医療用医薬品 詳細表示

ペルジピン注射液2mg/ペルジピン注射液10mg/ペルジピン注射液25mg

処方せん医薬品

添付文書番号
企業コード
作成又は改訂年月
日本標準商品分類番号
薬効分類名
承認等
一般的名称
1.警告
2.禁忌(次の患者には投与しないこと)
3.組成・性状
3.1組成
3.2製剤の性状
4.効能又は効果
6.用法及び用量
7.用法及び用量に関連する注意
8.重要な基本的注意
9.特定の背景を有する患者に関する注意
9.1合併症・既往歴等のある患者
9.2腎機能障害患者
9.3肝機能障害患者
9.5妊婦
9.6授乳婦
9.7小児等
9.8高齢者
10.相互作用
10.2併用注意(併用に注意すること)
11.副作用
11.1重大な副作用
11.2その他の副作用
14.適用上の注意
15.その他の注意
15.1臨床使用に基づく情報
16.薬物動態
16.1血中濃度
16.3分布
16.4代謝
17.臨床成績
17.1有効性及び安全性に関する試験
18.薬効薬理
18.1作用機序
18.2血圧降下作用
18.3心血管系に対する作用
18.4抗心不全作用
18.5臓器循環及び血液ガス
18.6利尿作用
19.有効成分に関する理化学的知見
22.包装
23.主要文献
24.文献請求先及び問い合わせ先
26.製造販売業者等

ペルジピン注射液2mg/ペルジピン注射液10mg/ペルジピン注射液25mg

添付文書番号

2149400A1027_2_03

企業コード

171911

作成又は改訂年月

2025年8月改訂(第2版)
2021年1月改訂(第1版)

日本標準商品分類番号

872149

薬効分類名

注射用Ca拮抗剤

承認等

ペルジピン注射液2mg

販売名コード

YJコード

2149400A1027

販売名英語表記

Perdipine Injection 2mg

販売名ひらがな

ぺるじぴんちゅうしゃえき

承認番号等

承認番号

16300AMZ00964

販売開始年月

1989年1月

貯法・有効期間

貯法

室温保存

有効期間

3年

基準名

日本薬局方

ニカルジピン塩酸塩注射液

ペルジピン注射液10mg

販売名コード

YJコード

2149400A2023

販売名英語表記

Perdipine Injection 10mg

販売名ひらがな

ぺるじぴんちゅうしゃえき

承認番号等

承認番号

16300AMZ00965

販売開始年月

1989年1月

貯法・有効期間

貯法

室温保存

有効期間

3年

基準名

日本薬局方

ニカルジピン塩酸塩注射液

ペルジピン注射液25mg

販売名コード

YJコード

2149400A3020

販売名英語表記

Perdipine Injection 25mg

販売名ひらがな

ぺるじぴんちゅうしゃえき

承認番号等

承認番号

21100AMZ00175

販売開始年月

1999年7月

貯法・有効期間

貯法

室温保存

有効期間

3年

基準名

日本薬局方

ニカルジピン塩酸塩注射液

一般的名称

日局 ニカルジピン塩酸塩

1. 警告

本剤を脳出血急性期の患者及び脳卒中急性期で頭蓋内圧が亢進している患者に投与する場合には、緊急対応が可能な医療施設において、最新の関連ガイドラインを参照しつつ、血圧等の患者の状態を十分にモニタリングしながら投与すること。,

2. 禁忌(次の患者には投与しないこと)

  • 〈効能共通〉
    1. 2.1 本剤の成分に対し過敏症の既往歴のある患者
  • 〈急性心不全〉
    1. 2.2 高度な大動脈弁狭窄・僧帽弁狭窄、肥大型閉塞性心筋症、低血圧(収縮期血圧90mmHg未満)、心原性ショックのある患者[心拍出量及び血圧が更に低下する可能性がある。]
    2. 2.3 発症直後で病態が安定していない重篤な急性心筋梗塞患者[広範囲、3枝病変による梗塞等の重篤な急性心筋梗塞患者では血行動態の急激な変化を生じることがあり、更に病態が悪化するおそれがある。]

3. 組成・性状

3.1 組成

ペルジピン注射液2mg

有効成分日局 ニカルジピン塩酸塩   2mg(2mL)
添加剤D-ソルビトール100mg、pH調節剤
(1管中)

ペルジピン注射液10mg

有効成分日局 ニカルジピン塩酸塩   10mg(10mL)
添加剤D-ソルビトール500mg、pH調節剤
(1管中)

ペルジピン注射液25mg

有効成分日局 ニカルジピン塩酸塩   25mg(25mL)
添加剤D-ソルビトール1250mg、pH調節剤
(1管中)

3.2 製剤の性状

ペルジピン注射液2mg

剤形水性注射剤
pH3.0~4.5
浸透圧比約1
色調・形状微黄色澄明の液
※生理食塩液に対する比

ペルジピン注射液10mg

剤形水性注射剤
pH3.0~4.5
浸透圧比約1
色調・形状微黄色澄明の液
※生理食塩液に対する比

ペルジピン注射液25mg

剤形水性注射剤
pH3.0~4.5
浸透圧比約1
色調・形状微黄色澄明の液
※生理食塩液に対する比

4. 効能又は効果

  • 手術時の異常高血圧の救急処置
  • 高血圧性緊急症
  • 急性心不全(慢性心不全の急性増悪を含む)

6. 用法及び用量

  • 〈手術時の異常高血圧の救急処置〉

    本剤は、生理食塩液又は5%ブドウ糖注射液で希釈し、ニカルジピン塩酸塩として0.01~0.02%(1mL当たり0.1~0.2mg)溶液を点滴静注する。この場合1分間に、体重1kg当たり2~10μgの点滴速度で投与を開始し、目的値まで血圧を下げ、以後血圧をモニターしながら点滴速度を調節する。なお、急速に血圧を下げる必要がある場合には、本剤をそのまま体重1kg当たりニカルジピン塩酸塩として10~30μgを静脈内投与する。

  • 〈高血圧性緊急症〉

    本剤は、生理食塩液又は5%ブドウ糖注射液で希釈し、ニカルジピン塩酸塩として0.01~0.02%(1mL当たり0.1~0.2mg)溶液を点滴静注する。この場合1分間に、体重1kg当たり0.5~6μgの点滴速度で投与する。なお、投与に際しては1分間に、体重1kg当たり0.5μgより開始し、目的値まで血圧を下げ、以後血圧をモニターしながら点滴速度を調節する。

  • 〈急性心不全(慢性心不全の急性増悪を含む)〉

    本剤は、生理食塩液又は5%ブドウ糖注射液で希釈し、ニカルジピン塩酸塩として0.01~0.02%(1mL当たり0.1~0.2mg)溶液を点滴静注する。この場合1分間に、体重1kg当たり1μgの点滴速度で投与する。なお、患者の病態に応じて1分間に、体重1kg当たり0.5~2μgの範囲で点滴速度を調節する。

7. 用法及び用量に関連する注意

  • 〈高血圧性緊急症〉
    1. 7.1 本剤投与により目的の血圧が得られた後、引き続いて降圧治療が必要で経口投与が可能な場合には、経口投与に切り替えること。
    2. 7.2 本剤投与終了後に血圧が再上昇することがあるので、本剤の投与を終了する際には徐々に減量し、投与終了後も血圧を十分に管理すること。なお、経口投与に切り替えた後にも血圧の再上昇等に留意すること。
  • 〈急性心不全〉
    1. 7.3 本剤の投与によっても、期待された改善がみられない場合には投与を中止し、他の治療法(利尿薬、陽性変力作用をもついわゆる強心薬、血管拡張薬等の静脈内投与又は機械的補助循環等)に切り替えるなど必要な措置を講じること。

8. 重要な基本的注意

  • 〈効能共通〉
    1. 8.1 本剤の作用には個人差があるので、血圧、心拍数等を十分に管理しながら慎重に投与すること。
    2. 8.2 本剤の過剰投与により著明な低血圧を来した場合には投与を中止すること。また、速やかに血圧を回復させたい場合には昇圧剤(ノルアドレナリン)を投与すること。
  • 〈急性心不全〉
    1. 8.3 血圧、心拍数、尿量、体液及び電解質、また可能な限り肺動脈楔入圧、心拍出量及び血液ガス等患者の全身状態を十分管理しながら投与すること。
    2. 8.4 本剤の血管拡張作用による過度の血圧低下、動脈血酸素分圧の低下が発現することがあるので注意すること。特に本剤には血圧低下作用があることから、血圧がやや低く(収縮期血圧が100mmHg未満を目安)、循環血液量が相対的に減少しているような場合、厳重な血圧モニターを行い、更なる血圧低下が認められた場合には、投与を中止するなど必要な措置を講じること。
    3. 8.5 本剤の投与により臨床症状が改善し、患者の状態が安定した場合(急性期の状態を脱した場合)には、漫然と投与することなく他の治療法に変更すること。投与期間は患者の反応性に応じて異なるが、急性心不全に対する24時間を超える使用経験が少ないので、これを超えて投与する必要が生じた場合には、血行動態及び全身状態等を十分に管理しながら慎重に投与すること。
    4. 8.6 他の血管拡張薬との併用に際しては過度の血圧低下に注意すること。
    5. 8.7 急性心筋梗塞による急性心不全に対して本剤を使用する場合は、血行動態及び全身状態等を十分に管理しながら慎重に投与すること。

9. 特定の背景を有する患者に関する注意

9.1 合併症・既往歴等のある患者

  • 〈効能共通〉
    1. 9.1.1 脳出血急性期の患者

      出血を促進させる可能性があるので、治療上の有益性が危険性を上回ると判断される場合にのみ投与すること。

    2. 9.1.2 脳卒中急性期で頭蓋内圧が亢進している患者

      頭蓋内圧を高めるおそれがあるので、治療上の有益性が危険性を上回ると判断される場合にのみ投与すること。

    3. 9.1.3 大動脈弁狭窄症の患者

      症状を悪化させるおそれがある。

    4. 9.1.4 遺伝性果糖不耐症の患者

      本剤の添加剤D-ソルビトールが体内で代謝されて生成した果糖が正常に代謝されず、低血糖、肝不全、腎不全等が誘発されるおそれがある。

  • 〈急性心不全〉
    1. 9.1.5 重篤な不整脈のある患者

      一般にこのような患者では、不整脈を慎重に管理しながら治療する必要がある。

    2. 9.1.6 血圧が低い患者

      更なる血圧低下を来す可能性がある。

9.2 腎機能障害患者

一般に重篤な腎機能障害のある患者では、急激な降圧に伴い腎機能低下を来す可能性がある。

9.3 肝機能障害患者

本剤は肝臓で代謝される。

9.5 妊婦

妊婦又は妊娠している可能性のある女性には治療上の有益性が危険性を上回ると判断される場合にのみ投与すること。動物実験(ラット)で、妊娠末期に投与すると高用量では胎児死亡の増加、分娩障害、出生児の体重減少及びその後の体重増加の抑制が報告されている。

9.6 授乳婦

治療上の有益性及び母乳栄養の有益性を考慮し、授乳の継続又は中止を検討すること。動物実験(ラット)で乳汁中へ移行することが報告されている。

9.7 小児等

小児等を対象とした有効性及び安全性を指標とした臨床試験は実施していない。

9.8 高齢者

低用量(例えば0.5μg/kg/分で点滴静注)から投与を開始し、経過を十分に観察しながら慎重に投与すること。生理機能(肝機能、腎機能等)が低下していることが多い。

10. 相互作用

  • 本剤は、主としてCYP3A4で代謝される。

10.2 併用注意(併用に注意すること)

薬剤名等臨床症状・措置方法機序・危険因子

他の血圧降下剤

血圧降下作用が増強されることがある。

両剤の薬理学的な相加作用等による。

  • β-遮断剤
    • プロプラノロール 等

うっ血性心不全患者では、過度の血圧低下、心機能の低下があらわれることがある。必要に応じどちらかを減量又は投与を中止する。

両剤の薬理学的な相加作用による。
(1)血圧降下作用の増強
(2)陰性変力作用の増強1)

*フェンタニル

フェンタニル麻酔時、β-遮断剤と本剤の併用で血圧低下がみられることがある2) 。必要に応じどちらかを減量又は投与を中止する。

機序不明

ジゴキシン

ジゴキシンの作用を増強し3) 、中毒症状(嘔気、嘔吐、めまい、徐脈、不整脈等)があらわれることがある。必要に応じジゴキシンを減量する。

本剤が、主に腎でのクリアランスを減少させ、ジゴキシンの血中濃度が上昇する。

ダントロレンナトリウム水和物

他のCa拮抗剤(ベラパミル等)の動物実験で心室細動、循環虚脱がみられたとの報告がある。

高カリウム血症を来すと考えられる。

タンドスピロンクエン酸塩

動物実験で血圧降下作用が増強されたとの報告がある。

タンドスピロンクエン酸塩は中枢性の血圧降下作用を有し、相加的な降圧作用を示す4)

ニトログリセリン

動物実験で房室ブロックを起こしたとの報告がある。

機序不明

  • 筋弛緩剤
    • パンクロニウム臭化物
    • ベクロニウム臭化物 等

筋弛緩の作用が増強することがある。筋弛緩作用に注意し、異常が認められた場合には、両剤の減量若しくは投与を中止する。

本剤が神経筋接合部位において、シナプス前あるいは後にアセチルコリン放出を抑制させること、及び骨格筋の筋小胞体でのCa遊離抑制による筋自体の収縮力の低下等が考えられている5)

  • 免疫抑制剤
    • シクロスポリン
    • タクロリムス水和物 等

免疫抑制剤の作用を増強し6) 、中毒症状(特に腎機能異常)があらわれることがある。また、本剤の作用を増強し、血圧低下、頻脈等があらわれることがある。必要に応じ免疫抑制剤及び本剤を減量する。

本剤あるいは免疫抑制剤によりCYP3A4が阻害され、免疫抑制剤あるいは本剤の血中濃度が上昇する。

フェニトイン

(1)フェニトインの作用を増強し、中毒症状(神経的)があらわれることがある。必要に応じフェニトインを減量する。
(2)本剤の作用が減弱されることがある。必要に応じ本剤を増量する。

(1)本剤の蛋白結合率が高いため、血漿蛋白結合競合により、遊離型フェニトインが上昇する。
(2)CYP3A4が誘導され、本剤の代謝が促進される7),8)

リファンピシン

本剤の作用が減弱されることがある。必要に応じ本剤を増量する。

CYP3A4が誘導され、本剤の代謝が促進される。

シメチジン

本剤の作用が増強され、血圧低下、頻脈等があらわれることがある。必要に応じ本剤を減量する9)

これらの薬剤によりCYP3A4が阻害され、本剤の血中濃度が上昇する。

  • HIVプロテアーゼ阻害剤
    • サキナビル
    • リトナビル 等

本剤の血中濃度が上昇し、本剤の作用が増強されるおそれがある。

これらの薬剤によりCYP3A4が阻害され、本剤の血中濃度が上昇する。

  • アゾール系抗真菌薬
    • イトラコナゾール 等

本剤の血中濃度が上昇し、本剤の作用が増強されるおそれがある。

これらの薬剤によりCYP3A4が阻害され、本剤の血中濃度が上昇する。

11. 副作用

次の副作用があらわれることがあるので、観察を十分に行い、異常が認められた場合には投与を中止するなど適切な処置を行うこと。

11.1 重大な副作用

  1. 11.1.1 麻痺性イレウス(頻度不明)
  2. 11.1.2 低酸素血症(0.1~5%未満)
  3. 11.1.3 肺水腫、呼吸困難(各0.1%未満)
  4. 11.1.4 狭心痛(頻度不明)

    外国において本注射剤で治療した冠動脈疾患患者の1%未満に狭心痛の発現あるいは悪化が認められたとの報告がある。

  5. 11.1.5 血小板減少(0.1%未満)
  6. 11.1.6 肝機能障害(0.1~5%未満)、黄疸(頻度不明)

    AST・ALT・γ-GTPの上昇等を伴う肝機能障害や黄疸があらわれることがある。

11.2 その他の副作用

0.1~5%未満

0.1%未満

頻度不明

循環器

頻脈、心電図変化、血圧低下、肺動脈圧の上昇(急性心不全時)、心係数の低下(急性心不全時)、心室頻拍(急性心不全時)、チアノーゼ(急性心不全時)

動悸、顔面潮紅、全身倦怠感、心室性期外収縮

房室ブロック

肝臓

肝機能異常(AST・ALT等の上昇)

腎臓

BUN上昇、クレアチニン上昇

消化器

嘔気、嘔吐、むかつき

過敏症

皮疹

その他

頭痛、体温の上昇、尿量減少、血中総コレステロールの低下、悪寒、背部痛、血清カリウムの上昇

静脈炎

発現頻度は、承認時までの臨床試験及び使用成績調査結果に基づいている。

14. 適用上の注意

14.1 薬剤調製時の注意

  1. 14.1.1 点滴静注する場合の本剤の0.01~0.02%溶液は、下表の例示を参考に本剤と配合可能な輸液に本剤の必要量を加えて調製する。

    配合する輸液の量
    (mL)

    調製するニカルジピン塩酸塩溶液の濃度

    約0.01%

    約0.015%

    約0.02%

    加えるニカルジピン塩酸塩注射液の量(mL)

    100

    12

    18

    24

    250

    30

    45

    60

    500

    60

    90

    120

  2. 14.1.2 本剤を点滴静注する場合、配合する輸液によってはpHが高い等の原因で本剤が析出することがあるので、十分注意すること。
    なお、本剤との配合試験の結果、下記に示す輸液は配合が可能であった。
    生理食塩液、5%ブドウ糖注射液、10%EL-3号、ソリタ-T1号、ソリタ-T3号、フィジオゾール・3号、ポタコールR、リンゲル液

14.2 薬剤投与時の注意

  1. 14.2.1 本剤の投与に際し、薬液が血管外に漏れると注射部位を中心に炎症・硬結等を起こすことがあるので、慎重に投与すること。
  2. 14.2.2 本剤を長時間投与し、注入部位に痛みや発赤等がみられた場合には、注入部位を変更すること。

15. その他の注意

15.1 臨床使用に基づく情報

開心術後の回復管理期においては、症例によっては循環不全を生じ、心不全状態になることが知られているが、それらにおける本剤の使用経験が少なく(計21例)、有効性は確立していない。

16. 薬物動態

16.1 血中濃度

  1. 16.1.1 単回投与
    1. (1) 健康成人 0.01~0.02mg/kg iv 単回投与10),11)
      〈薬動力学パラメータ〉

      投与量(mg/kg iv)

      n

      t1/2β(min)

      AUC(ng・h/mL)

      Vdβ(mL/kg)

      0.01

      2

      63

      23.3

      644

      0.02

      2

      50

      38.3

      641

    2. (2) 全身麻酔下の患者 0.01~0.03mg/kg iv 単回投与11)
      〈薬動力学パラメータ〉

      投与量(mg/kg iv)

      n

      t1/2β(min)

      AUC(ng・h/mL)

      Vdβ(mL/kg)

      0.01

      7

      28

      21.8

      321

      0.02

      5

      22

      29.8

      495

      0.03

      4

      45

      68.7

      609

  2. 16.1.2 持続投与
    1. (1) 健康成人 4mg/h(約1.1μg/kg/minの速度)で2時間持続投与を1日1回5日間連続投与12)
      〈薬動力学パラメータ〉

      投与

      t1/2β(min)

      CL tot(mL/kg/min)

      Vdβ(mL/kg)

      1日目

      109

      10.7

      1,683

      (n=5)

    2. (2) 高血圧性緊急症患者 0.5μg/kg/minで5~24時間持続静脈内投与遂時増量又は減量12)
      〈薬動力学パラメータ〉

      t1/2β(min)

      CL tot(mL/kg/min)

      Vdβ(mL/kg)

      160

      14.2

      3,083

      (n=5)

    3. (3) 急性心不全患者 1.0μg/kg/minで2時間持続静脈内投与13)
      〈薬動力学パラメータ〉

      t1/2β(min)

      CL tot(mL/kg/min)

      Vd ss(mL/kg)

      130

      11.5

      2,091

      (n=5)

16.3 分布

血漿蛋白との結合率は、in vitro(健康成人)14)in vitro(急性心不全患者)13)in vivo(全身麻酔下患者)15) 共に90%以上であった。

16.4 代謝

健康成人の尿中主代謝物は、M-11(N-ベンジル-N-メチルアミノ基が脱離、更にピリジン体に酸化された代謝物)の抱合体であった16) 。ヒトにおいては、本剤は主としてCYP3A4で代謝される17)

17. 臨床成績

17.1 有効性及び安全性に関する試験

  1. 17.1.1 国内臨床試験

    手術時の異常高血圧の
    救急処置

    高血圧性緊急症

    急性心不全

    試験方法

    二重盲検比較試験他18),19),20),21),22),23)

    単盲検比較試験他24),25)

    二重盲検比較試験他26),27),28),29),30)

    有用度判定

    82.9%(557/672)
    有用以上

    94.4%(51/54)
    やや有用以上

    71.7%(86/120)
    有用以上

    投与方法別有効率

    単回静脈内

    78.6%(301/383)

    点滴静脈内

    88.6%(256/289)

    94.4%(51/54)

    72.3%(102/141)

18. 薬効薬理

18.1 作用機序

ニカルジピン塩酸塩は、血管平滑筋細胞中へのCa2+の取り込みを抑制することにより、血管拡張作用を発揮する31) 。ニカルジピン塩酸塩は、血管平滑筋において心筋の30,000倍強いCa拮抗作用を示し、血管選択性は他のCa拮抗薬(ニフェジピン、べラパミル、ジルチアゼム)より高かった32)

18.2 血圧降下作用

  1. 18.2.1 血圧降下作用

    麻酔イヌにおいて、用量依存的な血圧降下作用を示し、その用量作用曲線の傾きは穏やかであった。このことより、血圧管理において過度の血圧低下を起こしにくく、調節性に優れることが示唆される33)
    無麻酔イヌにおいても、刺激伝導系を抑制することなく用量依存的な血圧降下作用を示した34)

  2. 18.2.2 異常高血圧抑制作用

    麻酔イヌにおいて、麻酔時の偶発的な異常高血圧の発症の原因として考えられている内因性昇圧物質(ノルアドレナリン、アンジオテンシンII)による血圧上昇を用量依存的に抑制した33)
    昇圧物質(アンジオテンシンII)の持続投与により誘発した高血圧状態の無麻酔イヌにおいて、刺激伝導系に影響を及ぼすことなく、用量依存的に血圧を下降させた34)

18.3 心血管系に対する作用

  1. 18.3.1 心血行動態

    麻酔イヌにおいて、強力な冠拡張作用を有し、冠血流量を増加させるとともに末梢血管抵抗を低下させ、後負荷を軽減することにより心筋酸素消費量を低下させる35)

  2. 18.3.2 各種麻酔状態での心血管系に対する作用

    ペントバルビタール、GOF及びNLAのいずれかで麻酔したイヌ、サルにおいてもほぼ同等の降圧作用を示した。血圧を約30%低下させる用量では、ペントバルビタール麻酔、NLA麻酔下で、反射性の心拍数及び心収縮性の軽度の増加を起こしたが、GOF麻酔ではこれらに対し無影響であった。一方、血圧を50%以上低下させる高用量では、いずれの麻酔法においても、心収縮性の低下及び房室伝導の延長を起こした36),37)

18.4 抗心不全作用

  1. 18.4.1 抗心不全作用

    冠動脈結紮により誘発した麻酔イヌ虚血性急性心不全モデル及び冠動脈結紮に加えアンジオテンシンIIの投与により誘発した麻酔イヌ急性心不全モデルにおいて、心収縮力を低下させることなく心拍出量及び一回拍出量を用量依存的に増加させ、後負荷軽減作用を発現することにより急性心不全状態を改善した38)
    急性心不全患者において、心拍数に影響を及ぼすことなく、心係数の増加、全末梢血管抵抗の減少、肺動脈楔入圧の下降が認められた28)

  2. 18.4.2 心筋代謝に対する作用

    冠動脈結紮により誘発した麻酔イヌ虚血性急性心不全モデルにおいて抗心不全作用を発現するとともに冠動静脈間の酸素較差、二酸化炭素較差、pH較差及び心筋酸素消費量を減少させた。このとき、心筋乳酸摂取率に影響を与えなかった39)

18.5 臓器循環及び血液ガス

麻酔ネコにおいて血圧を下降させると同時に、心拍出量を増加させ、脳、心臓をはじめとする各種臓器の血流量を増加させた40)
麻酔下のヒト及びイヌ41) において、血液ガス(Po2、Pco2、pH)にはほとんど変化を及ぼさなかった。

18.6 利尿作用

覚醒時並びに麻酔時のヒトにおいて、腎血流量及び糸球体濾過値を増加させ、尿量の増加を認めた42)

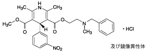
19. 有効成分に関する理化学的知見

一般的名称

ニカルジピン塩酸塩(Nicardipine Hydrochloride)

化学名

2-[Benzyl(methyl)amino]ethyl methyl(4RS)-2,6-dimethyl-4-(3-nitrophenyl)-1,4-dihydropyridine-3,5-dicarboxylate monohydrochloride

分子式

C26H29N3O6・HCl

分子量

515.99

性状

ニカルジピン塩酸塩はわずかに緑みを帯びた黄色の結晶性の粉末である。メタノール又は酢酸(100)に溶けやすく、エタノール(99.5)にやや溶けにくく、水、アセトニトリル又は無水酢酸に溶けにくい。本品のメタノール溶液(1→20)は旋光性を示さない。光によって徐々に変化する。

化学構造式

融点

167~171℃

22. 包装

  • 〈ペルジピン注射液2mg〉

    10アンプル[2mL(アンプル)×10]

  • 〈ペルジピン注射液10mg〉

    10アンプル[10mL(アンプル)×10]

  • 〈ペルジピン注射液25mg〉

    5アンプル[25mL(アンプル)×5]

23. 主要文献

1) 厚生省薬務局企画課監修: 医薬品相互作用ハンドブック. 薬業時報社 ; 1996. 96[PD-04034]

2) Physician’s Desk Reference 51Ed. Med. Econom. Co., Montvale ; 1995. 2815-2817[PD-10382]

3) 松田重三 編: この薬の多剤併用副作用. 医歯薬出版 ; 1994. 76-79[HY-00205]

4) 清水宏志 他: 基礎と臨床 1992; 26(5): 1681-1695[PD-01514]

5) 西田真希 他: 臨床麻酔 1999; 23(11): 1793-1794[PD-09119]

6) 伊賀立二 他: 治療 1994; 76(9): 2322-2327[PM-01395]

7) Capewell, S. et al.: Lancet 1988; 2: 480-482[PD-04037]

8) Woodcock, B. G. et al.: N. Engl. J. Med. 1991; 325(16): 1179[PD-04038]

9) 松田重三 編: この薬の多剤併用副作用. 医歯薬出版 ; 1994. 96-99[PD-10364]

10) Higuchi, S. et al.: Xenobiotica. 1980; 10(6): 447-454[PD-01590]

11) 江畑俊哉 他: 臨床麻酔 1985; 9(9): 1071-1075[PD-09773]

12) 千代孝夫 他: 薬理と治療 1995; 23(3): 717-727[PD-03043]

13) 平沢邦彦 他: 薬理と治療 1995; 23(4): 901-911[PD-03113]

14) Higuchi, S. et al.: Xenobiotica. 1980; 10(12): 889-896[PD-01589]

15) 社内報告書(全身麻酔下患者・蛋白結合)(D199700856-01.00, 1997)

16) 椎名 明 他: 基礎と臨床 1986; 20(2): 1114-1124[PD-00192]

17) Fukunaga, Y. et al.: ISSX Proceedings 1998; 13: 62[PD-09954]

18) 田中陽一 他: 臨床麻酔 1983; 7(10): 1399-1405[PD-0892]

19) 石井 奏 他: 基礎と臨床 1986; 20(1): 503-506[PD-00194]

20) 吉矢生人 他: 麻酔 1986; 35(4): 520-527[SJI-00162]

21) 松本信夫 他: 循環制御 1986; 7(2): 737-744[PD-00706]

22) 佐久間祝子 他: 臨床麻酔 1985; 9(4): 407-412[PD-00855]

23) 玉井 直 他: 麻酔 1986; 35(4): 528-539[SJI-00160]

24) 吉永 馨 他: 薬理と臨床 1993; 3(3): 245-263[PD-01817]

25) 吉永 馨 他: 医学のあゆみ 1993; 165(7): 437-456[PD-01801]

26) 木之下正彦 他: 薬理と治療 1995; 23(2): 345-355[PD-03002]

27) 弘田雄三 他: 薬理と治療 1995; 23(2): 357-374[PD-03003]

28) 久萬田俊明 他: 薬理と治療 1995; 23(2): 375-398[PD-03004]

29) 弘田雄三 他: 薬理と治療 1995; 23(3): 703-716[PD-03044]

30) 小川 宏 他: 薬理と治療 1995; 23(4): 887-900[PD-03114]

31) Terai, M. et al.: Biochem. Pharmacol. 1981; 30: 375-378[PD-01328]

32) Bristow, M.R. et al.: Br. J. Pharmacol. 1984; 82(2): 309-320[PD-05313]

33) 柴崎雅之 他: 基礎と臨床 1985; 19(14): 7044-7052[PD-00201]

34) 佐藤修一 他: 薬理と臨床 1993; 3(4): 309-315[PD-02090]

35) 竹中登一 他: 基礎と臨床 1980; 14(14): 4477-4494[PD-00377]

36) 柴崎雅之 他: 基礎と臨床 1986; 20(1): 177-180[PD-00196]

37) 柴崎雅之 他: 基礎と臨床 1988; 22(18): 6327-6332[SJA-01210]

38) 田中秀行 他: 薬理と臨床 1995; 5(3): 371-379[PD-04077]

39) 齋藤 親 他: 薬理と臨床 1995; 5(3): 381-388[PD-04076]

40) Hof, R.P.: Br. J. Pharmacol. 1983; 78 : 375-394[PD-01313]

41) 小杉 功 他: 基礎と臨床 1979; 13(4): 1186-1190[PD-00402]

42) 42)百瀬 隆: 基礎と臨床 1986; 20(7): 3867-3872[SJI-00214]

24. 文献請求先及び問い合わせ先

LTLファーマ株式会社 コールセンター

〒160-0023 東京都新宿区西新宿6丁目10番1号

フリーダイヤル0120-303-711

26. 製造販売業者等

26.1 製造販売

LTLファーマ株式会社

東京都新宿区西新宿6丁目10番1号

〒100-0013 東京都千代田区霞が関3-3-2 新霞が関ビル

画面を閉じる

Copyright © Pharmaceuticals and Medical Devices Agency, All Rights reserved.