医療用医薬品 詳細表示

低分子デキストラン糖注

処方せん医薬品

添付文書番号
企業コード
作成又は改訂年月
日本標準商品分類番号
薬効分類名
承認等
一般的名称
2.禁忌(次の患者には投与しないこと)
3.組成・性状
3.1組成
3.2製剤の性状
4.効能又は効果
6.用法及び用量
7.用法及び用量に関連する注意
9.特定の背景を有する患者に関する注意
9.1合併症・既往歴等のある患者
9.2腎機能障害患者
9.5妊婦
9.6授乳婦
9.7小児等
9.8高齢者
10.相互作用
10.2併用注意(併用に注意すること)
11.副作用
11.1重大な副作用
11.2その他の副作用
12.臨床検査結果に及ぼす影響
14.適用上の注意
18.薬効薬理
18.1作用機序
18.2末梢循環血流改善作用
18.3血圧維持効果
18.4血栓予防効果
19.有効成分に関する理化学的知見
20.取扱い上の注意
22.包装
23.主要文献
24.文献請求先及び問い合わせ先
26.製造販売業者等

低分子デキストラン糖注

添付文書番号

3319505A2020_1_08

企業コード

180079

作成又は改訂年月

2023年3月改訂(第1版)

日本標準商品分類番号

873319

薬効分類名

血流改善・体外循環灌流液

承認等

低分子デキストラン糖注

販売名コード

YJコード

3319505A2020

販売名英語表記

LOW MOLECULAR DEXTRAN D INJECTION

販売名ひらがな

ていぶんしできすとらんとうちゅう

承認番号等

承認番号

14500AMZ02165

販売開始年月

1964年10月

貯法・有効期間

貯法

室温保存

有効期間

3年

一般的名称

血流改善・体外循環灌流液
5%ブドウ糖加デキストラン40注射液

2. 禁忌(次の患者には投与しないこと)

  1. 2.1 低張性脱水症の患者[本症はナトリウムの欠乏により血清の浸透圧が低張になることによって起こる。このような患者に本剤を投与すると、水分量を増加させることになり、症状が悪化するおそれがある。]
  2. 2.2 うっ血性心不全の患者[循環血液量の増加により、症状が悪化するおそれがある。]

3. 組成・性状

3.1 組成

本剤は1容器中に次の成分を含有する注射液である。

低分子デキストラン糖注

500mL中
有効成分デキストラン40   50g
ブドウ糖   25g

3.2 製剤の性状

低分子デキストラン糖注

pH3.5~6.5
浸透圧比約1(生理食塩液に対する比)
性状無色~微黄色澄明の液

4. 効能又は効果

  • 出血及びこれにより生じるショックの治療
  • 手術時における輸血の節減
  • 血栓症の予防及び治療
  • 外傷・熱傷・骨折等及び重症ショック時の末梢血行改善
  • 体外循環灌流液として用い灌流を容易にして手術中の併発症の危険を減少する

6. 用法及び用量

通常成人1回500mLを静脈内注射する。最初の24時間の投与量は20mL/kg以下とする。
血栓症の予防及び治療として連続投与するときは1日10mL/kg以下とし、5日以内とする。
体外循環灌流液としては10~20mL/kgを注入する。ただし、注入量は20mL/kg以下とする。
なお、投与量、投与速度は年齢、体重、症状に応じて適宜増減する。

7. 用法及び用量に関連する注意

長期連用を避けること(できるだけ短期投与にとどめ、5日以内とする)。

9. 特定の背景を有する患者に関する注意

9.1 合併症・既往歴等のある患者

  1. 9.1.1 糖尿病の患者

    血糖値が上昇することにより、症状が悪化するおそれがある。

  2. 9.1.2 脱水状態の患者

    腎機能障害発現の誘因となるおそれがある。

  3. 9.1.3 肺水腫の患者

    水分が肺細胞間質に滞留し、肺水腫が悪化するおそれがある。

  4. 9.1.4 低フィブリノーゲン血症、血小板減少症等の出血傾向のある患者

    凝固系を抑制して出血傾向を促進するおそれがある。

  5. 9.1.5 カリウム欠乏傾向のある患者

    ブドウ糖の投与によりカリウムが細胞内に移行し、一時的に血清カリウム値が低下し、症状が悪化するおそれがある。

  6. 9.1.6 尿崩症の患者

    水分、電解質等に影響を与えるため、症状が悪化するおそれがある。

9.2 腎機能障害患者

腎障害が悪化するおそれがある。

9.5 妊婦

妊婦又は妊娠している可能性のある女性には、治療上の有益性が危険性を上回ると判断される場合にのみ投与すること。

9.6 授乳婦

治療上の有益性及び母乳栄養の有益性を考慮し、授乳の継続又は中止を検討すること。

9.7 小児等

小児等を対象とした有効性及び安全性を指標とした臨床試験は実施していない。

9.8 高齢者

投与速度を緩徐にし、減量するなど注意すること。一般に生理機能が低下している。

10. 相互作用

    10.2 併用注意(併用に注意すること)

    薬剤名等臨床症状・措置方法機序・危険因子

    腎障害を起こすおそれのあるアミノ糖系抗生物質

    • カナマイシン、ゲンタマイシン

    乏尿など腎に異常が認められた場合には、投与を中止し、持続的血液濾過透析法、血漿交換、血液透析等の適切な処置を行うこと。

    これら抗生物質の腎毒性を増強することがある。脱水条件が加わると腎毒性がより増強される。

    11. 副作用

    次の副作用があらわれることがあるので、観察を十分に行い、異常が認められた場合には投与を中止するなど適切な処置を行うこと。

    11.1 重大な副作用

    1. 11.1.1 ショック(頻度不明)

      血圧降下、脈拍の異常、呼吸抑制等があらわれた場合には、直ちに投与を中止し、適切な処置を行うこと。

    2. 11.1.2 急性腎障害(頻度不明)

      乏尿などの異常が認められた場合には投与を中止し、持続的血液濾過透析法、血漿交換、血液透析等の適切な処置を行うこと。

    3. 11.1.3 過敏症(頻度不明)

      アナフィラキシー等の過敏症状があらわれた場合には投与を中止し、適切な処置を行うこと。

    11.2 その他の副作用

    頻度不明

    血液(大量投与又は連用)

    出血時間延長、出血傾向

    胃腸

    悪心・嘔吐

    皮膚

    蕁麻疹

    大量・急速投与

    電解質喪失

    12. 臨床検査結果に及ぼす影響

    血液型判定又は交差試験を妨害することがあるので、これらの試験を行う必要がある場合には、本剤の投与前に実施することが望ましい。

    14. 適用上の注意

    14.1 全般的な注意

    1. 14.1.1 使用時には、感染に対する配慮をすること。
    2. 14.1.2 注射針や輸液セットのびん針は、ゴム栓の刻印部(○印)に垂直にゆっくりと刺すこと。斜めに刺した場合、削り片の混入及び液漏れの原因となるおそれがある。また、針は同一箇所に繰り返し刺さないこと。

    14.2 薬剤調製時の注意

    薬剤を配合する場合には、配合変化に注意すること。

    14.3 薬剤投与時の注意

    1. 14.3.1 皮下投与しないこと。
    2. 14.3.2 原則として、連結管を用いたタンデム方式による投与は行わないこと。輸液セット内に空気が流入するおそれがある。
    3. 14.3.3 容器の目盛りは目安として使用すること。
    4. 14.3.4 残液は使用しないこと。

    18. 薬効薬理

    18.1 作用機序

    本剤はデキストラン40の有する膠質浸透圧に基づく水分保持機能による血漿量の増加並びにコロイドによる血中滞留時間の持続により、血漿増量効果を持続させる。

    18.2 末梢循環血流改善作用

    1. 18.2.1 赤血球凝集解離作用

      ヒト赤血球を用いたin vitroの試験において、デキストラン40は赤血球表面の負電荷を増強し、赤血球凝集解離作用を示した1)。また、デキストラン40はウサギの肝臓に形成した血管内赤血球凝集を解離し、末梢血流を改善した2)

    2. 18.2.2 血液粘度低下作用

      デキストラン40は、術後ショック患者の血液粘度を低下させた3)

    18.3 血圧維持効果

    脱血成犬に本剤を投与した結果、血圧、心拍数、股動脈血流量の改善維持効果が認められた4)

    18.4 血栓予防効果

    通電法により両大腿動脈血栓を作成したヒツジを用いた試験において、デキストラン40は血栓予防及び溶解効果を示した5)

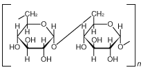
    19. 有効成分に関する理化学的知見

    一般的名称

    デキストラン40(Dextran 40)

    分子量

    約40000(平均分子量)

    性状

    白色の無晶性の粉末で、におい及び味はない。エタノール(95)又はジエチルエーテルにほとんど溶けない。水に徐々に溶解する。吸湿性である。

    化学構造式

    20. 取扱い上の注意

    1. 20.1 液漏れの原因となるので、強い衝撃や鋭利なものとの接触等を避けること。
    2. 20.2 品質保持のためにガスバリア性の外袋で包装し、脱酸素剤を封入しているので、外袋は使用時まで開封しないこと。
    3. 20.3 保存中の温度変化による局部的濃縮のため、まれに不溶性デキストラン(鱗片状又は凝縮物)を析出することがあるので、以下の点に留意すること。
      • 温度変化の少ない場所で保存すること。例えばクーラーの吹き出し口付近等、温度変化の著しい場所での保存は避けること。
      • 不溶性デキストランの析出は、ゴム栓とソフトバッグ容器内壁との接触溝付近で発生しやすいため6)、横積み状態での保存に努めること。
    4. 20.4 以下の場合には使用しないこと。
      • 外袋内や容器表面に水滴や結晶が認められる場合
      • 容器から薬液が漏れている場合
      • 不溶性デキストランの析出が認められる場合
      • 性状その他薬液に異状が認められる場合
      • ゴム栓部のシールがはがれている場合

    22. 包装

    500mL 20袋 ソフトバッグ(脱酸素剤入り)

    24. 文献請求先及び問い合わせ先

    株式会社大塚製薬工場 輸液DIセンター

    〒101-0048 東京都千代田区神田司町2-2

    TEL:0120-719-814
    FAX:03-5296-8400

    26. 製造販売業者等

    26.1 製造販売元

    株式会社大塚製薬工場

    徳島県鳴門市撫養町立岩字芥原115

    26.2 販売提携

    大塚製薬株式会社

    東京都千代田区神田司町2-9

    〒100-0013 東京都千代田区霞が関3-3-2 新霞が関ビル

    画面を閉じる

    Copyright © Pharmaceuticals and Medical Devices Agency, All Rights reserved.