医療用医薬品 詳細表示

ミケラン細粒1%

処方せん医薬品

添付文書番号
企業コード
作成又は改訂年月
日本標準商品分類番号
薬効分類名
承認等
一般的名称
2.禁忌(次の患者には投与しないこと)
3.組成・性状
3.1組成
3.2製剤の性状
4.効能又は効果
6.用法及び用量
7.用法及び用量に関連する注意
8.重要な基本的注意
9.特定の背景を有する患者に関する注意
9.1合併症・既往歴等のある患者
9.2腎機能障害患者
9.3肝機能障害患者
9.5妊婦
9.6授乳婦
9.7小児等
9.8高齢者
10.相互作用
10.2併用注意(併用に注意すること)
11.副作用
11.1重大な副作用
11.2その他の副作用
13.過量投与
15.その他の注意
15.1臨床使用に基づく情報
16.薬物動態
16.1血中濃度
16.3分布
16.4代謝
16.5排泄
17.臨床成績
17.1有効性及び安全性に関する試験
18.薬効薬理
18.1作用機序
19.有効成分に関する理化学的知見
22.包装
23.主要文献
24.文献請求先及び問い合わせ先
26.製造販売業者等

ミケラン細粒1%

添付文書番号

2123005C2036_1_10

企業コード

180078

作成又は改訂年月

2023年5月改訂(第1版)

日本標準商品分類番号

872123

薬効分類名

βブロッカー

承認等

ミケラン細粒1%

販売名コード

YJコード

2123005C2036

販売名英語表記

Mikelan fine granules 1%

販売名ひらがな

みけらんさいりゅう1%

承認番号等

承認番号

21800AMX10527

販売開始年月

1980年12月

貯法・有効期間

貯法

室温保存

有効期間

60箇月

一般的名称

カルテオロール塩酸塩細粒

2. 禁忌(次の患者には投与しないこと)

  1. 2.1 本剤の成分に対し過敏症の既往歴のある患者
  2. 2.2 気管支喘息、気管支痙攣のおそれのある患者[気管支筋収縮作用により、喘息症状の誘発、悪化を起こすおそれがある。]
  3. 2.3 糖尿病性ケトアシドーシス、代謝性アシドーシスのある患者[アシドーシスによる心筋収縮力の抑制を増強するおそれがある。]
  4. 2.4 高度の徐脈(著しい洞性徐脈)、房室ブロック(Ⅱ、Ⅲ度)、洞不全症候群、洞房ブロックのある患者[刺激伝導系に対し抑制的に作用し、症状を悪化させるおそれがある。]
  5. 2.5 心原性ショックの患者[心拍出量抑制作用により、症状が悪化するおそれがある。]
  6. 2.6 肺高血圧による右心不全のある患者[心拍出量抑制作用により、症状が悪化するおそれがある。]
  7. 2.7 うっ血性心不全のある患者[心収縮力抑制作用により、症状が悪化するおそれがある。]
  8. 2.8 低血圧症の患者[降圧作用により症状を悪化させるおそれがある。]
  9. 2.9 *未治療の褐色細胞腫又はパラガングリオーマの患者,
  10. 2.10 妊婦又は妊娠している可能性のある女性

3. 組成・性状

3.1 組成

ミケラン細粒1%

有効成分1g中カルテオロール塩酸塩   10mg
添加剤サッカリンナトリウム水和物、乳糖水和物、D-マンニトール、精製白糖、トウモロコシデンプン、軽質無水ケイ酸、ヒプロメロース

3.2 製剤の性状

ミケラン細粒1%

性状本剤は白色の細粒で、においはなく、味はわずかに苦い。

4. 効能又は効果

狭心症、心臓神経症、不整脈(洞性頻脈、頻脈型不整脈、上室性期外収縮、心室性期外収縮)

6. 用法及び用量

通常、成人にはカルテオロール塩酸塩として、1日10~15mgより投与をはじめ、効果が不十分な場合には30mgまで漸増し、1日2~3回に分割経口投与する。なお、年齢・症状に応じ適宜増減する。

7. 用法及び用量に関連する注意

  1. 7.1 1日あたりの製剤量は以下のとおりである。

    成分量(1日投与量)

    製剤量(1日投与量)

    カルテオロール塩酸塩として10~15mg
    カルテオロール塩酸塩として30mg

    1~1.5g
    3g

  2. 7.2 *褐色細胞腫又はパラガングリオーマの患者では、α遮断剤で初期治療を行った後に本剤を投与し、常にα遮断剤を併用すること。,

8. 重要な基本的注意

  1. 8.1 投与が長期にわたる場合は、心機能検査(脈拍、血圧、心電図、X線等)を定期的に行うこと。特に徐脈になったとき及び低血圧を起こした場合には減量又は中止すること。また、必要に応じアトロピン硫酸塩水和物を使用すること。なお、肝機能、腎機能、血液像等に注意すること。
  2. 8.2 類似化合物(プロプラノロール塩酸塩)使用中の狭心症の患者で、急に投与を中止したとき、症状が悪化したり、心筋梗塞を起こした症例が報告されているので、休薬を要する場合は徐々に減量し、観察を十分に行うこと。また、患者に医師の指示なしに服薬を中止しないよう注意すること。狭心症以外の適用、例えば不整脈で投与する場合でも、特に高齢者においては同様の注意をすること。
  3. 8.3 手術前24時間は投与しないことが望ましい。
  4. 8.4 めまい・ふらつきがあらわれることがあるので、本剤投与中の患者(特に投与初期)には、自動車の運転等危険を伴う機械の操作に従事させないように注意すること。

9. 特定の背景を有する患者に関する注意

9.1 合併症・既往歴等のある患者

  1. 9.1.1 うっ血性心不全のおそれのある患者

    観察を十分に行い、ジギタリス剤を併用するなど慎重に投与すること。心収縮力抑制作用により、症状を悪化させるおそれがある。

  2. 9.1.2 特発性低血糖症、コントロール不十分な糖尿病、長期間絶食状態の患者

    血糖値に注意すること。低血糖症状を起こしやすく、かつ症状をマスクしやすい。

  3. 9.1.3 徐脈、房室ブロック(Ⅰ度)のある患者

    心刺激伝導系を抑制し、症状を悪化させるおそれがある。

  4. 9.1.4 末梢循環障害のある患者(レイノー症候群、間欠性跛行症等)

    末梢血管収縮作用により、症状が悪化するおそれがある。

  5. 9.1.5 甲状腺中毒症の患者

    休薬を要する場合には徐々に減量し、観察を十分に行うこと。急に投与を中止すると、症状を悪化させることがある。また、頻脈等の中毒症状をマスクすることがある。

  6. 9.1.6 異型狭心症の患者

    類薬で症状を悪化させたとの報告がある。

  7. 9.1.7 *褐色細胞腫又はパラガングリオーマの患者

    本剤の単独投与により急激に血圧が上昇することがある。,

9.2 腎機能障害患者

  1. 9.2.1 重篤な腎機能障害のある患者

    薬物動態の影響等で副作用が出現するおそれがある。

9.3 肝機能障害患者

  1. 9.3.1 重篤な肝機能障害のある患者

    薬物代謝の遅延等で副作用が出現するおそれがある。

9.5 妊婦

妊婦又は妊娠している可能性のある女性には投与しないこと。

9.6 授乳婦

治療上の有益性及び母乳栄養の有益性を考慮し、授乳の継続又は中止を検討すること。動物実験(ラット)で乳汁中への移行が報告されている。

9.7 小児等

  1. 9.7.1 小児等を対象とした臨床試験は実施していない。
  2. 9.7.2 低血糖症状があらわれた場合には、経口摂取可能な状態では角砂糖、あめ等の糖分の摂取、意識障害、痙攣を伴う場合には、ブドウ糖の静注等を行い、十分に経過観察すること。小児用カルテオロール塩酸塩製剤で、低血糖による意識障害、痙攣が報告されている。

9.8 高齢者

以下の点に注意し、少量から投与を開始するなど患者の状態を観察しながら慎重に投与すること。

  • 一般に過度の血圧降下、高度の徐脈が起きた場合には脳梗塞等が起こるおそれがあるとされている。
  • 休薬を要する場合は、徐々に減量すること。

10. 相互作用

    10.2 併用注意(併用に注意すること)

    薬剤名等臨床症状・措置方法機序・危険因子

    交感神経系に対し抑制的に作用する他の薬剤

    • レセルピン等

    過剰の交感神経抑制を来すことがあるので、減量するなど慎重に投与すること。

    相加的に交感神経抑制作用を増強させる。

    血糖降下剤

    • インスリン
    • トルブタミド
    • アセトヘキサミド等

    血糖降下作用が増強することがある。また、低血糖症状(頻脈、発汗等)をマスクすることがあるので、血糖値に注意すること。

    低血糖に伴う交感神経系の症状をマスクしたり、β遮断作用により低血糖の回復を遅れさせる。

    カルシウム拮抗剤

    • ベラパミル塩酸塩
    • ジルチアゼム塩酸塩

    徐脈、房室ブロック等の伝導障害、うっ血性心不全があらわれることがある。併用する場合には用量に注意すること。

    相互に作用が増強される。

    クロニジン塩酸塩
    グアナベンズ酢酸塩

    クロニジン塩酸塩、グアナベンズ酢酸塩投与中止後のリバウンド現象を増強するおそれがある。β遮断剤を先に中止し、クロニジン塩酸塩、グアナベンズ酢酸塩を徐々に減量すること。

    クロニジン塩酸塩はα2受容体に選択的に作用し、ノルアドレナリンの遊離を抑制しているため、急激な中止によって血中カテコラミンの上昇が起こる。この時、β受容体遮断薬を併用すると上昇したカテコラミンの作用のうち、β受容体刺激作用が遮断され、α受容体刺激作用だけが残り、急激な血圧上昇が起こるおそれがある。グアナベンズ酢酸塩も作用機序から同様な反応が予想される。

    クラスⅠ抗不整脈剤

    • リン酸ジソピラミド
    • プロカインアミド塩酸塩等

    過度の心機能抑制があらわれるおそれがあるので、減量するなど注意すること。

    相加的に心機能抑制作用を増強させる。

    ジギタリス製剤

    徐脈、房室ブロック等の伝導障害があらわれるおそれがあるので、心機能に注意すること。

    相加的に心刺激伝導抑制作用を増強させる。

    非ステロイド性抗炎症剤

    • インドメタシン等

    本剤の降圧作用が減弱するおそれがある。

    非ステロイド性抗炎症剤は、血管拡張作用を有するプロスタグランジンの合成・遊離を阻害する。

    降圧作用を有する他の薬剤

    • 降圧剤
    • 硝酸剤等

    降圧作用が増強するおそれがある。
    併用する場合には、用量に注意すること。

    降圧作用を増強させる。

    11. 副作用

    次の副作用があらわれることがあるので、観察を十分に行い、異常が認められた場合には投与を中止するなど適切な処置を行うこと。

    11.1 重大な副作用

    1. 11.1.1 房室ブロック(頻度不明)、洞不全症候群(頻度不明)、洞房ブロック(頻度不明)、洞停止(頻度不明)等の徐脈性不整脈、うっ血性心不全(又はその悪化)(0.1~5%未満)、冠攣縮性狭心症(頻度不明)

      定期的に心機能検査を行い、必要に応じ、減量又は中止するなど適切な処置を行うこと。

    2. 11.1.2 失神(頻度不明)

      高度な徐脈に伴う失神があらわれることがある。

    11.2 その他の副作用

    0.1~5%未満

    0.1%未満

    頻度不明

    循環器

    めまい・ふらつき・立ちくらみ、徐脈、動悸、息切れ、低血圧

    胸痛

    精神神経系

    頭痛・頭重感、眠気、不眠、振戦、抑うつ感

    耳鳴、不安感、悪夢、耳の蟻走感

    消化器

    腹部不快感、嘔気、下痢、腹痛、便秘

    食欲不振、鼓腸

    口内炎

    呼吸器

    呼吸困難、咳・痰

    喘息様症状、上気道閉塞感

    目がしょぼつく

    霧視、涙液分泌減少

    過敏症

    皮疹

    皮膚そう痒感

    肝臓

    AST、ALT、LDHの上昇

    その他

    倦怠感、脱力感、浮腫、ほてり、疲労感

    頻尿

    筋肉痛、血糖値の低下、総コレステロール値の上昇、手足のしびれ、下肢冷感、発汗、腓腸筋痙攣(こむらがえり)、血清CK値の上昇

    13. 過量投与

    1. 13.1 症状

      過量投与により、徐脈、完全房室ブロック、心不全、低血圧、気管支痙攣等があらわれることがある。

    2. 13.2 処置

      以下の処置の間は常に観察下におくこと。

      • 徐脈、完全房室ブロック:アトロピン硫酸塩水和物、イソプレナリン等の投与や心臓ペーシングを適用すること。
      • 心不全、低血圧:強心剤、昇圧剤、輸液等の投与や補助循環を適用すること。
      • 気管支痙攣:β2刺激剤又はアミノフィリン水和物を静注等の投与や補助呼吸を適用すること。

    15. その他の注意

    15.1 臨床使用に基づく情報

    β遮断剤服用中の患者では、他の薬剤によるアナフィラキシー反応がより重篤になることがあり、また、通常用量のアドレナリンによる治療に抵抗するとの報告がある。

    16. 薬物動態

    16.1 血中濃度

    健康成人19例にカルテオロール塩酸塩10~30mgを単回経口投与した時、速やかに吸収され、血中濃度は約1時間後に最高に達した。血中濃度の半減期は約5時間であった1)

    16.3 分布

    ヒト血漿蛋白結合率は約15%であった2)in vitro、平衡透析法)。

    16.4 代謝

    カルテオロールは、ヒト肝ミクロゾームチトクロームP450の分子種のうち、主としてCYP2D6により代謝され、8-ヒドロキシカルテオロールが生成される3)in vitro)。なお、代謝物に未変化体をしのぐ薬理作用・毒性は認められていない4),5)

    16.5 排泄

    健康成人にカルテオロール塩酸塩10~30mgを経口投与した時、その約70%が未変化体として尿中に排泄され、一部は水酸化されて8-ヒドロキシカルテオロールとして排泄された1)

    17. 臨床成績

    17.1 有効性及び安全性に関する試験

    • 〈狭心症〉
      1. 17.1.1 国内臨床試験

        狭心症患者を対象とした二重盲検比較試験を含む臨床試験(4注)~16mg/日)において、本剤の有効率は83.6%(163/195例)であった。また、プロプラノロール塩酸塩を対照薬とする二重盲検比較試験によって本剤の有用性が確認されている6)

    • 〈心臓神経症〉
      1. 17.1.2 国内臨床試験

        心臓神経症患者を対象とした二重盲検比較試験を含む臨床試験(3注)~15mg/日)において、本剤の有効率は73.5%(83/113例)であった。また、二重盲検比較試験によって本剤の有用性が確認されている7)

    • 〈不整脈〉
      1. 17.1.3 国内臨床試験

        不整脈(洞性頻脈、頻脈型不整脈、上室性期外収縮、心室性期外収縮)患者を対象とした二重盲検比較試験を含む臨床試験(1注)~30mg/日)において、本剤の有効率は72.1%(592/821例)であった。また、プロプラノロール塩酸塩を対照薬とする二重盲検比較試験によって本剤の有用性が確認されている8),9)

    注)本剤の承認された1日用量は、10~15mgよりはじめ、効果不十分な場合には30mgまで漸増し、1日2~3回分割経口投与である。

    18. 薬効薬理

    18.1 作用機序

    カルテオロール塩酸塩は強力なアドレナリン性β受容体遮断作用を示す10),11),12)。これが心臓神経症、不整脈及び狭心症治療薬としての本剤の主たる薬理作用である。

    18.2 アドレナリン性β受容体遮断作用

    麻酔犬及びその摘出臓器を用いた実験において、カルテオロール塩酸塩は心臓神経刺激あるいは体液性因子による心拍数上昇、心筋収縮力増大に拮抗した10),11),12)

    18.3 作用持続時間

    1. 18.3.1 麻酔犬において、カルテオロール塩酸塩のアドレナリン性β受容体遮断作用は長時間持続した13)
    2. 18.3.2 健康成人での運動負荷試験において、カルテオロール塩酸塩の心拍数上昇抑制効果は長時間持続した14)

    18.4 内因性交感神経刺激様作用(ISA)

    1. 18.4.1 麻酔開胸犬において、カルテオロール塩酸塩はアドレナリン性β受容体遮断用量での陰性変時・変力作用は弱く、大量投与で心臓興奮作用があらわれ、除神経・レセルピン処理下では低用量からそれが明確にあらわれた11),15)
    2. 18.4.2 健康成人において、カルテオロール塩酸塩は安静時の心拍数に影響を与えず、心機能抑制作用も弱いことが確認された16)

    18.5 実験的不整脈に対する作用

    イヌにおいて、カルテオロール塩酸塩はアドレナリン不整脈・冠動脈結紮不整脈及びアコニチン不整脈に対して抗不整脈作用を示した17)

    18.6 抗狭心症作用

    冠動脈結紮犬において、カルテオロール塩酸塩は冠側副血行路を介しての心臓の血流分布改善作用と虚血心筋で生じるグリコーゲン代謝の亢進を抑制させる作用が確認された18),19)

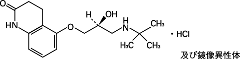
    19. 有効成分に関する理化学的知見

    一般的名称

    カルテオロール塩酸塩〔Carteolol Hydrochloride(JAN)〕

    化学名

    5-[(2RS)-3-(1,1-Dimethylethyl)amino-2-hydroxypropyloxy]-3,4-dihydroquinolin-2(1H)-one monohydrochloride

    分子式

    C16H24N2O3・HCl

    分子量

    328.83

    性状

    白色の結晶又は結晶性の粉末である。水にやや溶けやすく、メタノールにやや溶けにくく、エタノール(95)又は酢酸(100)に極めて溶けにくく、ジエチルエーテルにほとんど溶けない。本品1.0gを水100mLに溶かした液のpHは5.0~6.0である。水溶液(1→20)は旋光性を示さない。

    化学構造式

    融点

    約277℃(分解)

    22. 包装

    プラスチックボトル:500g

    24. 文献請求先及び問い合わせ先

    大塚製薬株式会社 医薬情報センター

    〒108-8242 東京都港区港南2-16-4
    品川グランドセントラルタワー

    電話 0120-189-840
    FAX 03-6717-1414

    26. 製造販売業者等

    26.1 製造販売元

    大塚製薬株式会社

    東京都千代田区神田司町2-9

    〒100-0013 東京都千代田区霞が関3-3-2 新霞が関ビル

    画面を閉じる

    Copyright © Pharmaceuticals and Medical Devices Agency, All Rights reserved.