医療用医薬品 詳細表示

サムスカOD錠7.5mg/サムスカOD錠15mg/サムスカOD錠30mg/サムスカ顆粒1%

処方せん医薬品

添付文書番号
企業コード
作成又は改訂年月
日本標準商品分類番号
薬効分類名
承認等
一般的名称
1.警告
2.禁忌(次の患者には投与しないこと)
3.組成・性状
3.1組成
3.2製剤の性状
4.効能又は効果
5.効能又は効果に関連する注意
6.用法及び用量
7.用法及び用量に関連する注意
8.重要な基本的注意
9.特定の背景を有する患者に関する注意
9.1合併症・既往歴等のある患者
9.2腎機能障害患者
9.3肝機能障害患者
9.4生殖能を有する者
9.5妊婦
9.6授乳婦
9.7小児等
9.8高齢者
10.相互作用
10.2併用注意(併用に注意すること)
11.副作用
11.1重大な副作用
11.2その他の副作用
13.過量投与
14.適用上の注意
15.その他の注意
15.1臨床使用に基づく情報
16.薬物動態
16.1血中濃度
16.2吸収
16.3分布
16.4代謝
16.5排泄
16.6特定の背景を有する患者
16.7薬物相互作用
17.臨床成績
17.1有効性及び安全性に関する試験
18.薬効薬理
18.1作用機序
19.有効成分に関する理化学的知見
20.取扱い上の注意
21.承認条件
22.包装
23.主要文献
24.文献請求先及び問い合わせ先
26.製造販売業者等

サムスカOD錠7.5mg/サムスカOD錠15mg/サムスカOD錠30mg/サムスカ顆粒1%

添付文書番号

2139011D1022_1_13

企業コード

180078

作成又は改訂年月

**2025年12月改訂(第6版、再審査結果)
2022年5月改訂(第5版)

日本標準商品分類番号

872139
87249

薬効分類名

V2-受容体拮抗剤

承認等

サムスカOD錠7.5mg

販売名コード

YJコード

2139011F3026

販売名英語表記

Samsca OD tablets

販売名ひらがな

さむすかおーでぃーじょう7.5mg

承認番号等

承認番号

30100AMX00226

販売開始年月

2019年11月

貯法・有効期間

貯法

室温保存

有効期間

36箇月

サムスカOD錠15mg

販売名コード

YJコード

2139011F4022

販売名英語表記

Samsca OD tablets

販売名ひらがな

さむすかおーでぃーじょう15mg

承認番号等

承認番号

30100AMX00227

販売開始年月

2019年11月

貯法・有効期間

貯法

室温保存

有効期間

36箇月

サムスカOD錠30mg

販売名コード

YJコード

2499012F2029

販売名英語表記

Samsca OD tablets

販売名ひらがな

さむすかおーでぃーじょう30mg

承認番号等

承認番号

30100AMX00228

販売開始年月

2019年11月

貯法・有効期間

貯法

室温保存

有効期間

36箇月

サムスカ顆粒1%

販売名コード

YJコード

2139011D1022

販売名英語表記

Samsca granules

販売名ひらがな

さむすかかりゅう1%

承認番号等

承認番号

22900AMX00508

販売開始年月

2017年6月

貯法・有効期間

貯法

室温保存

有効期間

30箇月

一般的名称

トルバプタン口腔内崩壊錠
トルバプタン顆粒

1. 警告

  • 〈心不全及び肝硬変における体液貯留〉
    1. 1.1 本剤投与により、急激な水利尿から脱水症状や高ナトリウム血症を来し、意識障害に至った症例が報告されており、また、急激な血清ナトリウム濃度の上昇による浸透圧性脱髄症候群を来すおそれがあることから、入院下で投与を開始又は再開すること。また、特に投与開始日又は再開日には血清ナトリウム濃度を頻回に測定すること。,,,,
  • 〈SIADHにおける低ナトリウム血症〉
    1. 1.2 本剤投与により、急激な血清ナトリウム濃度の上昇による浸透圧性脱髄症候群を来すおそれがあることから、入院下で投与を開始、増量又は再開し、急激な血清ナトリウム濃度の上昇がみられた場合には適切な処置を行うこと。特に投与開始日、増量日又は再開日には水分制限を解除し、血清ナトリウム濃度を頻回に測定すること。,,
    2. 1.3 本剤投与中は血清ナトリウム濃度をモニタリングしながら、患者毎に飲水量を調節し、適切な水分制限を指導すること。,,
  • 〈常染色体優性多発性のう胞腎〉
    1. 1.4 本剤は、常染色体優性多発性のう胞腎について十分な知識をもつ医師のもとで、治療上の有益性が危険性を上回ると判断される場合にのみ投与すること。また、本剤投与開始に先立ち、本剤は疾病を完治させる薬剤ではないことや重篤な肝機能障害が発現するおそれがあること、適切な水分摂取及び定期的な血液検査等によるモニタリングの実施が必要であることを含め、本剤の有効性及び危険性を患者に十分に説明し、同意を得ること。
    2. 1.5 特に投与開始時又は漸増期において、過剰な水利尿に伴う脱水症状、高ナトリウム血症などの副作用があらわれるおそれがあるので、少なくとも本剤の投与開始は入院下で行い、適切な水分補給の必要性について指導すること。また、本剤投与中は少なくとも月1回は血清ナトリウム濃度を測定すること。,
    3. 1.6 本剤の投与により、重篤な肝機能障害が発現した症例が報告されていることから、血清トランスアミナーゼ値及び総ビリルビン値を含めた肝機能検査を必ず本剤投与開始前及び増量時に実施し、本剤投与中は少なくとも月1回は肝機能検査を実施すること。また、異常が認められた場合には直ちに投与を中止し、適切な処置を行うこと。,,,,

2. 禁忌(次の患者には投与しないこと)

  • 〈効能共通〉
    1. 2.1 *本剤の成分又は類似化合物(トルバプタンリン酸エステルナトリウム等)に対し過敏症の既往歴のある患者
    2. 2.2 口渇を感じない又は水分摂取が困難な患者[循環血漿量の減少により高ナトリウム血症及び脱水のおそれがある。]
    3. 2.3 妊婦又は妊娠している可能性のある女性
  • 〈心不全及び肝硬変における体液貯留、SIADHにおける低ナトリウム血症〉
    1. 2.4 無尿の患者[本剤の効果が期待できない。]
    2. 2.5 適切な水分補給が困難な肝性脳症の患者
  • 〈心不全及び肝硬変における体液貯留、常染色体優性多発性のう胞腎〉
    1. 2.6 高ナトリウム血症の患者[本剤の水利尿作用により高ナトリウム血症が増悪するおそれがある。]
  • 〈常染色体優性多発性のう胞腎〉
    1. 2.7 重篤な腎機能障害(eGFR 15mL/min/1.73m2未満)のある患者
    2. 2.8 慢性肝炎、薬剤性肝機能障害等の肝機能障害(常染色体優性多発性のう胞腎に合併する肝のう胞を除く)又はその既往歴のある患者,

3. 組成・性状

3.1 組成

サムスカOD錠7.5mg

有効成分1錠中トルバプタン   7.5mg
添加剤ヒドロキシプロピルセルロース、D-マンニトール・低置換度ヒドロキシプロピルセルロース・ポリビニルアルコール(完全けん化物)造粒物、クロスポビドン、スクラロース、トウモロコシデンプン、青色2号アルミニウムレーキ、ステアリン酸マグネシウム

サムスカOD錠15mg

有効成分1錠中トルバプタン   15mg
添加剤ヒドロキシプロピルセルロース、D-マンニトール・低置換度ヒドロキシプロピルセルロース・ポリビニルアルコール(完全けん化物)造粒物、クロスポビドン、スクラロース、トウモロコシデンプン、青色2号アルミニウムレーキ、ステアリン酸マグネシウム

サムスカOD錠30mg

有効成分1錠中トルバプタン   30mg
添加剤ヒドロキシプロピルセルロース、D-マンニトール・低置換度ヒドロキシプロピルセルロース・ポリビニルアルコール(完全けん化物)造粒物、クロスポビドン、スクラロース、トウモロコシデンプン、青色2号アルミニウムレーキ、ステアリン酸マグネシウム

サムスカ顆粒1%

有効成分1g中トルバプタン   10mg
添加剤乳糖水和物、トウモロコシデンプン、結晶セルロース、ヒドロキシプロピルセルロース、軽質無水ケイ酸、青色2号アルミニウムレーキ

3.2 製剤の性状

サムスカOD錠7.5mg

剤形割線入りの変形長方形の素錠
色調青色
外形表面
裏面
側面
大きさ長径7.7mm
短径4.4mm
厚さ2.6mm
質量約85mg

サムスカOD錠15mg

剤形割線入りの素錠
色調青色
外形表面
裏面
側面
大きさ直径8mm
厚さ3.1mm
質量約170mg

サムスカOD錠30mg

剤形割線入りの四角形の素錠
色調青色
外形表面
裏面
側面
大きさ厚さ3.1mm
一辺7.4mm
質量約160mg

サムスカ顆粒1%

剤形顆粒剤
色調うすい青色

4. 効能又は効果

  • サムスカOD錠7.5mgサムスカ顆粒1%
    • ループ利尿薬等の他の利尿薬で効果不十分な心不全における体液貯留
    • ループ利尿薬等の他の利尿薬で効果不十分な肝硬変における体液貯留
    • 抗利尿ホルモン不適合分泌症候群(SIADH)における低ナトリウム血症の改善
    • 腎容積が既に増大しており、かつ、腎容積の増大速度が速い常染色体優性多発性のう胞腎の進行抑制
  • サムスカOD錠15mg
    • ループ利尿薬等の他の利尿薬で効果不十分な心不全における体液貯留
    • 抗利尿ホルモン不適合分泌症候群(SIADH)における低ナトリウム血症の改善
    • 腎容積が既に増大しており、かつ、腎容積の増大速度が速い常染色体優性多発性のう胞腎の進行抑制
  • サムスカOD錠30mg
    • 抗利尿ホルモン不適合分泌症候群(SIADH)における低ナトリウム血症の改善
    • 腎容積が既に増大しており、かつ、腎容積の増大速度が速い常染色体優性多発性のう胞腎の進行抑制
    (参考)

    OD錠7.5mg
    顆粒1%

    OD錠15mg

    OD錠30mg

    心不全における体液貯留

    肝硬変における体液貯留

    SIADHにおける低ナトリウム血症

    常染色体優性多発性のう胞腎

    ○:効能あり、-:効能なし

5. 効能又は効果に関連する注意

  • 〈SIADHにおける低ナトリウム血症〉
    1. 5.1 本剤は、抗利尿ホルモン不適合分泌症候群(syndrome of inappropriate secretion of antidiuretic hormone:SIADH)について十分な知識をもつ医師のもとで、SIADHと診断された患者に投与すること。診断にあたっては、最新の「厚生労働科学研究費補助金難治性疾患克服研究事業間脳下垂体機能障害に関する調査研究班バソプレシン分泌過剰症(SIADH)の診断の手引き」等を参照すること。
    2. 5.2 水分制限を実施しても低ナトリウム血症が改善していない場合にのみ適用すること。
  • 〈常染色体優性多発性のう胞腎〉
    1. 5.3 以下のいずれにも該当する場合に適用すること。
      • 両側総腎容積が750mL以上であること。
      • 腎容積増大速度が概ね5%/年以上であること。臨床試験には、両側腎容積750mL以上で、腎容積の増加が速いと推定される患者を組み入れた。
    2. 5.4 投与開始時のクレアチニンクリアランスが60mL/min未満の患者における有効性及び安全性は確立していない。臨床試験には、投与開始時のクレアチニンクリアランスが60mL/min以上の患者を組み入れた。

6. 用法及び用量

  • 〈心不全における体液貯留〉

    通常、成人にはトルバプタンとして15mgを1日1回経口投与する。

  • 〈肝硬変における体液貯留〉

    通常、成人にはトルバプタンとして7.5mgを1日1回経口投与する。

  • 〈SIADHにおける低ナトリウム血症〉

    通常、成人にはトルバプタンとして7.5mgを1日1回経口投与する。必要に応じて、望ましい血清ナトリウム濃度に達するまで段階的に増量できる。なお、患者の状態により適宜増減するが、最高用量は1日60mgまでとする。

  • 〈常染色体優性多発性のう胞腎〉

    通常、成人にはトルバプタンとして1日60mgを2回(朝45mg、夕方15mg)に分けて経口投与を開始する。1日60mgの用量で1週間以上投与し、忍容性がある場合には、1日90mg(朝60mg、夕方30mg)、1日120mg(朝90mg、夕方30mg)と1週間以上の間隔を空けて段階的に増量する。なお、忍容性に応じて適宜増減するが、最高用量は1日120mgまでとする。

    (参考)

    投与方法

    投与量

    心不全における体液貯留

    1日1回

    15mg

    肝硬変における体液貯留

    1日1回

    7.5mg

    SIADHにおける低ナトリウム血症

    1日1回

    開始用量7.5mg
    (必要に応じて漸増)→最高用量60mg

    常染色体優性多発性のう胞腎

    1日2回

    開始用量1日60mg(朝45mg、夕方15mg)
    ↓ 1日90mg(朝60mg、夕方30mg)
    (漸増)1日120mg(朝90mg、夕方30mg)

7. 用法及び用量に関連する注意

  • 〈心不全及び肝硬変における体液貯留、SIADHにおける低ナトリウム血症〉
    1. 7.1 CYP3A4阻害剤(イトラコナゾール、フルコナゾール、クラリスロマイシン等)との併用は避けることが望ましい。やむを得ず併用する場合は、本剤の減量あるいは低用量からの開始などを考慮すること。,,,
    2. 7.2 夜間の排尿を避けるため、午前中に投与することが望ましい。
  • 〈心不全及び肝硬変における体液貯留〉
    1. 7.3 本剤は水排泄を増加させるが、ナトリウム排泄を増加させないことから、他の利尿薬(ループ利尿薬、サイアザイド系利尿薬、抗アルドステロン薬等)と併用して使用すること。なお、ヒト心房性ナトリウム利尿ペプチドとの併用経験はない。
    2. 7.4 体液貯留所見が消失した際には投与を中止すること。症状消失後の維持に関する有効性は確認されていない。
  • 〈心不全における体液貯留〉
    1. 7.5 血清ナトリウム濃度が125mEq/L未満の患者、急激な循環血漿量の減少が好ましくないと判断される患者、高齢者、血清ナトリウム濃度が正常域内で高値の患者に投与する場合は、半量(7.5mg)から開始することが望ましい。,,,
  • 〈肝硬変における体液貯留〉
    1. 7.6 血清ナトリウム濃度が125mEq/L未満の患者、急激な循環血漿量の減少が好ましくないと判断される患者に投与する場合は、半量(3.75mg)から開始することが望ましい。,,
  • 〈SIADHにおける低ナトリウム血症〉
    1. 7.7 血清ナトリウム濃度が125mEq/L未満の患者、より緩やかに血清ナトリウム濃度を補正する必要のある患者(低カリウム血症、低栄養、アルコール中毒、肝障害等)、急激な循環血漿量の減少が好ましくないと判断される患者に投与する場合は、半量(3.75mg)から開始することが望ましい。,,
    2. 7.8 前日の本剤投与前から当日の投与前までに血清ナトリウム濃度が5mEq/L以上上昇した場合、当日は増量しないことが望ましい。
  • 〈常染色体優性多発性のう胞腎〉
    1. 7.9 夜間頻尿を避けるため、夕方の投与は就寝前4時間以上空けることが望ましい。
    2. 7.10 CYP3A4阻害剤との併用は避けることが望ましい。やむを得ず併用する場合は、下表を参照し、本剤の用量調節を行うこと。,,,

      通常の用法及び用量

      弱い又は中等度のCYP3A4阻害剤との併用時の用法及び用量(通常用量の1/2量)

      強力なCYP3A4阻害剤との併用時の用法及び用量(通常用量の1/4量)

      1日60mg
      (朝45mg、夕方15mg)

      1日30mg
      (朝22.5mg、夕方7.5mg)

      1日15mg
      (朝11.25mg、夕方3.75mg)

      1日90mg
      (朝60mg、夕方30mg)

      1日45mg
      (朝30mg、夕方15mg)

      1日22.5mg
      (朝15mg、夕方7.5mg)

      1日120mg
      (朝90mg、夕方30mg)

      1日60mg
      (朝45mg、夕方15mg)

      1日30mg
      (朝22.5mg、夕方7.5mg)

8. 重要な基本的注意

  • 〈効能共通〉
    1. 8.1 本剤の水利尿作用により循環血漿量の減少を来し、血清カリウム濃度を上昇させ、心室細動、心室頻拍を誘発するおそれがあるので、本剤投与中は血清カリウム濃度を測定すること。
    2. 8.2 口渇感が持続する場合には、減量を考慮すること。
  • 〈心不全及び肝硬変における体液貯留、SIADHにおける低ナトリウム血症〉
    1. 8.3 本剤の投与初期は、過剰な利尿に伴う脱水、高ナトリウム血症などの副作用があらわれるおそれがあるので、口渇感等の患者の状態を観察し、適切な水分補給を行い、体重、血圧、脈拍数、尿量等を頻回に測定すること。
    2. 8.4 本剤の利尿作用に伴い、口渇、脱水などの症状があらわれた場合には、水分補給を行うよう指導すること。,
    3. 8.5 本剤の投与初期から重篤な肝機能障害があらわれることがあるため、本剤投与開始前に肝機能検査を実施し、少なくとも投与開始2週間は頻回に肝機能検査を行うこと。またやむを得ず、その後も投与を継続する場合には、適宜検査を行うこと。,
    4. 8.6 めまい等があらわれることがあるので、転倒に注意すること。また、高所作業、自動車の運転等危険を伴う機械を操作する際には注意させること。
  • 〈心不全及び肝硬変における体液貯留〉
    1. 8.7 体液貯留状態が改善しない場合は、漫然と投与を継続しないこと。,
  • 〈心不全における体液貯留〉
    1. 8.8 本剤投与開始後24時間以内に水利尿効果が強く発現するため、少なくとも投与開始4~6時間後並びに8~12時間後に血清ナトリウム濃度を測定すること。投与開始翌日から1週間程度は毎日測定し、その後も投与を継続する場合には、適宜測定すること。,,
    2. 8.9 目標体重(体液貯留状態が良好にコントロールされているときの体重)に戻った場合は、漫然と投与を継続しないこと。国内臨床試験において2週間を超える使用経験はない。
  • 〈肝硬変における体液貯留〉
    1. 8.10 本剤の投与により重篤な肝機能障害があらわれることがある。肝硬変患者では、肝機能をより悪化させるおそれがあること、及び原疾患の悪化と本剤による肝機能障害の発現との区別が困難であることに留意して、本剤の投与にあたっては、リスクとベネフィットを考慮し、本剤投与の適否について慎重に判断すること。
    2. 8.11 本剤の投与により、重篤な肝機能障害があらわれることがあること、国内臨床試験において2週間を超える使用経験はないことから、体重、腹囲、下肢浮腫などの患者の状態を観察し、体液貯留が改善した場合は、漫然と投与を継続せず、必要最小限の期間の使用にとどめること。
    3. 8.12 本剤投与開始後24時間以内に水利尿効果が強く発現するため、少なくとも投与開始4~8時間後に血清ナトリウム濃度を測定すること。さらに投与開始2日後並びに3~5日後に1回測定し、その後も投与を継続する場合には、適宜測定すること。,,
    4. 8.13 肝硬変患者では、本剤の投与により消化管出血のリスクが高まるおそれがあるため、消化管出血の兆候があらわれた場合には投与を中止し、適切な処置を行うこと。
  • 〈SIADHにおける低ナトリウム血症〉
    1. 8.14 急激な血清ナトリウム濃度の上昇により、浸透圧性脱髄症候群を来すおそれがあるので、以下の点に注意すること。,,,
      • 本剤投与開始又は増量後24時間以内に水利尿効果が強く発現するため、少なくとも投与開始又は増量4~6時間後並びに8~12時間後に血清ナトリウム濃度を測定すること。投与開始又は増量翌日から血清ナトリウム濃度が安定するまでの1週間程度は毎日測定し、その後も投与を継続する場合には、適宜測定すること。
      • 本剤投与開始にあたり、急激に血清ナトリウム濃度を上昇させる可能性のある治療(高張食塩水等)がなされている場合は、その治療を中止することが望ましい。
      • 必要に応じ、飲水量の増量あるいは輸液(5%ブドウ糖液)により、血清ナトリウム濃度の上昇が24時間以内に10mEq/Lを超えないようにすること。
    2. 8.15 本剤の投与により、重篤な肝機能障害があらわれることがあること、また、低ナトリウム血症の程度は原疾患の進行や治癒の状況により変化することから、定期的に本剤投与継続の要否について検討し、漫然と投与を継続しないこと。,
    3. 8.16 本剤の投与中止後、急激に血清ナトリウム濃度が低下するおそれがあるため、適切な水分制限の実施を考慮すること。
  • 〈常染色体優性多発性のう胞腎〉
    1. 8.17 本剤の使用にあたっては、適切な水分補給が必要なため、以下の点に注意すること。
      • 飲水能力の低下や飲水機会の制限により、十分に水分補給ができない場合は、本剤を減量あるいは休薬すること。
      • 用量を増量又は減量する時は、急激な体重変化に注意すること。
      • 増量直後には特に口渇、脱水などの症状に注意すること。
    2. 8.18 本剤の増量により副作用の発現頻度が高くなる傾向が認められていること、1日120mg投与時に重篤な肝機能障害の発現が認められていることから、高用量投与時には、特に肝機能障害をはじめとする副作用の発現に十分注意すること。
    3. 8.19 本剤の投与により、重篤な肝機能障害があらわれることがあるので、投与にあたっては患者に当該副作用について十分説明するとともに、症状がみられた場合には速やかに診察を受けるよう指導すること。,,
    4. 8.20 投与開始前に脱水症状が認められた場合は、脱水症状が増悪するおそれがあるので、症状が改善してから投与を開始すること。
    5. 8.21 高ナトリウム血症があらわれることがあるので、投与開始後の用量漸増期においては、来院毎に血清ナトリウム濃度を測定し、その後も本剤投与中は少なくとも月1回は測定すること。,
    6. 8.22 投与開始前に血清ナトリウム濃度を測定し、低ナトリウム血症が認められた場合は、急激な血清ナトリウム濃度の上昇により、浸透圧性脱髄症候群を来すおそれがあるので、低ナトリウム血症の原因を明らかにするとともに、血清ナトリウム濃度を補正し、慎重に本剤投与の適否を判断した上で、投与が適切と判断された場合に限り投与を開始すること。
    7. 8.23 本剤の投与により腎臓における尿酸クリアランスが減少するため、血中尿酸が上昇することがあるので、本剤投与中は血中尿酸値に注意すること。
    8. 8.24 失神、意識消失、めまい等があらわれることがあるので、転倒に注意すること。また、高所作業、自動車の運転等危険を伴う機械の操作に従事させないよう注意すること。
    9. 8.25 本剤の投与により緑内障があらわれることがあるので、定期的に検査を行うことが望ましい。

9. 特定の背景を有する患者に関する注意

9.1 合併症・既往歴等のある患者

  • 〈効能共通〉
    1. 9.1.1 重篤な冠動脈疾患又は脳血管疾患のある患者

      急激な利尿があらわれた場合、急速な循環血漿量減少、血液濃縮を来し、血栓塞栓症を誘発するおそれがある。,,,

    2. 9.1.2 高カリウム血症の患者

      本剤の水利尿作用により高カリウム血症が増悪するおそれがある。

  • 〈心不全及び肝硬変における体液貯留、SIADHにおける低ナトリウム血症〉
    1. 9.1.3 血清ナトリウム濃度125mEq/L未満の患者

      24時間以内に12mEq/Lを超える上昇がみられた場合には、投与を中止すること。急激な血清ナトリウム濃度の上昇により、浸透圧性脱髄症候群を来すおそれがある。,,,,,,,

9.2 腎機能障害患者

  • 〈心不全及び肝硬変における体液貯留、SIADHにおける低ナトリウム血症〉
    1. 9.2.1 重篤な腎障害のある患者

      利尿に伴う腎血流量の減少により腎機能が更に悪化するおそれがある。

  • 〈常染色体優性多発性のう胞腎〉
    1. 9.2.2 重篤な腎機能障害(eGFR 15mL/min/1.73m2未満)のある患者

      投与しないこと。本剤の効果が期待できない。

    2. 9.2.3 重度の腎機能障害(クレアチニンクリアランス30mL/min未満)のある患者

      減量すること。本剤の血漿中濃度が上昇する。

    3. 9.2.4 腎機能が低下している患者

      利尿に伴う腎血流量の減少により腎機能が更に悪化するおそれがある。

9.3 肝機能障害患者

  • 〈心不全及び肝硬変における体液貯留、SIADHにおける低ナトリウム血症〉
    1. 9.3.1 適切な水分補給が困難な肝性脳症の患者

      投与しないこと。循環血漿量の減少により高ナトリウム血症及び脱水のおそれがある。

    2. 9.3.2 肝性脳症を現有するかその既往のある患者

      意識レベルが低下した場合、適切な水分補給に支障を来すおそれがある。

  • 〈常染色体優性多発性のう胞腎〉
    1. 9.3.3 慢性肝炎、薬剤性肝機能障害等の肝機能障害(常染色体優性多発性のう胞腎に合併する肝のう胞を除く)又はその既往歴のある患者

      投与しないこと。肝障害を増悪させるおそれがある。

9.4 生殖能を有する者

妊娠する可能性のある女性には、適切な避妊を行うよう指導すること。

9.5 妊婦

妊婦又は妊娠している可能性のある女性には投与しないこと。動物実験(ウサギ)で催奇形性及び胚・胎児死亡が報告されている1)。また、動物実験(ウサギ1)、ラット2))で胚あるいは胎児移行が報告されている。,

9.6 授乳婦

治療上の有益性及び母乳栄養の有益性を考慮し、授乳の継続又は中止を検討すること。動物実験(ラット)で乳汁中への移行が報告されている2)

9.7 小児等

小児等を対象とした臨床試験は実施していない。

9.8 高齢者

  • 〈効能共通〉
    1. 9.8.1 急激な利尿があらわれた場合、急速な循環血漿量減少、血液濃縮を来し、血栓塞栓症を誘発するおそれがある。,,,
    2. 9.8.2 患者の状態を観察しながら慎重に投与すること。一般に生理機能が低下しており、また、脱水症状を起こしやすいとされている。
  • 〈心不全における体液貯留〉
    1. 9.8.3 高ナトリウム血症発現のおそれがある。

10. 相互作用

  • 本剤は、主として肝代謝酵素CYP3A4によって代謝される。また、P糖蛋白の基質であるとともに、P糖蛋白への阻害作用を有する。

10.2 併用注意(併用に注意すること)

薬剤名等臨床症状・措置方法機序・危険因子

CYP3A4阻害作用を有する薬剤

  • ケトコナゾール(経口剤:国内未発売)、イトラコナゾール、フルコナゾール、クラリスロマイシン等

    グレープフルーツジュース

,,,,

代謝酵素の阻害により、本剤の作用が増強するおそれがあるので、これらの薬剤との併用は避けることが望ましい。

本剤の代謝酵素であるCYP3A4を阻害し、本剤の血漿中濃度を上昇させる。

CYP3A4誘導作用を有する薬剤

  • リファンピシン等

    セイヨウオトギリソウ(St. John’s Wort、セントジョーンズワート)含有食品

代謝酵素の誘導により、本剤の作用が減弱するおそれがあるので、本剤投与時はこれらの薬剤及び食品を摂取しないことが望ましい。

本剤の代謝酵素であるCYP3A4を誘導し、本剤の血漿中濃度を低下させる。

ジゴキシン

本剤によりジゴキシンの作用が増強されるおそれがある。

本剤はP糖蛋白を阻害し、ジゴキシンの血漿中濃度を上昇させる。

P糖蛋白阻害作用を有する薬剤

  • シクロスポリン等

本剤の作用が増強するおそれがある。

これらの薬剤がP糖蛋白を阻害することにより、本剤の排出が抑制されるため血漿中濃度が上昇するおそれがある。

カリウム製剤
カリウム保持性利尿薬

  • スピロノラクトン、トリアムテレン等

抗アルドステロン薬

  • エプレレノン等

アンジオテンシン変換酵素阻害薬

  • エナラプリルマレイン酸塩等

アンジオテンシンⅡ受容体拮抗薬

  • ロサルタンカリウム等

レニン阻害薬

  • アリスキレンフマル酸塩等

これらの薬剤と併用する場合、血清カリウム濃度が上昇するおそれがある。

本剤の水利尿作用により循環血漿量の減少を来し、相対的に血清カリウム濃度が上昇するおそれがある。

バソプレシン誘導体

  • デスモプレシン酢酸塩水和物等

本剤によりバソプレシン誘導体の止血作用が減弱するおそれがある。

本剤のバソプレシンV2-受容体拮抗作用により、血管内皮細胞からのvon Willebrand因子の放出が抑制されるおそれがある。

11. 副作用

次の副作用があらわれることがあるので、観察を十分に行い、異常が認められた場合には投与を中止するなど適切な処置を行うこと。

11.1 重大な副作用

  1. 11.1.1 腎不全(1%未満)

    重度の腎障害があらわれることがある。,

  2. 11.1.2 血栓塞栓症(1%未満)

    急激な利尿により血液濃縮を来した場合、血栓症及び血栓塞栓症を誘発するおそれがある。,

  3. 11.1.3 高ナトリウム血症(1~5%未満)

    本剤の水利尿作用により血液濃縮を来し、高ナトリウム血症があらわれることがあり、意識障害を伴うこともある。投与中は、飲水量、尿量、血清ナトリウム濃度及び口渇、脱水等の症状の観察を十分に行うこと。口渇感の持続、脱水等の症状がみられた場合には、本剤の投与を減量又は中止し、症状に応じて、輸液を含めた水分補給等の適切な処置を行うこと。また、正常域を超える血清ナトリウム濃度の上昇がみられた場合には、直ちに本剤の投与を中止し、症状に応じて、輸液を含めた水分補給等の適切な処置を行うこと。,,,,,

  4. 11.1.4 急激な血清ナトリウム濃度上昇(1%未満)

    本剤の水利尿作用により、急激な血清ナトリウム濃度の上昇があらわれることがある。これにより麻痺、発作、昏睡等に至るような浸透圧性脱髄症候群を来すおそれがあるため、投与中は、血清ナトリウム濃度及び体液量の観察を十分に行うこと。本剤投与後24時間以内に12mEq/Lを超える等の血清ナトリウム濃度の急激な上昇がみられた場合には、直ちに本剤の投与を中止し、症状に応じて、輸液を含めた水分補給等の適切な処置を行うこと。,,,,,,,,

  5. 11.1.5 急性肝不全(頻度不明)、肝機能障害(5%以上)

    AST、ALT、γ-GTP、Al-P、ビリルビン等の上昇を伴う肝機能障害があらわれ、急性肝不全に至ることがある。また、肝機能障害が回復するまでは頻回に血液検査を実施するなど観察を十分に行うこと。,,,

  6. 11.1.6 ショック、アナフィラキシー(頻度不明)

    ショック、アナフィラキシー(全身発赤、血圧低下、呼吸困難等)があらわれることがある。

  7. 11.1.7 過度の血圧低下(頻度不明)、心室細動(頻度不明)、心室頻拍(1%未満)
  8. 11.1.8 肝性脳症(1%未満)

    肝硬変患者の場合、意識障害を伴う肝性脳症があらわれるおそれがある。なお、肝性脳症は、主に肝性浮腫患者において報告されているので、これらの患者に投与する場合は、意識障害等の臨床症状を十分に観察すること。

  9. 11.1.9 汎血球減少、血小板減少(頻度不明)

11.2 その他の副作用

5%以上

1~5%未満

1%未満

頻度不明

精神神経系

頭痛、めまい

不眠症

失神、意識消失、睡眠障害、嗜眠、傾眠、ナルコレプシー、注意力障害、感覚鈍麻、不随意性筋収縮、錯感覚、不安、うつ病、リビドー減退、神経過敏、パニック発作

消化器

口渇(56.9%)、便秘

食欲不振、悪心、嘔吐、下痢、味覚異常、消化不良、腹痛、腹部膨満

胃食道逆流性疾患、食道炎、裂孔ヘルニア、腹部不快感、心窩部不快感、口唇乾燥、鼓腸、胃腸炎、胃炎、胃腸障害、憩室炎、結腸ポリープ、嚥下障害、消化管運動障害、舌痛、舌苔、舌変色、口唇炎、口内炎、口の感覚鈍麻、臍ヘルニア、食欲亢進、呼気臭、痔核

過敏性腸症候群

循環器

血圧上昇、血圧低下、動悸

頻脈、期外収縮、不整脈、起立性低血圧、不安定血圧

血液

貧血、ヘモグロビン低下、平均赤血球容積増加、血小板減少、白血球増多、好酸球増多

代謝

血中尿酸上昇

脱水、高カリウム血症、糖尿病、高血糖、脂質異常症、痛風

血液浸透圧上昇、血液量減少症、低カリウム血症、高カルシウム血症、低ナトリウム血症、低血糖、低リン酸血症、CK上昇

血中抗利尿ホルモン増加

腎臓・泌尿器

頻尿(38.8%)、多尿(26.2%)、血中クレアチニン上昇

腎臓痛、BUN上昇、腎機能障害、血尿

尿浸透圧低下、尿失禁、尿意切迫、排尿困難、尿閉、乏尿、尿路感染、膀胱痛、腎結石、シスタチンC上昇

過敏症

発疹、そう痒

蕁麻疹

皮膚

皮膚乾燥

脱毛、ざ瘡、皮膚炎、色素沈着障害、爪の障害、多汗、乏汗、寝汗

呼吸器

咳嗽、呼吸困難

鼻咽頭炎、上気道感染、扁桃炎、副鼻腔炎、喘息、気管支炎、口腔咽頭痛、咽喉乾燥、鼻乾燥、鼻出血、発声障害

眼乾燥、緑内障、霧視、結膜出血

その他

疲労、多飲症

体重変動(増加、減少)、無力症、倦怠感、浮腫、筋骨格痛、筋痙縮、胸痛

背部痛、関節痛、四肢痛、疼痛、側腹部痛、冷感、発熱、ほてり、熱感、粘膜乾燥、ウイルス感染、カンジダ症、真菌感染、筋硬直、関節腫脹、勃起不全、月経過多、不規則月経、乳房嚢胞、易刺激性、LDH上昇、耳鳴

不正子宮出血

13. 過量投与

  1. 13.1 処置

    血液透析は有効ではないと考えられる。

14. 適用上の注意

14.1 薬剤交付時の注意

  • 〈OD錠〉
    1. 14.1.1 PTP包装の薬剤はPTPシートから取り出して服用するよう指導すること。PTPシートの誤飲により、硬い鋭角部が食道粘膜へ刺入し、更には穿孔をおこして縦隔洞炎等の重篤な合併症を併発することがある。
    1. 14.1.2 本剤は舌の上にのせて唾液を浸潤させると速やかに崩壊するため、水なしで服用可能である。また、水で服用することもできる。
    2. 14.1.3 本剤は寝たままの状態では、水なしで服用させないこと。

15. その他の注意

15.1 臨床使用に基づく情報

  • 〈常染色体優性多発性のう胞腎〉
    1. 15.1.1 常染色体優性多発性のう胞腎患者を対象とした第Ⅲ相二重盲検比較試験(国際共同試験)3)において、本剤60~120mg/日又はプラセボを3年間投与した結果、基準値上限の2倍を超える総ビリルビン上昇、かつ基準値上限の3倍を超える血清ALT上昇又は血清AST上昇が、本剤投与群の2例に認められた。また、基準値上限の2.5倍を超えるALT上昇の発現頻度が、プラセボ群と比較して本剤投与群で高かった(本剤投与群960例中47例(4.9%)、プラセボ群483例中6例(1.2%))。なお、本剤投与群における基準値上限の3倍を超えるALT上昇の多くは、投与開始3~14ヵ月の間に認められた。,,,
    2. 15.1.2 常染色体優性多発性のう胞腎患者を対象とした第Ⅲ相二重盲検比較試験(国際共同試験)3)において、本剤投与群はプラセボ群と比較して皮膚の新生物の発現率が高かった(基底細胞癌(本剤投与群0.8%(8/961例)、プラセボ群0.2%(1/483例))、悪性黒色腫(本剤投与群0.2%(2/961例)、プラセボ群0%(0/483例))。本剤との関連性は全ての症例で否定され、日本人での発現はなかった。

16. 薬物動態

16.1 血中濃度

  1. 16.1.1 単回投与

    健康成人にトルバプタン15~120mgを空腹時単回経口投与した時の血漿中濃度推移及び薬物動態パラメータを図16-1及び表16-1に示す4)

    図16-1 健康成人におけるトルバプタン投与時の血漿中濃度推移(平均値、6例、30mg群のみ12例)
    表16-1 トルバプタン単回投与時の薬物動態パラメータ

    投与量

    tmax
    (h)

    Cmax
    (ng/mL)

    AUCt
    (ng・h/mL)

    t1/2
    (h)

    15mg

    2.0(1.0~4.0)

    135±53

    645±367

    3.3±1.2

    30mg

    2.0(1.5~6.0)

    213±76

    1,302±553

    3.9±1.7

    45mg

    2.5(1.0~3.0)

    363±318

    2,098±1,950

    2.9±0.8

    60mg

    3.0(1.5~4.0)

    315±105

    2,321±634

    4.6±0.8

    90mg

    2.0(1.0~3.0)

    429±146

    3,600±922

    5.8±1.4

    120mg

    2.0(2.0~3.0)

    661±276

    5,908±2,091

    9.3±3.2

    (平均値±標準偏差、tmaxのみ中央値(範囲)、6例、30mg群のみ12例)

    • 〈SIADHにおける低ナトリウム血症〉

      SIADH患者にトルバプタン7.5mg又は15mgを空腹時単回経口投与した時のトルバプタンの薬物動態パラメータを表16-2に示す5)(外国人データ)。

      表16-2 SIADH患者にトルバプタン7.5mg又は15mg単回経口投与時の薬物動態パラメータ

      投与量

      tmax
      (h)

      Cmax
      (ng/mL)

      AUCt
      (ng・h/mL)

      t1/2
      (h)

      7.5mg

      2.0(1.0~4.0)

      107±49

      608±332

      6.0±2.5

      15mg

      2.0(1.0~3.0)

      157±68

      944±339

      5.9±2.1

      (平均値±標準偏差、tmaxのみ中央値(範囲)、10例(7.5mg群)、8例(15mg群))

  2. 16.1.2 反復投与

    健康成人にトルバプタン30~120mgを空腹時1日1回7日間反復経口投与した時のトルバプタンの血漿中濃度に累積はみられなかった4)

    • 〈心不全における体液貯留〉

      心性浮腫患者にトルバプタン15mgを1日1回7日間反復経口投与した時のトルバプタンの薬物動態パラメータを表16-3に示す6)

      表16-3 心性浮腫患者にトルバプタン15mgを7日間反復投与時の薬物動態パラメータ

      tmax
      (h)

      Cmax
      (ng/mL)

      AUC24h
      (ng・h/mL)

      t1/2
      (h)

      投与1日目

      4.0(1.8~5.9)

      258±95

      2,057±795

      6.6±2.1

      投与7日目

      3.9(2.0~6.0)

      256±102

      2,173±1,188

      6.8±2.2

      (平均値±標準偏差、tmaxのみ中央値(範囲)、10例)

    • 〈肝硬変における体液貯留〉

      肝性浮腫患者にトルバプタン7.5mgを1日1回7日間反復経口投与した時のトルバプタンの薬物動態パラメータを表16-4に示す7)

      表16-4 肝性浮腫患者にトルバプタン7.5mgを7日間反復投与時の薬物動態パラメータ

      tmax
      (h)

      Cmax
      (ng/mL)

      AUC24h
      (ng・h/mL)

      t1/2
      (h)

      投与1日目

      4.2(3.8~11.8)

      100±54

      1,061±732

      9.1±5.4

      投与7日目

      4.0(1.7~7.9)

      112±60

      1,370±1,165

      8.5±4.1

      (平均値±標準偏差、tmaxのみ中央値(範囲)、20例)

    • 〈常染色体優性多発性のう胞腎〉

      常染色体優性多発性のう胞腎患者に1日120mgを2回(90mg、30mg)に分けて7日間反復経口投与した時のトルバプタンの薬物動態パラメータを表16-5に示す8)(外国人データ)。

      表16-5 常染色体優性多発性のう胞腎患者にトルバプタン1日120mgを7日間反復投与時の薬物動態パラメータ

      tmax
      (h)

      Cmax
      (ng/mL)

      AUC24h
      (ng・h/mL)

      投与7日目

      2.0(1.0~9.0)

      716±344

      6,570±3,230

      (平均値±標準偏差、tmaxのみ中央値(範囲)、12例)

  3. 16.1.3 生物学的同等性

    健康成人にトルバプタン15mg(OD錠又は普通錠)又は30mg(OD錠又は普通錠)を、クロスオーバー法により空腹時単回経口投与した時の薬物動態パラメータを表16-6に示す9)。Cmax及びAUCtの幾何平均値の比の90%信頼区間はいずれも0.80~1.25の範囲内であり、いずれの含量においてもOD錠と普通錠は生物学的に同等であった。また、トルバプタン7.5mgOD錠は「含量が異なる経口固形製剤の生物学的同等性ガイドライン」に基づき、標準製剤をトルバプタン15mgOD錠とした時、溶出挙動は同等と判定され、生物学的に同等とみなされた。

    表16-6 トルバプタン15mg又は30mg単回投与時の薬物動態パラメータ

    剤形

    tmax
    (h)

    Cmax
    (ng/mL)

    AUCt
    (ng・h/mL)

    t1/2
    (h)

    普通錠
    15mg

    2.0(1.0~4.0)

    131±71

    697±440

    3.4±1.0

    OD錠15mg
    (水なし)

    2.0(1.0~5.0)

    149±73

    674±361

    3.2±1.0

    OD錠15mg
    (水あり)

    3.0(1.0~5.0)

    125±63

    685±392

    3.3±0.9

    普通錠
    30mg

    2.0(1.0~5.0)

    203±73

    1,120±334

    3.2±0.6

    OD錠30mg
    (水なし)

    2.0(1.0~4.0)

    218±56

    1,130±306

    3.2±0.7a)

    OD錠30mg
    (水あり)

    2.0(1.0~6.0)

    198±55

    1,110±312

    3.3±0.6

    (平均値±標準偏差、tmaxのみ中央値(範囲)、39例(15mg)、41例(30mg))
    a)40例

16.2 吸収

  1. 16.2.1 食事の影響

    健康成人にトルバプタン15mgを単回経口投与した時、空腹時投与に比べ食後投与ではCmax及びAUCはそれぞれ1.3倍及び1.1倍であった4)
    健康成人にトルバプタン60mg10)又は90mg11)を単回経口投与した時、空腹時投与に比べ食後投与ではCmaxはそれぞれ1.4倍及び2.0倍、AUCはそれぞれ1.1倍及び1.0倍であった(外国人データ)。

  2. 16.2.2 絶対的バイオアベイラビリティ

    健康成人における経口投与時の絶対的バイオアベイラビリティは56%であった12)(外国人データ)。

16.3 分布

ヒト血漿蛋白結合率は、98.0%以上であった2)in vitro、限外ろ過法)。

16.4 代謝

トルバプタンは、ヒト肝ミクロゾームチトクロームP450の分子種のうち、主としてCYP3A4により代謝される13)in vitro)。

16.5 排泄

健康成人に、14C-トルバプタン60mgを空腹時に単回経口投与した時、糞中及び尿中にそれぞれ投与した放射能の58.7%及び40.2%が排泄された。未変化体の糞中及び尿中の回収率は、それぞれ投与量の18.7%及び1%未満であった14)(外国人データ)。

16.6 特定の背景を有する患者

  1. 16.6.1 腎機能障害患者

    腎機能の程度の異なる被験者(クレアチニンクリアランス<30mL/min、クレアチニンクリアランス=30~60mL/min及びクレアチニンクリアランス>60mL/min)にトルバプタン60mgを投与した時のAUCは、それぞれ7,360ng・h/mL、6,980ng・h/mL及び3,890ng・h/mLであった。また、血漿中遊離型分率は、それぞれ1.2%、0.6%及び1.0%であった。血漿中遊離型分率を用いて算出した血漿中遊離型濃度のAUCは、クレアチニンクリアランス<30mL/min、クレアチニンクリアランス=30~60mL/min及びクレアチニンクリアランス>60mL/minでそれぞれ71.8ng・h/mL、36.4ng・h/mL及び37.5ng・h/mLであった15)(外国人データ)。

  2. 16.6.2 肝機能障害患者

    肝性浮腫患者にトルバプタン15mgを投与した時のAUCは、中等度肝障害患者(Child-Pugh分類A又はB)で1,618ng・h/mL、重度肝障害患者(Child-Pugh分類C)で2,172ng・h/mLであった16)(母集団解析)。

  3. 16.6.3 高齢者(65歳以上)、性別

    トルバプタンの薬物動態には年齢及び性別による影響は認められなかった17)

16.7 薬物相互作用

  1. 16.7.1 ケトコナゾール

    健康成人において、強力なCYP3A4の阻害作用を有するケトコナゾール200mgとトルバプタン30mgの併用により、トルバプタンのCmax及びAUCはそれぞれ3.5倍及び5.4倍になった18)(外国人データ)。,,

  2. 16.7.2 フルコナゾール

    健康成人において、中等度のCYP3A4の阻害作用を有するフルコナゾール200mgとトルバプタン30mgの併用により、トルバプタンのCmax及びAUCはそれぞれ1.8倍及び3.0倍になった19)(外国人データ)。,,

  3. 16.7.3 グレープフルーツジュース

    健康成人において、トルバプタン60mgをCYP3A4の阻害作用を有するグレープフルーツジュースにより服用した時、トルバプタンのCmax及びAUCはそれぞれ1.9倍及び1.6倍になった20)(外国人データ)。,,

  4. 16.7.4 リファンピシン

    健康成人において、CYP3A4の誘導作用を有するリファンピシン600mgとトルバプタン240mg注)の併用により、トルバプタンのCmax及びAUCはそれぞれ1/6及び1/8になった18)(外国人データ)。

  5. 16.7.5 ジゴキシン

    健康成人において、P糖蛋白の基質であるジゴキシン0.25mgとトルバプタン60mgの併用により、ジゴキシンのCmax及びAUCは、それぞれ1.3倍及び1.2倍になった。トルバプタンのCmaxとAUCは、いずれも1.1倍になった21)(外国人データ)。

  6. 16.7.6 その他の薬剤
    • 健康成人において、CYP3A4の基質であるロバスタチン80mgとトルバプタン90mgの併用により、ロバスタチンのCmax及びAUCはそれぞれ1.3倍及び1.4倍になった22)。ロバスタチン80mgとトルバプタン60mgの併用によりトルバプタンのCmaxとAUCはいずれも1.2倍になった23)(外国人データ)。
    • 不整脈患者において、CYP3A4の基質であるアミオダロン200mgとトルバプタン90mgの併用によるアミオダロンの薬物動態の変化は5%未満であった24)(外国人データ)。
    • 健康成人において、CYP2C9の基質であるワルファリン25mgとトルバプタン60mgの併用により、R-ワルファリンとS-ワルファリンの薬物動態は影響を受けなかった25)(外国人データ)。
    • 健康成人において、トルバプタン30mgとフロセミド80mgとの併用により、トルバプタンのCmax及びAUCはいずれも1.2倍になった。ヒドロクロロチアジド100mgとの併用により、トルバプタンのCmax及びAUCは変化しなかった。トルバプタンはフロセミド及びヒドロクロロチアジドの薬物動態に影響を与えなかった26)(外国人データ)。

    注)本剤の承認された1日用量は、心不全における体液貯留15mg、肝硬変における体液貯留7.5mg、SIADHにおける低ナトリウム血症7.5~60mg及び常染色体優性多発性のう胞腎60~120mgである。

17. 臨床成績

17.1 有効性及び安全性に関する試験

サムスカ錠の成績を以下に示す。

  • 〈心不全における体液貯留〉
    1. 17.1.1 国内第Ⅲ相試験

      他の利尿薬を投与しても体液貯留が認められるうっ血性心不全患者を対象とした二重盲検比較試験において、トルバプタン15mg又はプラセボを1日1回7日間経口投与した。
      主要評価項目である最終投与時の体重変化量は、トルバプタン15mg群-1.54±1.61kg(ベースライン:59.42±12.30kg、53例)(平均値±標準偏差、以下同様)、プラセボ群-0.45±0.93kg(ベースライン:55.68±12.60kg、57例)であり、トルバプタン群では、プラセボ群に比較して有意な体重減少が認められた(p<0.0001、t検定)。体重減少は投与翌日よりみられ投与期間を通じて継続した(図17-1)。また、最終投与時における心性浮腫に伴う所見(頚静脈怒張、肝腫大、下肢浮腫)が改善した(表17-1)27)

      図17-1 心性浮腫患者における体重のベースラインからの変化量(プラセボとの二重盲検比較試験)
      表17-1 心性浮腫に伴う所見の変化(プラセボとの二重盲検比較試験)

      心性浮腫に伴う所見

      トルバプタン15mg群

      プラセボ群

      頚静脈怒張変化量(cm)
      [例数]

      -2.03±2.81
      [27]

      -0.51±1.18
      [19]

      肝腫大変化量(cm)
      [例数]

      -1.07±0.89
      [18]

      -0.35±1.00
      [17]

      下肢浮腫改善率(%)
      [例数]

      63.9
      [23/36]

      42.1
      [16/38]

      (平均値±標準偏差)

      副作用発現頻度は、53例中29例(54.7%)であった。主な副作用は、口渇9例(17.0%)、便秘6例(11.3%)、頻尿5例(9.4%)及び倦怠感3例(5.7%)であった。

  • 〈肝硬変における体液貯留〉
    1. 17.1.2 国内第Ⅲ相試験

      他の利尿薬を投与しても体液貯留が認められる肝硬変患者を対象とした二重盲検比較試験において、トルバプタン7.5mg又はプラセボを1日1回7日間経口投与した。
      主要評価項目である最終投与時の体重変化量は、トルバプタン7.5mg群-1.95±1.77kg(ベースライン:59.35±12.69kg、82例)(平均値±標準偏差、以下同様)、プラセボ群-0.44±1.93kg(ベースライン:59.15±13.15kg、80例)であり、トルバプタン群では、プラセボ群に比較して有意な体重減少が認められた(p<0.0001、t検定)。体重減少は投与翌日よりみられ投与期間を通じて継続した(図17-2)。最終投与時における肝性浮腫に伴う所見(腹水量、腹囲、下肢浮腫)が改善した(表17-2)。また、臨床症状(腹部膨満感、倦怠感、臥位での圧迫感、呼吸困難感、全身状態)も改善した28)

      図17-2 肝性浮腫患者における体重のベースラインからの変化量(プラセボとの二重盲検比較試験)
      表17-2 肝性浮腫に伴う所見の変化(プラセボとの二重盲検比較試験)

      肝性浮腫に伴う所見

      トルバプタン7.5mg群

      プラセボ群

      腹水変化量(mL)
      [例数]

      -492.4±760.3
      [82]

      -191.8±690.8
      [80]

      腹囲変化量(cm)
      [例数]

      -3.38±3.56
      [81]

      -1.11±3.67
      [79]

      下肢浮腫改善率(%)
      [例数]

      54.8
      [23/42]

      28.3
      [13/46]

      (平均値±標準偏差)

      副作用発現頻度は、82例中37例(45.1%)であった。主な副作用は、口渇11例(13.4%)、頻尿6例(7.3%)、便秘3例(3.7%)及び不眠症3例(3.7%)であった。

  • 〈SIADHにおける低ナトリウム血症〉
    1. 17.1.3 国内第Ⅲ相試験

      水分制限を実施しても血清ナトリウム濃度が正常化しないSIADH患者16例(血清ナトリウム濃度135mEq/L未満)を対象とした非盲検試験において、トルバプタン1日1回7.5mgを投与し、効果不十分な場合には、15mg、30mg、60mgに段階的に漸増し、維持用量を決定した。投与期間は最長30日間とし、投与期間中に血清ナトリウム濃度が正常化し、低ナトリウム血症に伴う自覚症状もなく、投与終了によって血清ナトリウム濃度が低下しないと判断できる場合は、早期に投与終了可能とした。
      維持用量の内訳は7.5mg 11例、15mg 4例であり、1例は中止により維持用量が決定されなかった。また、維持用量決定後に6例で用量が変更され、最終投与時の用量は7.5mg 8例、15mg 6例、60mg 1例であった。投与期間の内訳は30日間 6例、22~29日間 5例、15~21日間 1例、8~14日間 2例、1~7日間 2例であった。
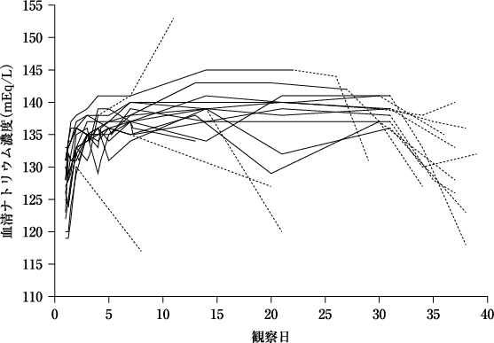
      主要評価項目である最終投与日翌日(欠測の場合は、最終投与日翌日までの最終の値で補完)の血清ナトリウム濃度の正常化割合(投与前に135mEq/L未満であった被験者が、投与後に135mEq/L以上になった割合)は81.3%(13/16例)であった。血清ナトリウム濃度の上昇は投与開始後よりみられ、投与期間を通じて継続した(図17-3)29)

      図17-3 SIADH患者における血清ナトリウム濃度の個別推移(非盲検試験)
      血清ナトリウム濃度の投与1日目(投与前)の平均値:126.9mEq/L
      点線は最終投与日翌日以降の血清ナトリウム濃度の推移

      副作用発現頻度は、16例中10例(62.5%)であった。主な副作用は、口渇3例(18.8%)、血中クレアチニン増加2例(12.5%)及び体重減少2例(12.5%)であった。

  • 〈常染色体優性多発性のう胞腎〉
    1. 17.1.4 第Ⅲ相国際共同試験

      常染色体優性多発性のう胞腎患者(1,444例、日本人患者177例を含む)を対象とした二重盲検比較試験において、トルバプタン45mg/15mg、60mg/30mg、90mg/30mg又はプラセボを朝、夕1日2回3年間経口投与した。
      対象とした常染色体優性多発性のう胞腎患者は、以下の条件を満たした。①20歳(海外は18歳)以上50歳以下、②無作為割付前31日以内のクレアチニンクリアランスが60mL/min以上、③無作為割付時のMRIにより腎容積の増加が速いと推定される患者(両側腎容積750mL以上)。
      投与は、1日60mg(朝45mg、夕15mg)より開始し、忍容性が認められれば、1日90mg(朝60mg、夕30mg)、1日120mg(朝90mg、夕30mg)と1週ごとに漸増し、各被験者が長期間服用可能な最大用量を3年間投与した。
      主要評価項目である両側腎容積の変化率の群間差は-2.7%/年(トルバプタン群:2.8%/年の増加、プラセボ群:5.5%/年の増加)となり、プラセボ群に比べトルバプタン群で変化率を有意に減少させた(p<0.001)(図17-4)。また、常染色体優性多発性のう胞腎の臨床症状に関する複合評価項目(腎機能悪化、腎臓痛、高血圧悪化、アルブミン尿悪化)においても、複合イベントの発現リスクを有意に減少させた(表17-3)。複合評価項目の各項目及び腎機能の変化の結果については、表17-3に示す。日本人部分集団においても同様な結果であった3)

      図17-4 常染色体優性多発性のう胞腎患者における両側腎容積の変化率に対する影響(プラセボとの二重盲検試験)
      腎容積のベースラインの平均値:トルバプタン群1,704.8mL、プラセボ群1,667.5mL
      表17-3 常染色体優性多発性のう胞腎における各評価項目の結果30)

      全体集団

      日本人集団

      トルバプタン群

      プラセボ群

      トルバプタン群

      プラセボ群

      腎容積の変化率

      変化率a)

      2.80
      (n=819)

      5.51
      (n=458)

      1.27
      (n=106)

      5.04
      (n=58)

      群間差(p値)e)

      -2.708(p<0.0001)

      -3.770(p<0.0001)

      複合評価項目

      イベント数b)

      43.94
      (n=961)

      50.04
      (n=483)

      40.98
      (n=118)

      51.87
      (n=59)

      ハザード比(p値)f)

      0.865(p=0.0095)

      0.771(p=0.1281)

      複合評価項目における各項目

      腎機能悪化

      イベント数b)

      1.85
      (n=961)

      4.84
      (n=483)

      1.33
      (n=118)

      8.25
      (n=59)

      ハザード比(p値)f)

      0.386(p<0.0001)

      0.167(p=0.0011)

      腎臓痛

      イベント数b)

      4.73
      (n=961)

      7.30
      (n=483)

      2.33
      (n=118)

      2.95
      (n=59)

      ハザード比(p値)f)

      0.642(p=0.0071)

      0.767(p=0.6564)

      高血圧悪化

      イベント数b)

      30.74
      (n=961)

      32.05
      (n=483)

      28.32
      (n=118)

      31.83
      (n=59)

      ハザード比(p値)f)

      0.942(p=0.4223)

      0.863(p=0.5248)

      アルブミン尿悪化

      イベント数b)

      8.17
      (n=961)

      7.75
      (n=483)

      9.00
      (n=118)

      8.84
      (n=59)

      ハザード比(p値)f)

      1.037(p=0.7420)

      0.994(p=0.9827)

      腎機能c)の変化

      変化量d)

      -2.609
      (n=842)

      -3.812
      (n=464)

      -4.837
      (n=108)

      -6.279
      (n=58)

      群間差(p値)e)

      1.203(p<0.0001)

      1.442(p=0.0119)

      a)%/年

      b)イベント/100観察人年

      c)血清クレアチニンの逆数

      d)(mg/mL)-1/年

      e)線形混合モデルによる投与群と時間の交互作用項の検定により算出

      f)イベント発生までの時間(再発を含む)について、投与群を因子としたproportional rates/means modelを用いて算出

      副作用発現頻度は、961例(日本人118例を含む)中851例(88.6%)であった。主な副作用は、口渇525例(54.6%)、多尿366例(38.1%)、夜間頻尿280例(29.1%)、頻尿223例(23.2%)、口内乾燥152例(15.8%)、頭痛129例(13.4%)及び多飲症100例(10.4%)であった。,

18. 薬効薬理

18.1 作用機序

トルバプタンは、バソプレシンV2-受容体拮抗作用を薬理学的特徴とする薬剤であり、腎集合管でのバソプレシンによる水再吸収を阻害することにより、選択的に水を排泄し、電解質排泄の増加を伴わない利尿作用(水利尿作用)を示す。また、多発性のう胞腎においてはバソプレシンによる細胞内cAMPの上昇を抑制することにより、腎容積及び腎のう胞の増大を抑制する。

18.2 バソプレシンV2-受容体拮抗作用

トルバプタンは、ヒトバソプレシンV2-受容体発現細胞及びラット、イヌ腎臓膜標本において、標識バソプレシンのV2-受容体への結合を濃度依存的に阻害した。また、ヒトバソプレシンV2-受容体発現細胞において、それ自身ではcAMPの産生増加を示さず、バソプレシンによるcAMPの産生を抑制したことから、バソプレシンV2-受容体拮抗作用を有していることが示された。ヒトバソプレシンV2-受容体に対する阻害定数は、0.43±0.06nmol/Lであった31),32)in vitro)。

18.3 利尿作用

トルバプタンは、覚醒ラット及びイヌにおいて、用量依存的に尿量を増加させ、尿浸透圧を低下させた。このとき、ループ利尿薬とは異なり、自由水クリアランスが正の値となり、自由水の排泄を増加させた(水利尿作用)32),33)

18.4 抗浮腫作用

トルバプタンは、ラット浮腫モデルにおいて、カラゲニン誘発足浮腫及びヒスタミン誘発毛細血管透過性の亢進を用量依存的に抑制した。また、覚醒心不全犬において水利尿作用を示し、前負荷を軽減させた34),35)

18.5 腹水減少作用

トルバプタンは、ラット肝硬変腹水モデルにおいて、腹水の指標である体重及び腹囲を減少させた36)

18.6 低ナトリウム血症改善作用

トルバプタンは、ラット低ナトリウム血症モデルにおいて、血漿ナトリウム濃度を上昇させ、低ナトリウム血症を改善した37)

18.7 のう胞腎進行抑制作用

トルバプタンは、多発性のう胞腎の動物モデルであるpcyマウス、Pkd2WS25/-マウス及びPCKラットにおいて腎容積の増大を抑制した38),39),40)

19. 有効成分に関する理化学的知見

一般的名称

トルバプタン〔Tolvaptan(JAN)〕

化学名

**N-{4-[(5RS)-7-Chloro-5-hydroxy-2,3,4,5-tetrahydro-1H-1-benzazepine-1-carbonyl]-3-methylphenyl}-2-methylbenzamide

分子式

C26H25ClN2O3

分子量

448.94

性状

白色の結晶又は結晶性の粉末である。メタノール又はエタノール(99.5)にやや溶けにくく、水にほとんど溶けない。本品のメタノール溶液(1→50)は旋光性を示さない。

化学構造式

20. 取扱い上の注意

  • 〈OD錠〉

    アルミピロー開封後は湿気を避けて保存すること。

21. 承認条件

    1. 21.1 医薬品リスク管理計画を策定の上、適切に実施すること。
  • 〈常染色体優性多発性のう胞腎〉
    1. 21.2 常染色体優性多発性のう胞腎の治療及び本剤のリスクについて十分に理解し、投与対象の選択や肝機能や血清ナトリウム濃度の定期的な検査をはじめとする本剤の適正使用が可能な医師によってのみ処方され、さらに、医療機関・薬局においては調剤前に当該医師によって処方されたことを確認した上で調剤がなされるよう、製造販売にあたって必要な措置を講じること。

22. 包装

  • サムスカOD錠7.5mg

    PTP:20錠(10錠×2)、100錠(10錠×10)

  • サムスカOD錠15mg

    PTP:20錠(10錠×2)、100錠(10錠×10)

  • サムスカOD錠30mg

    PTP:10錠(10錠×1)

  • サムスカ顆粒1%

    プラスチックボトル:30g

23. 主要文献

1) Oi, A. et al.:Cardiovasc Drugs Ther. 2011;25(Suppl.1):S91-S99.

2) Furukawa, M. et al.:Cardiovasc Drugs Ther. 2011;25(Suppl.1):S83-S89.

3) Torres, V. E. et al.:N Engl J Med. 2012;367(25):2407-2418.

4) Kim, S. R. et al.:Cardiovasc Drugs Ther. 2011;25(Suppl.1):S5-S17.

5) 社内資料:SIADH患者における臨床薬理試験(2020年6月29日承認、CTD2.7.6.2)

6) 社内資料:心性浮腫患者における臨床薬理試験(2010年10月27日承認、CTD2.7.6.5)

7) 社内資料:肝性浮腫患者における臨床薬理試験(2013年9月13日承認、CTD2.7.6.4)

8) 社内資料:常染色体優性多発性のう胞腎患者を対象とした臨床薬理試験(2014年3月24日承認、CTD2.7.6.5)

9) 社内資料:OD錠の生物学的同等性

10) 社内資料:食事の影響試験60mg(2014年3月24日承認、CTD2.7.6.2)

11) 社内資料:食事の影響試験90mg(2014年3月24日承認、CTD2.7.6.3)

12) Shoaf, S. E. et al.:Int J Clin Pharmacol Ther. 2012;50(2):150-156.

13) 社内資料:ヒトにおける推定代謝経路(2010年10月27日承認、CTD2.7.2.2)

14) 社内資料:吸収、分布、代謝、排泄試験(2010年10月27日承認、CTD2.7.6.3)

15) Shoaf, S. E. et al.:Kidney Int. 2014;85(4):953-961.

16) 社内資料:肝性浮腫患者を対象とした母集団薬物動態解析(2010年10月27日承認、CTD2.7.2.3)

17) 社内資料:年齢、性別による影響(2010年10月27日承認、CTD2.7.6.3)

18) Shoaf, S. E. et al.:Br J Clin Pharmacol. 2011;73(4):579-587.

19) 社内資料:フルコナゾールとの相互作用

20) Shoaf, S. E. et al.:Eur J Clin Pharmacol. 2012;68(2):207-211.

21) Shoaf, S. E. et al.:J Clin Pharmacol. 2011;51(5):761-769.

22) 社内資料:ロバスタチンとの相互作用1(2010年10月27日承認、CTD2.7.6.3)

23) 社内資料:ロバスタチンとの相互作用2(2010年10月27日承認、CTD2.7.6.2)

24) Shoaf, S. E. et al.:J Cardiovasc Pharmacol Ther. 2005;10(3):165-171.

25) Shoaf, S. E. et al.:Clinical Pharmacology in Drug Development. 2012;1(2):67-75.

26) Shoaf, S. E. et al.:J Cardiovasc Pharmacol. 2007;50(2):213-222.

27) Matsuzaki, M. et al.:Cardiovasc Drugs Ther. 2011;25(Suppl.1):S33-S45.

28) 社内資料:肝性浮腫患者におけるプラセボを対照とした二重盲検比較試験(2013年9月13日承認、CTD2.7.6.4)

29) 社内資料:SIADH患者を対象とした第Ⅲ相非盲検試験(2020年6月29日承認、CTD2.7.6.3)

30) 社内資料:常染色体優性多発性のう胞腎患者を対象とした第Ⅲ相二重盲検比較試験:国際共同試験(2014年3月24日承認、CTD2.7.6.6)

31) Yamamura, Y. et al.:J Pharmacol Exp Ther. 1998;287(3):860-867.

32) Miyazaki, T. et al.:Cardiovasc Drug Rev. 2007;25(1):1-13.

33) Hirano, T. et al.:J Pharmacol Exp Ther. 2000;292(1):288-294.

34) Miyazaki, T. et al.:Cardiovasc Drugs Ther. 2011;25(Suppl.1):S77-S82.

35) Onogawa, T. et al.:Cardiovasc Drugs Ther. 2011;25(Suppl.1):S67-S76.

36) Miyazaki, T. et al.:Hepatol Res. 2013;43(11):1224-1230.

37) Miyazaki, T. et al.:Endocrinology. 2005;146(7):3037-3043.

38) Aihara, M. et al.:J Pharmacol Exp Ther. 2014;349(2):258-267.

39) 社内資料:Pkd2WS25/-マウスにおける作用(2014年3月24日承認、CTD2.6.2.2)

40) Wang, X. et al.:J Am Soc Nephrol. 2005;16(4):846-851.

24. 文献請求先及び問い合わせ先

大塚製薬株式会社 医薬情報センター

〒108-8242 東京都港区港南2-16-4
品川グランドセントラルタワー

電話 0120-189-840
FAX 03-6717-1414

26. 製造販売業者等

26.1 製造販売元

大塚製薬株式会社

東京都千代田区神田司町2-9

〒100-0013 東京都千代田区霞が関3-3-2 新霞が関ビル

画面を閉じる

Copyright © Pharmaceuticals and Medical Devices Agency, All Rights reserved.