医療用医薬品 詳細表示

サワシリンカプセル125/サワシリンカプセル250/サワシリン細粒10%/サワシリン錠250

処方せん医薬品

添付文書番号
企業コード
作成又は改訂年月
日本標準商品分類番号
薬効分類名
承認等
一般的名称
2.禁忌(次の患者には投与しないこと)
3.組成・性状
3.1組成
3.2製剤の性状
4.効能又は効果
5.効能又は効果に関連する注意
6.用法及び用量
7.用法及び用量に関連する注意
8.重要な基本的注意
9.特定の背景を有する患者に関する注意
9.1合併症・既往歴等のある患者
9.2腎機能障害患者
9.5妊婦
9.6授乳婦
9.7小児等
9.8高齢者
10.相互作用
10.2併用注意(併用に注意すること)
11.副作用
11.1重大な副作用
11.2その他の副作用
12.臨床検査結果に及ぼす影響
14.適用上の注意
15.その他の注意
15.2非臨床試験に基づく情報
16.薬物動態
16.1血中濃度
16.3分布
16.4代謝
16.5排泄
16.6特定の背景を有する患者
17.臨床成績
17.1有効性及び安全性に関する試験
18.薬効薬理
18.1作用機序
18.2抗菌作用
18.3ヘリコバクター・ピロリ感染症、ヘリコバクター・ピロリ感染胃炎に対するアモキシシリン水和物、クラリスロマイシン及びプロトンポンプインヒビターの3剤療法
19.有効成分に関する理化学的知見
20.取扱い上の注意
22.包装
23.主要文献
24.文献請求先及び問い合わせ先
26.製造販売業者等

サワシリンカプセル125/サワシリンカプセル250/サワシリン細粒10%/サワシリン錠250

添付文書番号

6131001C1210_2_09

企業コード

171911

作成又は改訂年月

**2025年8月改訂(第5版)
2025年5月改訂(第4版)

日本標準商品分類番号

876131

薬効分類名

合成ペニシリン製剤

承認等

サワシリンカプセル125

販売名コード

YJコード

6131001M1088

販売名英語表記

Sawacillin Capsules 125

販売名ひらがな

さわしりんかぷせる125

承認番号等

承認番号

22200AMX00974

販売開始年月

2011年5月

貯法・有効期間

貯法

室温保存

有効期間

3年

基準名

日本薬局方

アモキシシリンカプセル

サワシリンカプセル250

販売名コード

YJコード

6131001M2300

販売名英語表記

Sawacillin Capsules 250

販売名ひらがな

さわしりんかぷせる250

承認番号等

承認番号

22000AMX01586

販売開始年月

1975年1月

貯法・有効期間

貯法

室温保存

有効期間

3年

基準名

日本薬局方

アモキシシリンカプセル

サワシリン細粒10%

販売名コード

YJコード

6131001C1210

販売名英語表記

Sawacillin Fine Granules 10%

販売名ひらがな

さわしりんさいりゅう10%

承認番号等

承認番号

22000AMX01585

販売開始年月

1975年1月

貯法・有効期間

貯法

室温保存

有効期間

2年

サワシリン錠250

販売名コード

YJコード

6131001F2026

販売名英語表記

Sawacillin Tablets 250

販売名ひらがな

さわしりんじょう250

承認番号等

承認番号

15400EMZ00930

販売開始年月

1981年11月

貯法・有効期間

貯法

室温保存

有効期間

3年

一般的名称

アモキシシリン水和物Amoxicillin Hydrate

2. 禁忌(次の患者には投与しないこと)

  1. 2.1 本剤の成分に対し過敏症の既往歴のある患者,,,,
  2. 2.2 伝染性単核症の患者[発疹の発現頻度を高めるおそれがある。]

3. 組成・性状

3.1 組成

サワシリンカプセル125

有効成分日局 アモキシシリン水和物   125mg(力価)(1カプセル中)
添加剤ステアリン酸マグネシウム、ゼラチン、ラウリル硫酸ナトリウム、赤色102号、黄色5号、青色1号

サワシリンカプセル250

有効成分日局 アモキシシリン水和物   250mg(力価)(1カプセル中)
添加剤ステアリン酸マグネシウム、ゼラチン、ラウリル硫酸ナトリウム、赤色102号、黄色5号、青色1号

サワシリン細粒10%

有効成分日局 アモキシシリン水和物   100mg(力価)(1g中)
添加剤クエン酸ナトリウム水和物、安息香酸ナトリウム、白糖、香料、バニリン、プロピレングリコール、デキストリン、黄色5号アルミニウムレーキ

サワシリン錠250

有効成分日局 アモキシシリン水和物   250mg(力価)(1錠中)
添加剤白糖、カルメロースカルシウム、ヒドロキシプロピルセルロース、サッカリンナトリウム水和物、ステアリン酸マグネシウム、軽質無水ケイ酸、香料、デキストリン、黄色5号アルミニウムレーキ

3.2 製剤の性状

サワシリンカプセル125

剤形硬カプセル剤
色調褐色/白色
外形
号数3
質量約200mg

サワシリンカプセル250

剤形硬カプセル剤
色調褐色/白色
外形
号数2
質量約370mg

サワシリン細粒10%

剤形細粒
色調うすいだいだい色

サワシリン錠250

剤形素錠
色調うすいだいだい色
外形表面
裏面
側面
大きさ直径約10.0mm
厚さ約4.7mm
質量約380mg
識別コード250
SAW

4. 効能又は効果

  • サワシリンカプセル125サワシリンカプセル250サワシリン錠250
    • 〈適応菌種〉

      本剤に感性のブドウ球菌属、レンサ球菌属、肺炎球菌、腸球菌属、淋菌、大腸菌、プロテウス・ミラビリス、インフルエンザ菌、ヘリコバクター・ピロリ、梅毒トレポネーマ

    • 〈適応症〉

      **表在性皮膚感染症、深在性皮膚感染症、リンパ管・リンパ節炎、慢性膿皮症、外傷・熱傷及び手術創等の二次感染、びらん・潰瘍の二次感染、乳腺炎、骨髄炎、咽頭・喉頭炎、扁桃炎、急性気管支炎、肺炎、慢性呼吸器病変の二次感染、膀胱炎、腎盂腎炎、前立腺炎(急性症、慢性症)、精巣上体炎(副睾丸炎)、淋菌感染症、梅毒、子宮内感染、子宮付属器炎、子宮旁結合織炎、涙嚢炎、麦粒腫、中耳炎、歯周組織炎、歯冠周囲炎、顎炎、猩紅熱、胃潰瘍・十二指腸潰瘍・胃MALTリンパ腫・免疫性血小板減少症・早期胃癌に対する内視鏡的治療後胃におけるヘリコバクター・ピロリ感染症、ヘリコバクター・ピロリ感染胃炎

  • サワシリン細粒10%
    • 〈適応菌種〉

      本剤に感性のブドウ球菌属、レンサ球菌属、肺炎球菌、腸球菌属、淋菌、大腸菌、プロテウス・ミラビリス、インフルエンザ菌、ヘリコバクター・ピロリ、梅毒トレポネーマ

    • 〈適応症〉

      表在性皮膚感染症、深在性皮膚感染症、リンパ管・リンパ節炎、慢性膿皮症、外傷・熱傷及び手術創等の二次感染、びらん・潰瘍の二次感染、乳腺炎、骨髄炎、咽頭・喉頭炎、扁桃炎、急性気管支炎、肺炎、慢性呼吸器病変の二次感染、膀胱炎、腎盂腎炎、前立腺炎(急性症、慢性症)、精巣上体炎(副睾丸炎)、淋菌感染症、梅毒、子宮内感染、子宮付属器炎、子宮旁結合織炎、涙嚢炎、麦粒腫、中耳炎、歯周組織炎、歯冠周囲炎、顎炎、猩紅熱、胃潰瘍・十二指腸潰瘍におけるヘリコバクター・ピロリ感染症

5. 効能又は効果に関連する注意

  • 〈咽頭・喉頭炎、扁桃炎、急性気管支炎、中耳炎〉
    1. 5.1 「抗微生物薬適正使用の手引き」1) を参照し、抗菌薬投与の必要性を判断した上で、本剤の投与が適切と判断される場合に投与すること。
  • 〈ヘリコバクター・ピロリ感染症、ヘリコバクター・ピロリ感染胃炎〉
    1. 5.2 進行期胃MALTリンパ腫に対するヘリコバクター・ピロリ除菌治療の有効性は確立していない。
    2. 5.3 **免疫性血小板減少症に対しては、ガイドライン等を参照し、ヘリコバクター・ピロリ除菌治療が適切と判断される症例にのみ除菌治療を行うこと。
    3. 5.4 早期胃癌に対する内視鏡的治療後胃以外には、ヘリコバクター・ピロリ除菌治療による胃癌の発症抑制に対する有効性は確立していない。
    4. 5.5 ヘリコバクター・ピロリ感染胃炎に用いる際には、ヘリコバクター・ピロリが陽性であること及び内視鏡検査によりヘリコバクター・ピロリ感染胃炎であることを確認すること。

6. 用法及び用量

  • 〈製剤共通〉
    • 〈ヘリコバクター・ピロリ感染を除く感染症〉

      成人:アモキシシリン水和物として、通常1回250mg(力価)を1日3~4回経口投与する。
      なお、年齢、症状により適宜増減する。

      小児:アモキシシリン水和物として、通常1日20~40mg(力価)/kgを3~4回に分割経口投与する。
      なお、年齢、症状により適宜増減するが、1日量として最大90mg(力価)/kgを超えないこと。

  • サワシリンカプセル125サワシリンカプセル250サワシリン錠250
    • 〈ヘリコバクター・ピロリ感染症、ヘリコバクター・ピロリ感染胃炎〉
      • アモキシシリン水和物、クラリスロマイシン及びプロトンポンプインヒビター併用の場合
        通常、成人にはアモキシシリン水和物として1回750mg(力価)、クラリスロマイシンとして1回200mg(力価)及びプロトンポンプインヒビターの3剤を同時に1日2回、7日間経口投与する。
        なお、クラリスロマイシンは、必要に応じて適宜増量することができる。ただし、1回400mg(力価)1日2回を上限とする。
      • アモキシシリン水和物、クラリスロマイシン及びプロトンポンプインヒビター併用によるヘリコバクター・ピロリの除菌治療が不成功の場合
        通常、成人にはアモキシシリン水和物として1回750mg(力価)、メトロニダゾールとして1回250mg及びプロトンポンプインヒビターの3剤を同時に1日2回、7日間経口投与する。
  • サワシリン細粒10%
    • 〈胃潰瘍・十二指腸潰瘍におけるヘリコバクター・ピロリ感染症〉
      • アモキシシリン水和物、クラリスロマイシン及びランソプラゾール併用の場合
        通常、成人にはアモキシシリン水和物として1回750mg(力価)、クラリスロマイシンとして1回200mg(力価)及びランソプラゾールとして1回30mgの3剤を同時に1日2回、7日間経口投与する。
        なお、クラリスロマイシンは、必要に応じて適宜増量することができる。ただし、1回400mg(力価)1日2回を上限とする。
      • アモキシシリン水和物、クラリスロマイシン及びラベプラゾールナトリウム併用の場合
        通常、成人にはアモキシシリン水和物として1回750mg(力価)、クラリスロマイシンとして1回200mg(力価)及びラベプラゾールナトリウムとして1回10mgの3剤を同時に1日2回、7日間経口投与する。
        なお、クラリスロマイシンは、必要に応じて適宜増量することができる。ただし、1回400mg(力価)1日2回を上限とする。

7. 用法及び用量に関連する注意

  • 〈カプセル125、カプセル250、錠250〉
    • 〈ヘリコバクター・ピロリ感染症、ヘリコバクター・ピロリ感染胃炎〉

      プロトンポンプインヒビターはランソプラゾールとして1回30mg、オメプラゾールとして1回20mg、ラベプラゾールナトリウムとして1回10mg、エソメプラゾールとして1回20mg又はボノプラザンとして1回20mgのいずれか1剤を選択する。

8. 重要な基本的注意

  1. 8.1 本剤の使用にあたっては、耐性菌の発現等を防ぐため、原則として感受性を確認し、疾病の治療上必要な最小限の期間の投与にとどめること。
  2. 8.2 ショック、アナフィラキシー、アレルギー反応に伴う急性冠症候群、薬剤により誘発される胃腸炎症候群の発生を確実に予知できる方法はないが、事前に当該事象の既往歴等について十分な問診を行うこと。なお、抗生物質によるアレルギー歴は必ず確認すること。,,,,
  3. 8.3 顆粒球減少、血小板減少があらわれることがあるので、定期的に検査を行うなど観察を十分に行うこと。
  4. 8.4 黄疸、AST、ALTの上昇等があらわれることがあるので、定期的に検査を行うなど観察を十分に行うこと。
  5. 8.5 急性腎障害等の重篤な腎障害があらわれることがあるので、定期的に検査を行うなど観察を十分に行うこと。

9. 特定の背景を有する患者に関する注意

9.1 合併症・既往歴等のある患者

  1. 9.1.1 ペニシリン系又はセフェム系抗生物質に対し過敏症の既往歴のある患者(ただし、本剤に対し過敏症の既往歴のある患者には投与しないこと)

    ,,,,

  2. 9.1.2 本人又は両親、兄弟に気管支喘息、発疹、蕁麻疹等のアレルギー症状を起こしやすい体質を有する患者
  3. 9.1.3 経口摂取の不良な患者又は非経口栄養の患者、全身状態の悪い患者

    観察を十分に行うこと。ビタミンK欠乏症状があらわれることがある。

9.2 腎機能障害患者

  1. 9.2.1 高度の腎障害のある患者

    腎障害の程度に応じて投与量を減量し、投与の間隔をあけて使用すること。血中濃度が持続する。

9.5 妊婦

妊婦又は妊娠している可能性のある女性には、治療上の有益性が危険性を上回ると判断される場合にのみ投与すること。なお、動物試験(ラット)において、アモキシシリン水和物(500mg/kg/日)、クラリスロマイシン(160mg/kg/日)及びランソプラゾール(50mg/kg/日)を併用投与すると、母動物での毒性の増強とともに胎児の発育抑制の増強が認められている。また、ラットにアモキシシリン水和物(400mg/kg/日以上)、クラリスロマイシン(50mg/kg/日以上)及びラベプラゾールナトリウム(25mg/kg/日)を4週間併用投与した試験で、雌で栄養状態の悪化が認められている。

9.6 授乳婦

治療上の有益性及び母乳栄養の有益性を考慮し、授乳の継続又は中止を検討すること。母乳中へ移行することが報告されている。

9.7 小児等

  • 〈ヘリコバクター・ピロリ感染症、ヘリコバクター・ピロリ感染胃炎を除く感染症〉

    低出生体重児、新生児を対象とした有効性及び安全性を指標とした臨床試験は実施していない。

9.8 高齢者

次の点に注意し、用量並びに投与間隔に留意するなど患者の状態を観察しながら、慎重に投与すること。

  • 生理機能が低下していることが多く、副作用が発現しやすい。
  • ビタミンK欠乏による出血傾向があらわれることがある。

10. 相互作用

    10.2 併用注意(併用に注意すること)

    薬剤名等臨床症状・措置方法機序・危険因子

    ワルファリンカリウム

    ワルファリンカリウムの作用が増強されるおそれがある。

    腸内細菌によるビタミンKの産生を抑制することがある。

    経口避妊薬

    経口避妊薬の効果が減弱するおそれがある。

    腸内細菌叢を変化させ、経口避妊薬の腸肝循環による再吸収を抑制すると考えられている。

    プロベネシド

    本剤の血中濃度を増加させる。

    本剤の尿細管分泌を阻害し、尿中排泄を低下させると考えられている。

    *メトトレキサート

    メトトレキサートの副作用を増強させるおそれがある。

    メトトレキサートの尿細管分泌を阻害し、尿中排泄を低下させると考えられている。

    11. 副作用

    次の副作用があらわれることがあるので、観察を十分に行い、異常が認められた場合には投与を中止するなど適切な処置を行うこと。

    11.1 重大な副作用

    1. 11.1.1 ショック、アナフィラキシー(各0.1%未満)

      呼吸困難、全身潮紅、血管浮腫、蕁麻疹等を起こすことがあるので、不快感、口内異常感、喘鳴、眩暈、便意、耳鳴、発汗等があらわれた場合には投与を中止し、適切な処置を行うこと。,,

    2. 11.1.2 アレルギー反応に伴う急性冠症候群(頻度不明)

      ,,

    3. 11.1.3 薬剤により誘発される胃腸炎症候群(頻度不明)

      投与から数時間以内の反復性嘔吐を主症状とし、下痢、嗜眠、顔面蒼白、低血圧、腹痛、好中球増加等を伴う、食物蛋白誘発性胃腸炎に類似したアレルギー性の胃腸炎(Drug-induced enterocolitis syndrome)があらわれることがある。主に小児で報告されている。,,

    4. 11.1.4 中毒性表皮壊死融解症(Toxic Epidermal Necrolysis:TEN)、皮膚粘膜眼症候群(Stevens-Johnson症候群)(各0.1%未満)、多形紅斑、急性汎発性発疹性膿疱症、紅皮症(剥脱性皮膚炎)(いずれも頻度不明)

      発熱、頭痛、関節痛、皮膚や粘膜の紅斑・水疱、膿疱、皮膚の緊張感・灼熱感・疼痛等の異常が認められた場合には投与を中止し、適切な処置を行うこと。

    5. 11.1.5 顆粒球減少(0.1%未満)、血小板減少(頻度不明)

    6. 11.1.6 肝障害(頻度不明)

      黄疸(0.1%未満)、AST、ALTの上昇(各0.1%未満)等があらわれることがある。

    7. 11.1.7 腎障害(0.1%未満)

      急性腎障害等の重篤な腎障害があらわれることがある。

    8. 11.1.8 大腸炎(0.1%未満)

      偽膜性大腸炎、出血性大腸炎等の血便を伴う重篤な大腸炎があらわれることがある。腹痛、頻回の下痢があらわれた場合には直ちに投与を中止し、適切な処置を行うこと。

    9. 11.1.9 間質性肺炎、好酸球性肺炎(いずれも頻度不明)

      咳嗽、呼吸困難、発熱等が認められた場合には、速やかに胸部X線、胸部CT等の検査を実施すること。間質性肺炎、好酸球性肺炎が疑われた場合には投与を中止し、副腎皮質ホルモン剤の投与等の適切な処置を行うこと。

    10. 11.1.10 無菌性髄膜炎(頻度不明)

      項部硬直、発熱、頭痛、悪心・嘔吐あるいは意識混濁等を伴う無菌性髄膜炎があらわれることがある。

    11.2 その他の副作用

    • 〈ヘリコバクター・ピロリ感染を除く感染症〉

    0.1~5%未満

    0.1%未満

    頻度不明

    過敏症

    発疹

    発熱

    そう痒

    血液

    好酸球増多

    消化器

    下痢、悪心、嘔吐、食欲不振、腹痛

    黒毛舌

    *皮膚

    線状IgA水疱症

    菌交代症

    口内炎、カンジダ症

    ビタミン欠乏症

    ビタミンK欠乏症状(低プロトロンビン血症、出血傾向等)、ビタミンB群欠乏症状(舌炎、口内炎、食欲不振、神経炎等)

    その他

    梅毒患者において、ヤーリッシュ・ヘルクスハイマー反応(発熱、全身倦怠感、頭痛等の発現、病変部の増悪)が起こることがある。

    • 〈ヘリコバクター・ピロリ感染症、ヘリコバクター・ピロリ感染胃炎〉

    5%以上

    1~5%未満

    1%未満

    頻度不明

    消化器

    下痢(15.5%)、軟便(13.5%)、味覚異常

    腹痛、腹部膨満感、口内炎、便秘、食道炎

    口渇、悪心、舌炎、胃食道逆流、胸やけ、十二指腸炎、嘔吐、痔核、食欲不振

    黒毛舌

    肝臓

    AST上昇、ALT上昇、LDH上昇、γ-GTP上昇

    Al-P上昇、ビリルビン上昇

    血液

    好中球減少、好酸球増多

    貧血、白血球増多

    過敏症

    発疹

    そう痒

    精神神経系

    頭痛、しびれ感、めまい、眠気、不眠、うつ状態

    その他

    尿蛋白陽性、トリグリセリド上昇、総コレステロールの上昇・低下

    尿糖陽性、尿酸上昇、倦怠感、熱感、動悸、発熱、QT延長、カンジダ症、浮腫、血圧上昇、霧視

    12. 臨床検査結果に及ぼす影響

    • 〈ヘリコバクター・ピロリ感染症、ヘリコバクター・ピロリ感染胃炎〉

      ランソプラゾール等のプロトンポンプインヒビターやアモキシシリン水和物、クラリスロマイシン等の抗生物質及びメトロニダゾールの服用中や投与終了直後では、13C-尿素呼気試験の判定結果が偽陰性になる可能性があるため、13C-尿素呼気試験による除菌判定を行う場合には、これらの薬剤の投与終了後4週以降の時点で実施することが望ましい。

    14. 適用上の注意

    14.1 薬剤交付時の注意

    • 〈カプセル〉
      1. 14.1.1 PTP包装の薬剤はPTPシートから取り出して服用するよう指導すること。PTPシートの誤飲により、硬い鋭角部が食道粘膜へ刺入し、更には穿孔をおこして縦隔洞炎等の重篤な合併症を併発することがある。
    • 〈錠〉
      1. 14.1.2 吸湿性のため、服用直前に錠剤を取り出すよう注意のこと。

    15. その他の注意

    15.2 非臨床試験に基づく情報

    ラットにアモキシシリン水和物(2,000mg/kg/日)、ランソプラゾール(15mg/kg/日以上)を4週間併用経口投与した試験、及びイヌにアモキシシリン水和物(500mg/kg/日)、ランソプラゾール(100mg/kg/日)、クラリスロマイシン(25mg/kg/日)を4週間併用経口投与した試験で、アモキシシリン水和物を単独あるいは併用投与した動物に結晶尿が認められているが、結晶はアモキシシリン水和物が排尿後に析出したものであり、体内で析出したものではないことが確認されている。

    16. 薬物動態

    16.1 血中濃度

    1. 16.1.1 アモキシシリン水和物単独投与の場合

      カプセル250mg(力価)を健康成人へ空腹時単回投与すると、3.68μg/mLの最高血清中濃度が得られた2)

      250mg(力価)単回経口投与時の血清中濃度(成人)

      測定時間

      30分

      1時間

      2時間

      4時間

      6時間

      血清中濃度(μg/mL)

      1.06

      3.44

      3.68

      1.23

      0.32

      測定症例数

      46

      56

      56

      54

      54

    2. 16.1.2 アモキシシリン水和物、クラリスロマイシン及びランソプラゾール併用の場合

      健康成人6例にアモキシシリン水和物として1回1,000mg(力価)1) 、クラリスロマイシンとして1回400mg(力価)及びランソプラゾールとして1回30mgの3剤を同時に経口投与したとき、アモキシシリン水和物の薬物動態学的パラメータ(絶食下)は下表のとおりである。

      3剤併用時のアモキシシリン水和物の薬物動態学的パラメータ

      Tmax(hr)

      Cmax(μg/mL)

      t1/2(hr)

      AUC(μg・hr/mL)

      1.67±0.52

      10.05±1.62

      1.0±0.2

      29.04±7.15

      Mean±S.D.

      なお、3剤併用時の3剤各々の血中濃度は単独投与時の血中濃度とほぼ同様の推移を示す。
      また、健康成人7例に3剤を同様の用量で同時に1日2回7日間反復経口投与したとき、薬物動態に変化は認められていない。

    3. 16.1.3 アモキシシリン水和物、クラリスロマイシン及びオメプラゾール併用の場合

      健康成人にアモキシシリン水和物として1回750mg(力価)、クラリスロマイシンとして1回400mg(力価)及びオメプラゾールとして1回20mgの3剤を同時に1日2回7日間反復経口投与した場合、最終投与後のアモキシシリン水和物の血中濃度パラメータは下表のとおりである。

      3剤併用時のアモキシシリン水和物の薬物動態学的パラメータ

      Tmax(hr)

      Cmax(μg/mL)

      t1/2(hr)

      AUC0~∞(μg・hr/mL)

      4.2±1.1

      5.6878±1.7574

      1.15±0.14

      27.069±10.002

      n=11(※:n=3)
      Mean±S.D.

    4. 16.1.4 アモキシシリン水和物、クラリスロマイシン及びラベプラゾールナトリウム併用の場合

      健康成人にアモキシシリン水和物として1回750mg(力価)、クラリスロマイシンとして1回400mg(力価)及びラベプラゾールナトリウムとして1回20mg2) の3剤を同時に1日2回7日間反復経口投与した場合、最終投与後のアモキシシリン水和物の血中濃度パラメータは下表のとおりである。
      ただし、投与第1日目及び第7日目は1日1回朝経口投与(絶食下)とした(計12回)。

      3剤併用時のアモキシシリン水和物の薬物動態学的パラメータ

      Tmax(hr)

      Cmax(μg/mL)

      t1/2(hr)

      AUC0~12(μg・hr/mL)

      1.63±0.37

      9.86±2.79

      1.09±0.19

      25.82±5.41

      n=19(※:n=16)
      Mean±S.D.

    16.3 分布

    1. 16.3.1 乳汁中移行

      授乳婦6例にアモキシシリン水和物として500mg(力価)1) 単回経口投与後の乳汁中移行は投与後2~6時間後でtrace~0.6μg/mLであった3),4)

    16.4 代謝

    ヒトの血中及び尿中には抗菌活性代謝物質を認めなかった5)

    16.5 排泄

    カプセル250mg(力価)、500mg(力価)1) 経口投与時の尿中排泄率はそれぞれ52.7%、46.2%であった2) 。また、一部は胆汁中に排泄され、血清中濃度と胆汁中濃度を同時に測定した3例では胆汁中濃度のpeakは血清中濃度に比べて明らかに高かった6)

    16.6 特定の背景を有する患者

    1. 16.6.1 腎機能障害患者

      本剤250mg(力価)を空腹時単回投与したときの最高血中濃度は腎機能正常例(2例)の3.5μg/mLに対し、慢性腎不全例(5例)では7.7μg/mLとなり、半減期はそれぞれ0.97時間、12.6時間であった7)

    1) 「ヘリコバクター・ピロリ感染症、ヘリコバクター・ピロリ感染胃炎」においては、アモキシシリン水和物としての承認用量は通常1回750mg(力価)である。また、「ヘリコバクター・ピロリ感染を除く感染症」においては、アモキシシリン水和物としての承認用量は通常1回250mg(力価)である。
    2) 「ヘリコバクター・ピロリ感染症」においては、ラベプラゾールナトリウムとしての承認用量は通常1回10mgである。

    17. 臨床成績

    17.1 有効性及び安全性に関する試験

    • 〈ヘリコバクター・ピロリ感染を除く感染症〉
      1. 17.1.1 国内臨床試験

        1,335例の一般臨床試験(カプセル、細粒)における成績概要は次のとおりである。また、3種の二重盲検比較試験においても本剤の有用性が認められている8)

        疾患名

        有効率

        有効以上(%)

        やや有効以上(%)

        皮膚感染症

        表在性皮膚感染症(毛嚢炎、膿痂疹)

        23/35(65.7)

        34/35(97.1)

        深在性皮膚感染症(せつ、ひょう疽、蜂窩織炎等)

        52/68(76.5)

        59/68(86.8)

        リンパ管・リンパ節炎

        8/9(88.9)

        8/9(88.9)

        慢性膿皮症(感染粉瘤、膿瘍、膿皮症、ざ瘡)

        19/29(65.5)

        25/29(86.2)

        外科・整形外科領域感染症

        外傷・熱傷及び手術創等の二次感染

        11/20(55.0)

        15/20(75.0)

        びらん・潰瘍の二次感染

        3/7(42.9)

        5/7(71.4)

        乳腺炎

        7/10(70.0)

        8/10(80.0)

        骨髄炎

        6/9(66.7)

        6/9(66.7)

        呼吸器感染症

        咽頭炎

        9/10(90.0)

        9/10(90.0)

        扁桃炎

        80/95(84.2)

        82/95(86.3)

        気管支炎

        34/44(77.3)

        38/44(86.4)

        肺炎

        58/68(85.3)

        61/68(89.7)

        尿路感染症

        膀胱炎

        215/270(79.6)

        217/270(80.4)

        腎盂腎炎(腎盂腎炎、腎盂炎)

        41/63(65.1)

        43/63(68.3)

        前立腺炎

        16/19(84.2)

        16/19(84.2)

        精巣上体炎(副睾丸炎)

        2/2(-)

        2/2(-)

        淋菌感染症

        59/68(86.8)

        59/68(86.8)

        婦人科感染症

        子宮内感染

        27/35(77.1)

        27/35(77.1)

        子宮付属器炎

        31/38(81.6)

        32/38(84.2)

        子宮旁結合織炎

        2/4(-)

        2/4(-)

        眼科感染症

        涙嚢炎

        2/4(-)

        4/4(-)

        麦粒腫

        20/32(62.5)

        26/32(81.3)

        耳鼻科感染症

        中耳炎

        44/54(81.5)

        45/54(83.3)

        歯科・口腔外科領域感染症

        歯周組織炎(歯槽骨炎、歯根膿瘍)

        11/14(78.6)

        11/14(78.6)

        歯冠周囲炎(智歯周囲炎)

        9/14(64.3)

        12/14(85.7)

        顎炎(顎骨周囲炎、急性顎炎)

        12/18(66.7)

        16/18(88.9)

        猩紅熱

        42/43(97.7)

        43/43(100)

    • 〈ヘリコバクター・ピロリ感染症〉
      1. 17.1.2 国内臨床試験(アモキシシリン水和物、クラリスロマイシン及びランソプラゾール併用時)

        ヘリコバクター・ピロリ陽性の胃潰瘍又は十二指腸潰瘍の患者を対象とした除菌の臨床試験(アモキシシリン水和物、クラリスロマイシン及びランソプラゾールの3剤療法)における除菌率は下表のとおりである。

        ※培養法及び組織診断法の結果がいずれも陰性

        胃潰瘍における除菌率(7日間経口投与)

        各薬剤の1回投与量

        投与回数

        除菌率

        アモキシシリン水和物 750mg(力価)
        クラリスロマイシン 200mg(力価)
        ランソプラゾール 30mg

        2回/日

        87.5%
        (84/96例)

        アモキシシリン水和物 750mg(力価)
        クラリスロマイシン 400mg(力価)
        ランソプラゾール 30mg

        2回/日

        89.2%
        (83/93例)

        除菌率は基本解析対象集団を対象とした

        十二指腸潰瘍における除菌率(7日間経口投与)

        各薬剤の1回投与量

        投与回数

        除菌率

        アモキシシリン水和物 750mg(力価)
        クラリスロマイシン 200mg(力価)
        ランソプラゾール 30mg

        2回/日

        91.1%
        (82/90例)

        アモキシシリン水和物 750mg(力価)
        クラリスロマイシン 400mg(力価)
        ランソプラゾール 30mg

        2回/日

        83.7%
        (82/98例)

        除菌率は基本解析対象集団を対象とした

        臨床検査値の異常変動を含む副作用は、430例中217例(50.5%)に認められた。主な副作用は、軟便59例(13.7%)、下痢38例(8.8%)であった。
        なお、米国及び英国で行われたヘリコバクター・ピロリ陽性の十二指腸潰瘍等に対する除菌の臨床試験3) においても、同程度の除菌率が認められている。
        臨床検査値の異常変動を含む副作用は、548例中179例(32.7%)に認められている。

        3) 各薬剤の投与量、投与期間は下記のとおりであり、国内の承認用法・用量と異なる。
        米国:アモキシシリン水和物として1回1,000mg(力価)、クラリスロマイシンとして1回500mg(力価)及びランソプラゾールとして1回30mgの3剤を1日2回、10日間又は14日間経口投与
        英国:アモキシシリン水和物として1回1,000mg(力価)、クラリスロマイシンとして1回250mg(力価)及びランソプラゾールとして1回30mgの3剤を1日2回、7日間経口投与

      2. 17.1.3 国内臨床試験(アモキシシリン水和物、クラリスロマイシン及びオメプラゾール併用時)

        ヘリコバクター・ピロリ陽性の胃潰瘍又は十二指腸潰瘍の患者を対象とした国内の臨床試験における除菌率は下表のとおりである。

        胃潰瘍・十二指腸潰瘍における除菌率(7日間経口投与)

        各薬剤の1回投与量

        投与回数

        除菌率

        胃潰瘍

        十二指腸潰瘍

        アモキシシリン水和物 750mg(力価)
        クラリスロマイシン 400mg(力価)
        オメプラゾール 20mg

        2回/日

        75.9%
        (44/58)

        81.8%
        (45/55)

        78.8%
        (89/113)

        ( )内は例数

        臨床検査値の異常変動を含む副作用は、113例中67例(59.3%)に認められた。主な副作用は、下痢24例(21.2%)、軟便21例(18.6%)であった。
        なお、海外において、活動期又は瘢痕期の十二指腸潰瘍患者、活動期の胃潰瘍患者を対象とした試験4) においても、同程度の除菌率が得られている。

        4) 各薬剤の投与量、投与期間は下記のとおりであり、国内の承認用法・用量と異なる。
        アモキシシリン水和物として1回1,000mg(力価)、クラリスロマイシンとして1回500mg(力価)及びオメプラゾールとして1回20mgの3剤を1日2回、7日間経口投与

      3. 17.1.4 国内臨床試験(アモキシシリン水和物、クラリスロマイシン及びラベプラゾールナトリウム併用時)

        ヘリコバクター・ピロリ陽性の胃潰瘍又は十二指腸潰瘍の患者を対象とした国内の臨床試験における除菌率は下表のとおりである。

        胃潰瘍・十二指腸潰瘍における除菌率(7日間経口投与)

        各薬剤の1回投与量

        投与回数

        除菌率

        胃潰瘍

        十二指腸潰瘍

        アモキシシリン水和物 750mg(力価)
        クラリスロマイシン 200mg(力価)
        ラベプラゾールナトリウム 10mg

        2回/日

        87.7%
        (57/65)

        83.3%
        (45/54)

        85.7%
        (102/119)

        アモキシシリン水和物 750mg(力価)
        クラリスロマイシン 400mg(力価)
        ラベプラゾールナトリウム 10mg

        2回/日

        89.7%
        (61/68)

        87.8%
        (36/41)

        89.0%
        (97/109)

        ( )内は例数

        臨床検査値の異常変動を含む副作用は、252例中95例(37.7%)に認められた。主な副作用は、下痢42例(16.7%)、軟便26例(10.3%)であった。
        なお、海外で行われたヘリコバクター・ピロリ陽性の胃・十二指腸潰瘍等に対する除菌の臨床試験5) においても、同程度の除菌率が得られている。

        5) 各薬剤の投与量、投与期間は下記のとおりであり、国内の承認用法・用量と異なる。
        アモキシシリン水和物として1回1,000mg(力価)、クラリスロマイシンとして1回500mg(力価)及びラベプラゾールナトリウムとして1回20mgの3剤を1日2回、7日間経口投与

    18. 薬効薬理

    18.1 作用機序

    細菌の細胞壁の合成を阻害する。

    18.2 抗菌作用

    1. 18.2.1 ブドウ球菌属、レンサ球菌属、肺炎球菌、腸球菌属等のグラム陽性菌、及び淋菌、大腸菌、プロテウス・ミラビリス、インフルエンザ菌等のグラム陰性菌に対し抗菌作用を示す。作用形式は殺菌的であり、殺菌作用はアンピシリンより強い9),10),11),12)in vitro)。
    2. 18.2.2 ヘリコバクター・ピロリに対する作用
      1. (1) 殺菌的な抗菌作用を示す(in vitro)。
      2. (2) アモキシシリン水和物とクラリスロマイシンとの併用における抗菌力には、相乗又は相加作用が認められ、いずれの菌株においても拮抗作用は認められていない(in vitro)。

    18.3 ヘリコバクター・ピロリ感染症、ヘリコバクター・ピロリ感染胃炎に対するアモキシシリン水和物、クラリスロマイシン及びプロトンポンプインヒビターの3剤療法

    1. 18.3.1 アモキシシリン水和物及びクラリスロマイシンともにランソプラゾールとの併用により、経口投与後の胃組織中濃度の上昇が認められる(ラット)。
    2. 18.3.2 プロトンポンプインヒビターの強力な胃酸分泌抑制作用により胃内pHを上昇させることにより、アモキシシリン水和物及びクラリスロマイシンの抗菌活性が高まると考えられる。

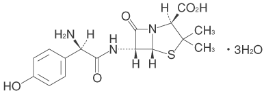
    19. 有効成分に関する理化学的知見

    一般的名称

    アモキシシリン水和物(Amoxicillin Hydrate)

    化学名

    (2S,5R,6R)-6-[(2R)-2-Amino-2-(4-hydroxyphenyl)acetylamino]-3,3-dimethyl-7-oxo-4-thia-1-azabicyclo[3.2.0]heptane-2-carboxylic acid trihydrate

    分子式

    C16H19N3O5S・3H2O

    分子量

    419.45

    性状

    アモキシシリン水和物は白色~淡黄白色の結晶又は結晶性の粉末である。水又はメタノールに溶けにくく、エタノール(95)に極めて溶けにくい。

    化学構造式

    融点

    約195℃(分解)

    略号

    AMPC

    20. 取扱い上の注意

    • 〈製剤共通〉
      1. 20.1 湿気を避けて保存すること。
    • 〈錠〉
      1. 20.2 吸湿性のため防湿包装のまま保存すること。加湿虐待条件下で外観変化がみられる。

    22. 包装

    • サワシリンカプセル125

      100カプセル[10カプセル(PTP)×10]

    • サワシリンカプセル250

      100カプセル[10カプセル(PTP)×10]
      500カプセル[10カプセル(PTP)×50]

    • サワシリン細粒10%

      100g[瓶、乾燥剤セットキャップ]

    • サワシリン錠250

      100錠[10錠(SP)×10]

    24. 文献請求先及び問い合わせ先

    LTLファーマ株式会社 コールセンター

    〒160-0023 東京都新宿区西新宿6丁目10番1号

    フリーダイヤル0120-303-711

    26. 製造販売業者等

    26.1 製造販売

    LTLファーマ株式会社

    東京都新宿区西新宿6丁目10番1号

    〒100-0013 東京都千代田区霞が関3-3-2 新霞が関ビル

    画面を閉じる

    Copyright © Pharmaceuticals and Medical Devices Agency, All Rights reserved.