医療用医薬品 詳細表示

ストロメクトール錠3mg

処方せん医薬品

添付文書番号
企業コード
作成又は改訂年月
日本標準商品分類番号
薬効分類名
承認等
一般的名称
2.禁忌(次の患者には投与しないこと)
3.組成・性状
3.1組成
3.2製剤の性状
4.効能又は効果
5.効能又は効果に関連する注意
6.用法及び用量
7.用法及び用量に関連する注意
8.重要な基本的注意
9.特定の背景を有する患者に関する注意
9.1合併症・既往歴等のある患者
9.5妊婦
9.6授乳婦
9.7小児等
9.8高齢者
11.副作用
11.1重大な副作用
11.2その他の副作用
13.過量投与
14.適用上の注意
15.その他の注意
15.2非臨床試験に基づく情報
16.薬物動態
16.1血中濃度
16.2吸収
16.4代謝
16.5排泄
17.臨床成績
17.1有効性及び安全性に関する試験
18.薬効薬理
18.1作用機序
19.有効成分に関する理化学的知見
22.包装
23.主要文献
24.文献請求先及び問い合わせ先
26.製造販売業者等

ストロメクトール錠3mg

添付文書番号

6429008F1020_2_07

企業コード

170050

作成又は改訂年月

2023年7月改訂(第1版)

日本標準商品分類番号

876429

薬効分類名

駆虫剤

承認等

ストロメクトール錠3mg

販売名コード

YJコード

6429008F1020

販売名英語表記

STROMECTOL Tablets 3mg

販売名ひらがな

すとろめくとーる

承認番号等

承認番号

21400AMY00237000

販売開始年月

2002年12月

貯法・有効期間

貯法

室温保存

有効期間

3年

一般的名称

イベルメクチン

2. 禁忌(次の患者には投与しないこと)

本剤の成分に対し過敏症の既往歴のある患者

3. 組成・性状

3.1 組成

ストロメクトール錠3mg

有効成分イベルメクチン  
(イベルメクチンとして   3mg )
添加剤結晶セルロース、部分アルファー化デンプン、ステアリン酸マグネシウム、ブチルヒドロキシアニソール、無水クエン酸

3.2 製剤の性状

ストロメクトール錠3mg

剤形円形・裸錠
色調白色
外形表面
裏面
側面
大きさ直径5.6mm
厚さ2.0mm
質量約0.06g
識別コードMSD32

4. 効能又は効果

  • 腸管糞線虫症
  • 疥癬

5. 効能又は効果に関連する注意

  • 〈疥癬〉
    1. 5.1 確定診断された患者又はその患者と接触の機会があり、かつ疥癬の症状を呈する者に使用すること。
    2. 5.2 本剤は爪疥癬には無効であるため、爪疥癬の治療には使用しないこと。

6. 用法及び用量

  • 〈腸管糞線虫症〉

    通常、イベルメクチンとして体重1kg当たり約200μgを2週間間隔で2回経口投与する。下記の表に患者体重毎の1回当たりの投与量を示した。本剤は水とともに服用する。

  • 〈疥癬〉

    通常、イベルメクチンとして体重1kg当たり約200μgを1回経口投与する。下記の表に患者体重毎の1回当たりの投与量を示した。本剤は水とともに服用する。

    患者体重毎の1回当たりの投与量

    体重(kg)

    3mg錠数

    15-24

    1錠

    25-35

    2錠

    36-50

    3錠

    51-65

    4錠

    66-79

    5錠

    ≧80

    約200μg/kg

7. 用法及び用量に関連する注意

  • 〈効能共通〉
    1. 7.1 本剤は水のみで服用すること。本剤は脂溶性物質であり、高脂肪食により血中薬物濃度が上昇するおそれがある。したがって、本剤は空腹時に投与することが望ましい。
  • 〈腸管糞線虫症〉
    1. 7.2 糞便内幼虫が陰転しない場合は再投与を考慮すること。
  • 〈疥癬〉
    1. 7.3 重症型(角化型疥癬等)の場合、本剤の初回投与後、1~2週間以内に検鏡を含めて効果を確認し、2回目の投与を考慮すること。

8. 重要な基本的注意

  • 〈効能共通〉
    1. 8.1 本剤に対し過敏症反応があらわれた場合には、その後の投与を中止すること。
    2. 8.2 意識障害があらわれることがあるので、自動車の運転等、危険を伴う機械の操作に従事する際には注意するよう患者に十分に説明すること。
  • 〈疥癬〉
    1. 8.3 本剤による治療初期にそう痒が一過性に増悪することがある。また、ヒゼンダニの死滅後もアレルギー反応として全身のそう痒が遷延することがある。特徴的な皮疹の発生や感染が認められない場合、又はそう痒が持続しても、特徴的な皮疹の発生や感染が認められない場合には、漫然と再投与しないこと。

9. 特定の背景を有する患者に関する注意

9.1 合併症・既往歴等のある患者

  1. 9.1.1 ロア糸状虫による重度感染を併発している患者

    抗ミクロフィラリア薬投与後に、又は投薬とは無関係に、まれに重篤又は致命的な脳症が発症することがあり、本剤においても因果関係は確立していないが、発症することがある。

  2. 9.1.2 オンコセルカ症又はロア糸状虫症を併発している患者

    中枢精神神経系(脳症、頭痛、昏睡、精神状態変化、起立困難、歩行困難、錯乱、嗜眠、痙攣、昏迷等)、筋骨格系(関節痛等)、その他(発熱、結膜出血、眼充血、尿失禁、便失禁、浮腫、呼吸困難、背部痛、頸部痛等の疼痛等)の重大な副作用及びマゾッティ反応が報告されている。これらの反応は、死んだミクロフィラリアに対するアレルギー性・炎症性反応によると考えられる。

  3. 9.1.3 易感染性患者(HIV感染者やHTLV-1感染者等も含む)

    通常の投与回数以上の投与が必要になることがあり、また、その場合でも治癒に至らないことがある1),2),3)

9.5 妊婦

妊婦又は妊娠している可能性のある女性には治療上の有益性が危険性を上回ると判断される場合にのみ投与すること。動物実験で催奇形性が認められている。

9.6 授乳婦

治療上の有益性及び母乳栄養の有益性を考慮し、授乳の継続又は中止を検討すること。ヒト母乳中に移行することが報告されている。

9.7 小児等

体重15kg未満の小児を対象とした臨床試験は実施していない。

9.8 高齢者

一般に、肝、腎又は心機能が低下し、合併症を有している又は他の薬剤を併用している場合が多い。

11. 副作用

次の副作用があらわれることがあるので、観察を十分に行い、異常が認められた場合には投与を中止するなど適切な処置を行うこと。

11.1 重大な副作用

  1. 11.1.1 中毒性表皮壊死融解症(Toxic Epidermal Necrolysis:TEN)、皮膚粘膜眼症候群(Stevens-Johnson症候群)(いずれも頻度不明)
  2. 11.1.2 肝機能障害、黄疸(いずれも頻度不明)

    著しいAST、ALTの上昇等を伴う肝機能障害、黄疸があらわれることがある。

  3. 11.1.3 血小板減少(頻度不明)
  4. 11.1.4 意識障害(頻度不明)

    昏睡、意識レベルの低下、意識変容状態等の意識障害が認められる場合がある。

11.2 その他の副作用

0.1~5%未満

0.1%未満

頻度不明

過敏症

そう痒、発疹

そう痒の一過性の増悪1)、蕁麻疹

肝臓

肝機能異常(AST上昇、ALT上昇、総ビリルビン値上昇、γ-GTP上昇)

Al-P上昇

腎臓

BUN上昇

消化器系

悪心、嘔吐

下痢、食欲不振、便秘、腹痛

精神神経系

めまい、傾眠、振戦

血液

貧血、好酸球数増加

白血球数減少、リンパ球数増加、単球数減少

その他

LDH上昇

血尿

無力症・疲労、低血圧、気管支喘息の増悪

13. 過量投与

  1. 13.1 症状

    ヒトで動物用イベルメクチン製剤(曝露量不明)の経口摂取、吸入、注射又は体表への曝露による偶発的な中毒において、以下の副作用が報告されている。
    発疹、接触性皮膚炎、浮腫、頭痛、めまい、無力症、悪心、嘔吐、下痢、発作、運動失調、呼吸困難、腹痛、異常感覚、蕁麻疹

14. 適用上の注意

14.1 薬剤交付時の注意

PTP包装の薬剤はPTPシートから取り出して服用するよう指導すること。PTPシートの誤飲により、硬い鋭角部が食道粘膜へ刺入し、更には穿孔を起こして縦隔洞炎等の重篤な合併症を併発することがある。

15. その他の注意

15.2 非臨床試験に基づく情報

マウス、ラット及びウサギにヒトの最高推奨用量のそれぞれ0.2、8.1及び4.5倍(mg/m2/日で換算)のイベルメクチンを反復投与したところ、口蓋裂が認められている。ウサギでは前肢屈曲も認められた。このような発生への作用は妊娠動物に対する母体毒性があらわれる用量かそれに近い用量でのみ発現した。

16. 薬物動態

16.1 血中濃度

  1. 16.1.1 単回投与
    1. (1) 健康成人男性(各群5例)にイベルメクチンを錠剤で単回経口投与した場合、主要成分(H2B1a)の平均血清中濃度は、12mg投与では投与後4時間で32.0(±7.3)ng/mL、6mg投与では投与後5時間で19.9(±4.8)ng/mLの最高値を示した。12mg投与では6mg投与に比べ、AUC及びCmaxの平均値が、それぞれ1.3倍及び1.6倍に増加した4)
    2. (2) イベルメクチンを錠剤で12mg(平均用量は165μg/kg)単回経口投与した場合、主要成分(H2B1a)の平均最高血漿中濃度は、投与後約4時間で46.6(±21.9)ng/mLであった。血漿中濃度は、投与量(6、12、15mg)にほぼ比例して増加した。イベルメクチンの血漿中消失半減期は約18時間であった(外国人データ)。

16.2 吸収

健康成人11例にイベルメクチンを錠剤で30mg(347~541μg/kg)単回経口投与した場合、高脂肪食(脂肪48.6g、784kcal)の食後投与の未変化体AUC0-∞は、空腹時投与の約2.6倍に上昇した5)(外国人データ)。

16.4 代謝

イベルメクチンは肝で代謝される。

  1. 16.4.1 ヒト肝ミクロソームにおける代謝

    本薬の代謝にはCYP3A4が主に関与していることが報告されている6)in vitro)。

  2. 16.4.2 P糖蛋白質による輸送

    本薬はヒト及びマウスP糖蛋白質の基質であることが報告されている7)in vitro)。

16.5 排泄

イベルメクチンやその代謝物は、約12日間かけてほぼすべてが糞中に排泄され、尿中への排泄は投与量の1%未満であった(外国人データ)。

注)本剤の承認された1回用量は、約200μg/kgである。

17. 臨床成績

17.1 有効性及び安全性に関する試験

  • 〈腸管糞線虫症〉
    1. 17.1.1 国内第Ⅲ相試験

      糞線虫陽性患者50例を対象に、イベルメクチン約200μg/kgを2週間間隔で2回投与した場合の投与4週間後の駆虫率は98.0%(49/50)であった。有効性は、投与4週間後に実施する2回の追跡糞便検査で幼虫が認められないことと定義づけられた駆虫率によって判定された。
      50例中1例(2.0%)に、悪心、嘔吐が各1件、計2件の副作用が認められた。臨床検査値の異常変動は50例中4例(8.0%)に、AST上昇、ALT上昇、総ビリルビン値上昇、白血球数減少、リンパ球数増加、単球数減少及び血尿が各1件、計7件認められた8)

18. 薬効薬理

18.1 作用機序

イベルメクチンは、広域スペクトル抗寄生虫薬であるアベルメクチン群に含まれ、独特な作用機序を持っている。イベルメクチンは、無脊椎動物の神経・筋細胞に存在するグルタミン酸作動性Cl-チャンネルに選択的かつ高い親和性を持って結合する9),10)。これにより、Cl-に対する細胞膜の透過性が上昇して神経又は筋細胞の過分極が生じ、その結果、寄生虫が麻痺を起こし、死に至る。イベルメクチンは、特に、神経伝達物質であるγ-アミノ酪酸(GABA)によって活性化される他のリガンド作動性Cl-チャンネルとも弱いながらも相互作用するものと思われる11)
このクラスの化合物が持つヒトでの安全域は、哺乳類ではグルタミン酸作動性Cl-チャンネルの存在が報告されていないこと12)、哺乳類の脳の特異的な結合部位に対するイベルメクチンの親和性が線虫に比べ約100倍低いこと13)、またラット等の哺乳類ではアベルメクチン類が血液‒脳関門を容易には通過することができない14),15)という事実から確保されているものと考えられる。

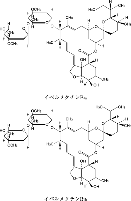
19. 有効成分に関する理化学的知見

一般的名称

イベルメクチン(Ivermectin)

化学名

(1)H2B1a;5-O-Demethyl-22,23-dihydroavermectin A1a
(2)H2B1b;5-O-Demethyl-25-de(1-methylpropyl)-22,23-dihydro-25-(1-methylethyl)avermectin A1a

分子式

(1)H2B1a;C48H74O14
(2)H2B1b;C47H72O14

分子量

(1)H2B1a;875.10
(2)H2B1b;861.07

性状

白色~黄白色の粉末で、メタノール、エタノール(95)又はジエチルエーテルに溶けやすく、アセトニトリル又はm-キシレンにやや溶けやすく、水にほとんど溶けない。

化学構造式

略語

H2B1a(イベルメクチンB1a;90%以上含有成分)
H2B1b(イベルメクチンB1b;10%未満含有成分)

22. 包装

10錠(PTP)

24. 文献請求先及び問い合わせ先

マルホ株式会社 製品情報センター

〒531-0071 大阪市北区中津1-11-1

TEL:0120-12-2834

26. 製造販売業者等

26.1 製造販売元

MSD株式会社

東京都千代田区九段北1-13-12

26.2 販売元

マルホ株式会社

大阪市北区中津1-5-22

〒100-0013 東京都千代田区霞が関3-3-2 新霞が関ビル

画面を閉じる

Copyright © Pharmaceuticals and Medical Devices Agency, All Rights reserved.