コード177

4. 効能又は効果

  • フォン・ヒッペル・リンドウ病関連腫瘍
  • がん化学療法後に増悪した根治切除不能又は転移性の腎細胞癌

5. 効能又は効果に関連する注意

  • 〈フォン・ヒッペル・リンドウ病関連腫瘍〉
    1. 5.1 フォン・ヒッペル・リンドウ病と診断された患者に投与すること。
    2. 5.2 臨床試験に組み入れられた患者の腫瘍の状態等について、「17. 臨床成績」の項の内容を熟知し、本剤の有効性及び安全性を十分に理解した上で、適応患者の選択を行うこと。
    3. 5.3 本剤の術後補助療法における有効性及び安全性は確立していない。
  • 〈がん化学療法後に増悪した根治切除不能又は転移性の腎細胞癌〉
    1. 5.4 臨床試験に組み入れられた患者の病理組織型等について、「17. 臨床成績」の項の内容を熟知し、本剤の有効性及び安全性を十分に理解した上で、適応患者の選択を行うこと。
    2. 5.5 本剤の術後補助療法における有効性及び安全性は確立していない。
    3. 5.6 PD-1/PD-L1阻害剤及びVEGF受容体チロシンキナーゼ阻害剤による治療歴のない患者に対する本剤の有効性及び安全性は確立していない。

6. 用法及び用量

通常、成人には、ベルズチファンとして、1日1回120mgを経口投与する。なお、患者の状態により適宜減量する。

7. 用法及び用量に関連する注意

  1. 7.1 他の抗悪性腫瘍剤との併用について、有効性及び安全性は確立していない。
  2. 7.2 本剤投与により副作用が発現した場合には、下表を参考に、本剤を休薬、減量又は中止すること。減量する場合には、用量を40mg(1段階)ずつ減量すること。,,,
    副作用に対する休薬、減量及び中止の目安

    副作用

    程度1)

    処置

    貧血

    Grade 3

    Grade 2以下に回復するまで休薬し、回復後に、同一用量又は1段階減量して再開できる。
    重症度及び持続性に応じて投与中止を検討する。

    Grade 4

    Grade 2以下に回復するまで休薬し、回復後に、1段階減量して再開できる。
    再発した場合は投与を中止する。

    低酸素症

    Grade 3かつ無症候性

    患者の状態により投与を継続できる。休薬する場合には、Grade 2以下に回復するまで休薬し、回復後に、1段階減量して再開できる。
    重症度及び持続性に応じて投与を中止する。

    Grade 3かつ症候性

    Grade 2以下に回復するまで休薬し、回復後に、1段階減量して再開できる。
    重症度及び持続性に応じて投与を中止する。

    Grade 4

    投与を中止する。

    上記以外の副作用

    Grade 3

    Grade 2以下に回復するまで休薬し、回復後に、1段階減量して再開できる。
    再発した場合は投与を中止する。

    Grade 4

    投与を中止する。

    1) GradeはNCI-CTCAE(Common Terminology Criteria for Adverse Events)v5.0に準じる。

8. 重要な基本的注意

  1. 8.1 エリスロポエチン(EPO)減少に伴う貧血があらわれることがあるので、本剤投与開始前及び投与期間中は血液検査(ヘモグロビン値測定等)を定期的に行い、患者の状態を十分観察すること。,
  2. 8.2 低酸素症があらわれることがあるので、本剤投与開始前及び投与期間中は動脈血酸素飽和度(SpO2)を定期的に測定すること。,

9. 特定の背景を有する患者に関する注意

9.1 合併症・既往歴等のある患者

  1. 9.1.1 呼吸器疾患のある患者又はその既往歴のある患者

    低酸素症が発現又は増悪する可能性がある。

9.3 肝機能障害患者

  1. 9.3.1 中等度以上の肝機能障害(Child-Pugh分類B又はC)のある患者

    本剤の減量を考慮するとともに、患者の状態をより慎重に観察し、副作用の発現に十分注意すること。本剤の血中濃度が上昇することがあり、副作用の発現割合や重症度が高くなるおそれがある。なお、重度肝機能障害患者を対象とした臨床試験は実施していない。

9.4 生殖能を有する者

  1. 9.4.1 妊娠する可能性のある女性には、本剤投与中及び最終投与後1週間において避妊する必要性及び適切な避妊法について説明すること。経口避妊薬による避妊法の場合には、経口避妊薬以外の方法をあわせて使用するよう指導すること。,
  2. 9.4.2 男性には、本剤投与中及び最終投与後1週間においてバリア法(コンドーム)を用いて避妊する必要性について説明すること。
  3. 9.4.3 生殖可能な男性に投与する場合には、造精機能の低下により男性の生殖機能に影響を及ぼす可能性があることを考慮すること。ラットを用いた反復投与毒性試験において、臨床曝露量(AUC)を下回る曝露量で精巣の非可逆的な萎縮及び変性並びに精子減少が認められた。

9.5 妊婦

妊婦又は妊娠している可能性のある女性には、投与しないことが望ましい。ラットを用いた胚・胎児発生試験において、臨床曝露量(AUC)を下回る曝露量で胚・胎児死亡、胎児体重の減少及び胎児の骨格異常が認められた。,,

9.6 授乳婦

授乳しないことが望ましい。本剤が乳汁に移行する可能性があり、乳児が乳汁を介して本剤を摂取した場合、乳児に重篤な副作用が発現するおそれがある。

9.7 小児等

小児等を対象とした臨床試験は実施していない。

10. 相互作用

  • 本剤は主にウリジン5’-二リン酸グルクロン酸転移酵素(UGT)2B17及びCYP2C19により代謝される。また、本剤はCYP3Aを誘導する。

10.2 併用注意(併用に注意すること)

薬剤名等臨床症状・措置方法機序・危険因子

CYP2C19阻害剤

  • フルコナゾール
  • フルボキサミン
  • チクロピジン等

本剤の副作用が増強するおそれがあるため、患者の状態を慎重に観察し、副作用の発現に十分注意すること。

これらの薬剤がCYP2C19を阻害することにより、本剤の血中濃度が上昇する可能性がある。

UGT2B17阻害剤

  • イマチニブ等

本剤の副作用が増強するおそれがあるため、患者の状態を慎重に観察し、副作用の発現に十分注意すること。

これらの薬剤がUGT2B17を阻害することにより、本剤の血中濃度が上昇する可能性がある。

CYP3Aの基質となる薬剤

  • フェンタニル
  • ミダゾラム
  • 経口避妊薬(ノルエチステロン・エチニルエストラジオール等)等

,

これらの薬剤の有効性が減弱するおそれがある。

本剤がCYP3Aを誘導することにより、これらの薬剤の血中濃度が低下する可能性がある。

11. 副作用

次の副作用があらわれることがあるので、観察を十分に行い、異常が認められた場合には投与を中止するなど適切な処置を行うこと。

11.1 重大な副作用

  1. 11.1.1 貧血(74.4%)

    EPO減少に伴い貧血があらわれることがある。必要に応じて輸血や赤血球造血刺激因子製剤の投与を検討すること。,

  2. 11.1.2 低酸素症(10.4%)

    ,

11.2 その他の副作用

10%以上

1~10%未満

1%未満

血液及びリンパ系障害

血小板減少症、血小板数減少、リンパ球数減少、好中球数減少

白血球数減少、好中球減少症、ヘマトクリット減少、赤血球数減少、網状赤血球数減少

心臓障害

動悸

耳及び迷路障害

耳鳴

眼障害

霧視、ドライアイ

羞明

胃腸障害

悪心

下痢、便秘、嘔吐、口内炎、腹痛、口内乾燥

上腹部痛、消化不良、鼓腸、口腔内痛

一般・全身障害及び投与部位の状態

疲労

無力症、末梢性浮腫、浮腫

倦怠感、発熱、インフルエンザ様疾患

代謝及び栄養障害

食欲減退、低リン血症、血中トリグリセリド増加

高血糖、高トリグリセリド血症、低ナトリウム血症、血中ブドウ糖増加

筋骨格系及び結合組織障害

関節痛、筋肉痛

背部痛、筋痙縮

神経障害

頭痛、浮動性めまい、注意力障害

味覚不全、嗜眠

肝障害

ALT増加、AST増加、血中ALP増加

高トランスアミナーゼ血症

腎及び尿路障害

血中クレアチニン増加、蛋白尿

血中尿素増加

呼吸器、胸郭及び縦隔障害

呼吸困難

労作性呼吸困難、胸水、喘鳴

皮膚及び皮下組織障害

そう痒症、発疹、皮膚乾燥

手掌・足底発赤知覚不全症候群、斑状丘疹状皮疹

血管障害

高血圧

その他

体重増加、体重減少

14. 適用上の注意

14.1 薬剤交付時の注意

  1. 14.1.1 PTP包装の薬剤はPTPシートから取り出して服用するよう指導すること。PTPシートの誤飲により、硬い鋭角部が食道粘膜へ刺入し、更には穿孔をおこして縦隔洞炎等の重篤な合併症を併発することがある。
  2. 14.1.2 湿気を避けるため、服用直前にPTPシートから取り出すよう指導すること。

15. その他の注意

15.1 臨床使用に基づく情報

UGT2B17及びCYP2C19の両酵素がPoor Metabolizer(PM)である患者において、本剤の曝露量が上昇し、休薬に至った有害事象、Grade 3以上の貧血及び赤血球造血刺激因子製剤の投与を要する貧血の発現割合の増加が認められた。,,

16. 薬物動態

16.1 血中濃度

  1. 16.1.1 単回投与

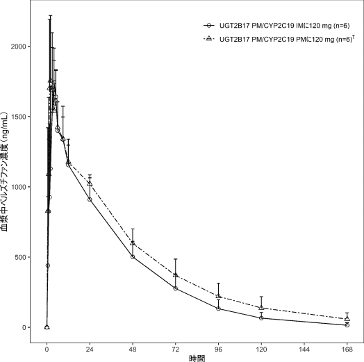
    UGT2B17 PMかつCYP2C19 Intermediate Metabolizer(IM)又はUGT2B17 PMかつCYP2C19 PMを有する日本人健康成人(12例)にベルズチファン120mgを単回経口投与した際のベルズチファンの血漿中薬物動態パラメータ及び血漿中濃度推移を表1及び図1に示す。

    表1 健康成人にベルズチファン120mgを単回経口投与した際のベルズチファンの血漿中薬物動態パラメータ

    代謝酵素の表現型

    例数

    Cmax
    (μg/mL)

    Tmax2)
    (hr)

    AUC0-∞
    (μg・hr/mL)

    t1/2
    (hr)

    UGT2B17 PM/CYP2C19 IM

    6

    1.84
    (11.0)

    4.00
    (2.00, 5.00)

    61.6
    (20.4)

    22.6
    (19.9)

    UGT2B17 PM/CYP2C19 PM

    6

    1.95
    (12.6)

    2.00
    (1.50, 5.00)

    78.0
    (14.4)3)

    32.8
    (32.2)3)

    2) 中央値(最小値, 最大値)

    3) 例数:5例

    幾何平均(幾何変動係数%)

    図1 健康成人にベルズチファン120mgを単回経口投与した際のベルズチファンの血漿中濃度推移
    †投与後48時間以降の例数は5例
  2. 16.1.2 反復投与

    ベルズチファンの主な代謝酵素であるUGT2B17及びCYP2C19については遺伝子多型が報告されている。母集団薬物動態解析(日本人被験者89例を含む)に基づき、UGT2B17及びCYP2C19表現型別に定常状態におけるベルズチファンの曝露量の要約統計量を表2に示す。

    表2 ベルズチファン120mgを1日1回反復経口投与した際の定常状態時のベルズチファンの薬物動態パラメータ

    表現型4)
    (UGT2B17)

    表現型4)
    (CYP2C19)

    例数

    Cmax
    (μg/mL)

    AUC0-24
    (μg・hr/mL)

    EM

    EM又はIM

    196

    1.23(33.5)

    14.5(44.7)

    PM

    8

    1.25(37.9)

    15.5(45.8)

    IM

    EM又はIM

    253

    1.55(33.6)

    21.8(43.7)

    PM

    17

    1.89(21.1)

    27.0(32.5)

    PM

    EM又はIM

    97

    2.54(27.1)

    42.7(32.8)

    PM

    35

    3.67(27.0)

    66.2(29.4)

    4) 各表現型に対応する代表的な遺伝子多型は以下のとおり。
    UGT2B17 EM:UGT2B17*1/*1
    UGT2B17 IM:UGT2B17*1/*2
    UGT2B17 PM:UGT2B17*2/*2
    CYP2C19 EM:CYP2C19*1/*1
    CYP2C19 IM:CYP2C19*1/*2、CYP2C19*1/*3、CYP2C19*2/*17、CYP2C19*3/*17
    CYP2C19 PM:CYP2C19*2/*2、CYP2C19*2/*3、CYP2C19*3/*3

    幾何平均(幾何変動係数%)、EM:Extensive Metabolizer、IM:Intermediate Metabolizer、PM:Poor Metabolizer

    また、進行固形癌及び局所進行又は転移性の淡明細胞型腎細胞癌患者にベルズチファン20~240mgを1日1回反復経口投与又は120mgを1日2回反復経口投与した際、ベルズチファンのCmax及びAUCは120mg 1日1回までの用量範囲で概ね用量に比例して増加し、120mg 1日1回を超える用量範囲では用量比を下回って増加した。投与15日目におけるベルズチファンのAUCに基づく累積係数は1.27~1.54であった(外国人データ)。母集団薬物動態解析に基づき、日本人患者にベルズチファン120mgを1日1回反復経口投与した際、投与開始後4.43日(幾何平均)で定常状態に到達した。

16.2 吸収

  1. 16.2.1 食事の影響

    健康成人(14例)にベルズチファン120mgを単回経口投与した際、空腹時投与に対する高脂肪食摂取後投与におけるベルズチファンのCmax及びAUC0-∞の幾何平均比は、それぞれ0.76及び1.00であった(外国人データ)。

16.3 分布

母集団薬物動態解析に基づき、ベルズチファンの見かけの総分布容積の幾何平均(幾何変動係数)は120L(28.2%)であった。
ヒトにおけるベルズチファンの血漿蛋白結合率は45%であり、血液/血漿濃度比は0.88であった(in vitro試験)。

16.4 代謝

ベルズチファンは主にUGT2B17及びCYP2C19により代謝され、一部CYP3A4により代謝される(in vitro試験)。,,
健康成人(6例)に14C標識したベルズチファン120mgを単回経口投与した際、投与後48時間までの血漿中には主に未変化体及びグルクロン酸抱合体が検出された(血漿中総放射能に対する割合はそれぞれ73%及び9%)(外国人データ)。

16.5 排泄

母集団薬物動態解析に基づき、ベルズチファンの見かけの全身クリアランスの幾何平均(幾何変動係数)は5.89L/hr(60.6%)、消失半減期の幾何平均(幾何変動係数)は14.2時間(47.9%)であった。
健康成人(6例)に14C標識したベルズチファン120mgを単回経口投与した際、糞中及び尿中に、投与量のそれぞれ51.7%(未変化体は微量)及び49.6%(未変化体として6%)が排泄された(外国人データ)。

16.6 特定の背景を有する患者

  1. 16.6.1 腎機能障害

    ベルズチファン120mgを単回経口投与した際、健康成人(6例)に対する血液透析の①実施2時間前又は②実施直後にベルズチファンを投与された末期腎不全被験者(8例)におけるベルズチファンのCmax及びAUC0-∞の幾何平均比は、それぞれ①0.85及び0.94並びに②0.70及び1.14であった(外国人データ)。

  2. 16.6.2 肝機能障害

    母集団薬物動態解析に基づき、肝機能が正常な患者(752例)に対する軽度肝機能障害患者5)(51例)における、定常状態時のベルズチファンのCmax及びAUC0-24の幾何平均比は、それぞれ0.94及び0.95であった。
    ベルズチファン80mgを単回経口投与した際、健康成人(8例)に対する中等度肝機能障害(Child-Pugh分類B)被験者(9例)におけるベルズチファンのCmax及びAUC0-∞の幾何平均比は、それぞれ0.98及び1.52であった(外国人データ)。

    5) NCI-ODWG(National Cancer Institute-Organ Dysfunction Working Group)基準による分類

  3. 16.6.3 UGT2B17及びCYP2C19表現型

    CYP2C19 PMの発現頻度は白人では約2%、日本人では約19%、UGT2B17 IMの発現頻度は白人では約45%、日本人では約21%、UGT2B17 PMの発現頻度は白人では約15%、日本人では約77%、UGT2B17及びCYP2C19の両酵素がPMの発現頻度は白人では約0.4%、日本人では約15%である。

16.7 薬物相互作用

  1. 16.7.1 ミダゾラム

    健康成人(14例)にベルズチファン120mgを1日1回反復経口投与し、ミダゾラム(CYP3Aの基質)2mgを単回経口投与した際、ミダゾラム単独投与時に対するベルズチファン併用投与時のミダゾラムのCmax及びAUC0-∞の幾何平均比は、それぞれ0.66及び0.60であった(外国人データ)。

  2. 16.7.2 その他
    1. (1) CYP2C19誘導剤との併用により、ベルズチファンの血中濃度が低下する可能性がある。
    2. (2) ベルズチファンはP-gpの基質である。また、ベルズチファンはUGT2B17、有機カチオントランスポーター(OCT)1、多剤・毒素化合物排出蛋白質(MATE)1及びMATE2-Kを阻害した(in vitro試験)。

注)本剤の承認された用法及び用量は、1日1回120mgを経口投与である。

17. 臨床成績

17.1 有効性及び安全性に関する試験

  • 〈フォン・ヒッペル・リンドウ病関連腫瘍〉
    1. 17.1.1 海外第Ⅱ相試験(LITESPARK-004試験)

      腎細胞癌病変6)を有するフォン・ヒッペル・リンドウ(VHL)病患者7)61例8)を対象に、本剤120mg 1日1回投与の有効性及び安全性が検討された。主要評価項目であるVHL病関連の腎細胞癌病変に対する奏効率[RECISTガイドライン1.1版に基づく中央判定による完全奏効(CR)又は部分奏効(PR)]は、表1のとおりであった。

      6) 直ちに切除を必要とする腫瘍径が3cmを超える腎細胞癌病変を有する患者、遠隔転移を有する患者、及びVHL病に関連しない浸潤癌を合併している患者は除外された。登録時に腎細胞癌以外のVHL病関連腫瘍を併発する患者は組入れ可能とされた。

      7) 生殖細胞系列のVHL遺伝子異常を有することが確認された患者が対象とされた。

      8) 腎細胞癌以外の併存病変を有する患者は、中枢神経系血管芽腫50例、膵神経内分泌腫瘍22例、網膜血管腫17例、精巣上体嚢胞腺腫10例、褐色細胞腫・パラガングリオーマ3例、内リンパ嚢腫瘍1例であった。

      表1 有効性成績(004試験)(VHL病関連の腎細胞癌)

      VHL病関連の腎細胞癌
      61例

      奏効率(CR+PR)
      (90%信頼区間)

      63.9%(52.6, 74.2)

      最良総合効果

      • 完全奏効(CR)

      4例(6.6%)

      • 部分奏効(PR)

      35例(57.4%)

      • 安定(SD)

      21例(34.4%)

      • 疾患進行(PD)

      0例

      • 評価不能

      1例(1.6%)

      2022年4月1日データカットオフ

      安全性解析対象例61例中61例(100.0%)に副作用が認められた。主な副作用(10%以上)は、貧血54例(88.5%)、疲労39例(63.9%)、悪心15例(24.6%)、浮動性めまい15例(24.6%)、呼吸困難11例(18.0%)、頭痛11例(18.0%)、筋肉痛8例(13.1%)及びALT増加7例(11.5%)であった(2022年4月1日データカットオフ)。

  • 〈がん化学療法後に増悪した根治切除不能又は転移性の腎細胞癌〉
    1. 17.1.2 国際共同第Ⅲ相試験(LITESPARK-005試験)

      PD-1/PD-L1阻害剤及びVEGF受容体チロシンキナーゼ阻害剤による治療歴のある9)根治切除不能又は転移性の淡明細胞型腎細胞癌患者746例(日本人44例を含む)を対象に、本剤120mg 1日1回投与の有効性及び安全性が、エベロリムス10mg 1日1回投与を対照として検討された。主要評価項目は無増悪生存期間(PFS)及び全生存期間(OS)とされ、本剤群はエベロリムス群と比較して統計学的に有意なPFSの延長を示した(表2、図1及び図2)。

      9) 根治切除不能又は転移性の淡明細胞型腎細胞癌に対する前治療歴が3つ以下の患者で、PD-1/PD-L1阻害剤及びVEGF受容体チロシンキナーゼ阻害剤投与後に疾患進行が認められた患者が組み入れられた。PD-1/PD-L1阻害剤及びVEGF受容体チロシンキナーゼ阻害剤は順に投与又は併用投与が可能であった。

      表2 有効性成績(005試験)

      本剤120mg
      QD
      374例

      エベロリムス10mg
      QD
      372例

      PFS

      • 中央値10)[月]
        (95%信頼区間)

      5.6
      (3.9, 7.0)

      5.6
      (4.8, 5.8)

      • ハザード比11)
        (95%信頼区間)

      0.75
      (0.63, 0.90)12)

      p値13)

      0.00077

      OS

      • 中央値10)[月]
        (95%信頼区間)

      21.4
      (18.2, 24.3)

      18.1
      (15.8, 21.8)

      • ハザード比11)
        (95%信頼区間)

      0.88
      (0.73, 1.07)14)

      p値15)

      0.09941

      10) Kaplan-Meier法に基づく

      11) 層別Cox比例ハザードモデルに基づく

      12) 有意水準に対応した99.58%信頼区間は(0.58, 0.97)

      13) 層別log-rank検定、有意水準(片側)0.0021

      14) 有意水準に対応した97.2%信頼区間は(0.72, 1.09)

      15) 層別log-rank検定、有意水準(片側)0.014

      QD:1日1回投与

      2022年11月1日データカットオフ(PFS)、2023年6月13日データカットオフ(OS)

      図1 PFSのKaplan-Meier曲線(005試験)
      2022年11月1日データカットオフ
      図2 OSのKaplan-Meier曲線(005試験)
      2023年6月13日データカットオフ

      安全性解析対象例372例中331例(89.0%)(日本人20例中20例を含む)に副作用が認められた。主な副作用(10%以上)は、貧血267例(71.8%)、疲労79例(21.2%)、低酸素症44例(11.8%)及び悪心39例(10.5%)であった(2023年6月13日データカットオフ)。
      なお、UGT2B17及びCYP2C19表現型別の有害事象の発現状況は表3のとおりであった。

      表3 UGT2B17及びCYP2C19表現型別の安全性(005試験)

      表現型

      休薬に至った有害事象

      Grade 3以上の貧血

      赤血球造血刺激因子製剤の投与を要する貧血

      UGT2B17 EMかつCYP2C19 EM又はIM

      37.6%
      (32/85例)

      20.0%
      (17/85例)

      24.7%
      (21/85例)

      CYP2C19 PM

      42.9%
      (9/21例)

      42.9%
      (9/21例)

      38.1%
      (8/21例)

      UGT2B17 IM

      47.1%
      (82/174例)

      37.4%
      (65/174例)

      26.4%
      (46/174例)

      UGT2B17 PM

      50.9%
      (28/55例)

      38.2%
      (21/55例)

      45.5%
      (25/55例)

      UGT2B17及びCYP2C19の両酵素がPM

      60.0%
      (6/10例)

      50.0%
      (5/10例)

      60.0%
      (6/10例)

18. 薬効薬理

18.1 作用機序

ベルズチファンは低酸素誘導因子2α(HIF-2α)に対する阻害作用を有する低分子化合物である。ベルズチファンは、HIF-2αとアリール炭化水素受容体核内輸送体(ARNT)の結合を阻害し、HIF-2α標的遺伝子の転写を阻害することにより、細胞周期の停止、血管新生の阻害を引きおこし、腫瘍増殖抑制作用を示すと考えられている。

18.2 抗腫瘍効果

ベルズチファンは、VHL遺伝子変異を有するヒト淡明細胞型腎細胞癌由来786-O細胞株、UMRC2細胞株、CTG-0824腫瘍組織片等を皮下移植した重症複合型免疫不全-ベージュ(SCID-Beige)マウスにおいて、腫瘍増殖抑制作用を示した(in vivo試験)。

19. 有効成分に関する理化学的知見

一般的名称

ベルズチファン(Belzutifan)

化学名

3-{[(1S,2S,3R)-2,3-Difluoro-1-hydroxy-7-(methanesulfonyl)-2,3-dihydro-1H-inden-4-yl]oxy}-5-fluorobenzonitrile

分子式

C17H12F3NO4S

分子量

383.34

性状

白色~淡褐色の粉末で、アセトニトリル及びアセトンにやや溶けやすく、水にほとんど溶けない。

化学構造式

21. 承認条件

医薬品リスク管理計画を策定の上、適切に実施すること。

22. 包装

42錠[6錠(PTP)×7]

24. 文献請求先及び問い合わせ先

MSD株式会社 MSDカスタマーサポートセンター

東京都千代田区九段北1-13-12

医療関係者の方:フリーダイヤル 0120-024-961

25. 保険給付上の注意

*本剤は新医薬品であるため、厚生労働省告示第107号(平成18年3月6日付)に基づき、2026年8月末日までは、投薬は1回14日分を限度とされている。

26. 製造販売業者等

26.1 製造販売元

MSD株式会社

東京都千代田区九段北1-13-12

〒100-0013 東京都千代田区霞が関3-3-2 新霞が関ビル

画面を閉じる

Copyright © Pharmaceuticals and Medical Devices Agency, All Rights reserved.