医療用医薬品 詳細表示

ラジレス錠150mg

処方せん医薬品

添付文書番号
企業コード
作成又は改訂年月
日本標準商品分類番号
薬効分類名
承認等
一般的名称
2.禁忌(次の患者には投与しないこと)
3.組成・性状
3.1組成
3.2製剤の性状
4.効能又は効果
5.効能又は効果に関連する注意
6.用法及び用量
7.用法及び用量に関連する注意
8.重要な基本的注意
9.特定の背景を有する患者に関する注意
9.1合併症・既往歴等のある患者
9.2腎機能障害患者
9.4生殖能を有する者
9.5妊婦
9.6授乳婦
9.7小児等
9.8高齢者
10.相互作用
10.1併用禁忌(併用しないこと)
10.2併用注意(併用に注意すること)
11.副作用
11.1重大な副作用
11.2その他の副作用
13.過量投与
14.適用上の注意
16.薬物動態
16.1血中濃度
16.2吸収
16.3分布
16.4代謝
16.5排泄
16.6特定の背景を有する患者
16.7薬物相互作用
17.臨床成績
17.1有効性及び安全性に関する試験
18.薬効薬理
18.1作用機序
18.2ヒトレニン選択的阻害作用25)
18.3薬力学的効果27)
18.4降圧作用
19.有効成分に関する理化学的知見
22.包装
23.主要文献
24.文献請求先及び問い合わせ先
26.製造販売業者等

ラジレス錠150mg

添付文書番号

2149047F1028_2_05

企業コード

181251

作成又は改訂年月

**2025年9月改訂(第4版)
2023年5月改訂(第3版)

日本標準商品分類番号

872149

薬効分類名

直接的レニン阻害剤

承認等

ラジレス錠150mg

販売名コード

YJコード

2149047F1028

販売名英語表記

Rasilez Tablets150mg

販売名ひらがな

らじれすじょう150mg

承認番号等

承認番号

22100AMX01824000

販売開始年月

2009年10月

貯法・有効期間

貯法

室温保存

有効期間

3年

一般的名称

アリスキレンフマル酸

2. 禁忌(次の患者には投与しないこと)

  1. 2.1 本剤の成分に対し過敏症の既往歴のある患者
  2. 2.2 妊婦又は妊娠している可能性のある女性
  3. 2.3 イトラコナゾール、シクロスポリンを投与中の患者,,
  4. 2.4 アンジオテンシン変換酵素阻害剤又はアンジオテンシンII受容体拮抗剤を投与中の糖尿病患者(ただし、アンジオテンシン変換酵素阻害剤又はアンジオテンシンII受容体拮抗剤投与を含む他の降圧治療を行ってもなお血圧のコントロールが著しく不良の患者を除く)
  5. 2.5 サクビトリルバルサルタンナトリウム水和物を投与中の糖尿病患者

3. 組成・性状

3.1 組成

ラジレス錠150mg

有効成分1錠中アリスキレンフマル酸塩   165.75mg
(アリスキレンとして   150mg )
添加剤ポビドン、クロスポビドン、セルロース、無水ケイ酸、ステアリン酸マグネシウム、タルク、ヒプロメロース、マクロゴール、酸化チタン、三二酸化鉄、酸化鉄

3.2 製剤の性状

ラジレス錠150mg

剤形フィルムコーティング錠
色調うすい赤色
外形
大きさ直径11.2mm
厚さ4.1mm
質量357mg
識別コードNVR IL

4. 効能又は効果

高血圧症

5. 効能又は効果に関連する注意

本剤の投与に際しては患者ごとの背景を十分に考慮し、本剤適用の可否を慎重に判断すること。,,

6. 用法及び用量

通常、成人にはアリスキレンとして150mgを1日1回経口投与する。
なお、効果不十分な場合は、300mgまで増量することができる。

7. 用法及び用量に関連する注意

本剤服用時期は患者ごとに食後又は食前(空腹時)のいずれかに規定し、原則として毎日同じ条件で服用するよう指導すること。なお、本剤は、食前(空腹時)投与で食後投与に比べ血中濃度が高くなること等を踏まえ、食後投与での開始を考慮すること。本剤服用時期を変更する場合には症状の変化に特に注意すること。

8. 重要な基本的注意

  1. 8.1 降圧作用に基づくめまい、ふらつきがあらわれることがあるので、高所作業、自動車の運転等危険を伴う機械を操作する際には注意させること。
  2. 8.2 本剤はバイオアベイラビリティ(生物学的利用率)が低く個体間及び個体内変動が大きいため、種々の要因により臨床用量で推定される血中濃度を上回る可能性がある。

9. 特定の背景を有する患者に関する注意

9.1 合併症・既往歴等のある患者

  1. 9.1.1 体液量又は塩分が明らかに減少している患者(例えば、血液透析中の患者、高用量の利尿剤の投与を受けている患者、厳重な減塩療法中の患者)

    症候性の低血圧を起こすおそれがある。症候性低血圧が生じた場合には適切な処置を行うこと。

  2. 9.1.2 両側性もしくは片側性の腎動脈狭窄のある患者又は片腎で腎動脈狭窄のある患者

    治療上やむを得ないと判断される場合を除き、投与は避けること。腎血流量の減少や糸球体濾過圧の低下により急速に腎機能を悪化させるおそれがある。

  3. 9.1.3 高カリウム血症の患者

    治療上やむを得ないと判断される場合を除き、投与は避けること。高カリウム血症を増悪させるおそれがある。,

9.2 腎機能障害患者

患者の状態を観察しながら慎重に投与すること。
血清カリウム値及び血清クレアチニン値が上昇するおそれがある。

9.4 生殖能を有する者

  1. 9.4.1 妊娠する可能性のある女性

    *妊娠していることが把握されずアンジオテンシン変換酵素阻害剤又はアンジオテンシンⅡ受容体拮抗剤を使用し、胎児・新生児への影響(腎不全、頭蓋・肺・腎の形成不全、死亡等)が認められた例が報告されている1),2)

    本剤の投与に先立ち、代替薬の有無等も考慮して本剤投与の必要性を慎重に検討し、治療上の有益性が危険性を上回ると判断される場合にのみ投与すること。また、投与が必要な場合には次の注意事項に留意すること。

    1. (1) 本剤投与開始前に妊娠していないことを確認すること。本剤投与中も、妊娠していないことを定期的に確認すること。投与中に妊娠が判明した場合には、直ちに投与を中止すること。
    2. (2) 次の事項について、本剤投与開始時に患者に説明すること。また、投与中も必要に応じ説明すること。
      • 妊娠中に本剤を使用した場合、胎児・新生児に影響を及ぼすリスクがあること。
      • 妊娠が判明した又は疑われる場合は、速やかに担当医に相談すること。
      • 妊娠を計画する場合は、担当医に相談すること。

9.5 妊婦

*妊婦又は妊娠している可能性のある女性には投与しないこと。また、投与中に妊娠が判明した場合には、直ちに投与を中止すること。
妊婦への投与に関する情報は得られていない。アンジオテンシンII受容体拮抗剤並びにアンジオテンシン変換酵素阻害剤で、妊娠中期-末期に投与された患者に胎児・新生児死亡、羊水過少症、胎児・新生児の低血圧、腎不全、高カリウム血症、頭蓋の形成不全、羊水過少症によると推測される四肢の拘縮、脳、頭蓋顔面の奇形、肺の発育形成不全等があらわれたとの報告がある。また、海外で実施されたアンジオテンシン変換酵素阻害剤におけるレトロスペクティブな疫学調査で、妊娠初期にアンジオテンシン変換酵素阻害剤を投与された患者群において、胎児奇形の相対リスクは降圧剤が投与されていない患者群に比べ高かったとの報告がある。,

9.6 授乳婦

治療上の有益性及び母乳栄養の有益性を考慮し、授乳の継続又は中止を検討すること。動物実験(ラット)で、乳汁中へ移行するとの報告がある。

9.7 小児等

小児等を対象とした臨床試験は実施していない。

9.8 高齢者

患者の状態を観察しながら慎重に投与すること。一般に過度の降圧は脳梗塞等が起こるおそれがあるため好ましくないとされている。
薬物動態試験で、本剤の血漿中濃度が非高齢者に比べて高くなることが認められている。

10. 相互作用

  • アリスキレンはP糖蛋白(Pgp)の基質である。

10.1 併用禁忌(併用しないこと)

薬剤名等臨床症状・措置方法機序・危険因子
  • イトラコナゾール(イトリゾール)
  • ,

本剤の血中濃度が上昇するおそれがある3)

本剤のP糖蛋白(Pgp)を介した排出がこれらの薬剤により抑制されると考えられる。

  • シクロスポリン(サンディミュン、ネオーラル等)
  • ,

本剤の血中濃度が上昇するおそれがある4)

本剤のP糖蛋白(Pgp)を介した排出がこれらの薬剤により抑制されると考えられる。

  • アンジオテンシン変換酵素阻害剤
    • カプトプリル(カプトリル)
    • エナラプリル(レニベース)
    • アラセプリル(セタプリル)
    • イミダプリル塩酸塩(タナトリル)
    • キナプリル塩酸塩(コナン)
    • シラザプリル水和物(シラザプリル)
    • テモカプリル塩酸塩(エースコール)
    • デラプリル塩酸塩(アデカット)
    • トランドラプリル(オドリック)
    • ベナゼプリル塩酸塩(チバセン)
    • ペリンドプリルエルブミン(コバシル)
    • リシノプリル水和物(ゼストリル、ロンゲス)等

  • アンジオテンシンII受容体拮抗剤
    • バルサルタン(ディオバン)
    • アジルサルタン(アジルバ)
    • オルメサルタン(オルメテック)
    • イルベサルタン(アバプロ、イルベタン)
    • カンデサルタン(ブロプレス)
    • テルミサルタン(ミカルディス)
    • ロサルタン(ニューロタン)等

  • (糖尿病患者に使用する場合。ただし、他の降圧治療を行ってもなお血圧のコントロールが著しく不良の患者を除く。)

非致死性脳卒中、腎機能障害、高カリウム血症及び低血圧のリスク増加が報告されている。

レニン-アンジオテンシン系阻害作用が増強される可能性がある。

  • アンジオテンシン受容体ネプリライシン阻害薬
    • サクビトリルバルサルタンナトリウム水和物(エンレスト)
      (糖尿病患者に使用する場合)

非致死性脳卒中、腎機能障害、高カリウム血症及び低血圧のリスク増加がバルサルタンで報告されている。

レニン-アンジオテンシン系阻害作用が増強される可能性がある。

10.2 併用注意(併用に注意すること)

薬剤名等臨床症状・措置方法機序・危険因子
  • フロセミド

フロセミドの効果が減弱されるおそれがあるので、観察を十分に行うこと。併用投与(空腹時)によりフロセミドのCmaxが49%、AUCが28%低下した5)

機序は不明である。

  • Pgp阻害作用を有する薬剤
    • ベラパミル6)
    • アトルバスタチン7)
    • バルベナジン

本剤の血中濃度が上昇するおそれがある 。

本剤のPgpを介した排出がこれらの薬剤により抑制されると考えられる。

  • カリウム保持性利尿剤
    • スピロノラクトン トリアムテレン等
  • カリウム補給製剤
    • 塩化カリウム等
  • 抗アルドステロン剤
    • エプレレノン等

血清カリウム値が上昇するおそれがあるので血清カリウム値に注意すること。

本剤のアルドステロン分泌抑制によりカリウム貯留作用が増強する可能性がある。
危険因子:腎機能障害、糖尿病

  • レニン-アンジオテンシン系阻害剤
    • アンジオテンシン変換酵素阻害剤
      • カプトプリル
      • エナラプリル
      • アラセプリル等
    • アンジオテンシンII受容体拮抗剤
      • バルサルタン
      • アジルサルタン
      • オルメサルタン等

血清カリウム値が上昇するおそれがあるので血清カリウム値に注意すること。
レニン-アンジオテンシン系阻害剤併用時、腎機能障害患者、糖尿病患者、高齢者等では血清カリウム値が高くなりやすく、高カリウム血症が発現又は増悪するおそれがあるので、血清カリウム値に注意すること。

本剤を含むレニン-アンジオテンシン系に作用する薬剤のアルドステロン分泌抑制によりカリウム貯留作用が増強する可能性がある。

  • レニン-アンジオテンシン系阻害剤
    • アンジオテンシン変換酵素阻害剤
      • カプトプリル
      • エナラプリル
      • アラセプリル等
    • アンジオテンシンII受容体拮抗剤
      • バルサルタン
      • アジルサルタン
      • オルメサルタン等

腎機能を悪化させるおそれがあるので腎機能に注意すること。eGFRが60mL/min/1.73m2未満の腎機能障害のある患者へのアンジオテンシン変換酵素阻害剤又はアンジオテンシンII受容体拮抗剤との併用については、治療上やむを得ないと判断される場合を除き避けること。

本剤を含むレニン-アンジオテンシン系に作用する薬剤により、糸球体濾過圧が低下し、腎機能を悪化させる可能性がある。

  • レニン-アンジオテンシン系阻害剤
    • アンジオテンシン変換酵素阻害剤
      • カプトプリル
      • エナラプリル
      • アラセプリル等
    • アンジオテンシンII受容体拮抗剤
      • バルサルタン
      • アジルサルタン
      • オルメサルタン等

低血圧を起こすおそれがあるので血圧に注意すること。

レニン-アンジオテンシン系阻害作用が増強される可能性がある。

  • アンジオテンシン受容体ネプリライシン阻害薬
    • サクビトリルバルサルタンナトリウム水和物

腎機能障害、高カリウム血症及び低血圧を起こすおそれがある。eGFRが60mL/min/1.73m2未満の腎機能障害のある患者へのサクビトリルバルサルタンナトリウム水和物との併用については、治療上やむを得ないと判断される場合を除き避けること。

レニン-アンジオテンシン系阻害作用が増強される可能性がある。

  • 非ステロイド性消炎鎮痛剤(NSAIDs)・COX-2選択的阻害剤
  • インドメタシン等

本剤の降圧作用が減弱することがある。

NSAIDs・COX-2選択的阻害剤の腎プロスタグランジン合成阻害作用により、本剤の降圧作用が減弱することがある。

  • 非ステロイド性消炎鎮痛剤(NSAIDs)・COX-2選択的阻害剤
    • インドメタシン等

腎機能を悪化させるおそれがある。

NSAIDs・COX-2選択的阻害剤の腎プロスタグランジン合成阻害作用により、腎血流量が低下するためと考えられる。
危険因子:高齢者

  • バソプレシン受容体拮抗剤
    • トルバプタン

血清カリウム値が上昇するおそれがあるので血清カリウム値に注意すること。

バソプレシン受容体拮抗剤の水利尿作用により循環血漿量の減少を来し、相対的に血清カリウム濃度が上昇する可能性がある。

11. 副作用

次の副作用があらわれることがあるので、観察を十分に行い、異常が認められた場合には投与を中止するなど適切な処置を行うこと。

11.1 重大な副作用

  1. 11.1.1 血管性浮腫(頻度不明)1)

    **呼吸困難、嚥下困難及び顔面、口唇、咽頭、舌、四肢の腫脹等が症状としてあらわれることがある。また、腹痛、嘔気、嘔吐、下痢等を伴う腸管血管性浮腫があらわれることがある。

  2. 11.1.2 アナフィラキシー(頻度不明)1)

    **アナフィラキシー(喘鳴、血管性浮腫、蕁麻疹等)があらわれることがある。

  3. 11.1.3 高カリウム血症(1%未満)

    重篤な高カリウム血症があらわれることがある。

  4. 11.1.4 腎機能障害(1%未満)

    重篤な腎機能障害があらわれることがあり、慢性腎不全が増悪した例も報告されている。

11.2 その他の副作用

1%以上

1%未満

頻度不明1)

血液及びリンパ系障害

貧血

代謝及び栄養障害

血中トリグリセリド増加、血中尿酸増加

低ナトリウム血症

神経系障害

頭痛

めまい

血管障害

低血圧

胃腸障害

下痢

嘔吐、悪心

肝胆道系障害

肝機能異常、ALT増加、γ-GTP増加

皮膚及び皮下組織障害

発疹

そう痒症、紅斑

腎及び尿路障害

血中クレアチニン増加、尿中血陽性、尿中蛋白陽性

BUN増加

その他

CK増加

血中カリウム増加、末梢性浮腫

1) 承認時までの国内臨床試験で認められなかった副作用

13. 過量投与

  1. 13.1 症状

    データは少ないが、主に本剤の降圧作用による低血圧が考えられる。

  2. 13.2 処置

    本剤は血液透析では少量しか除去されない。

14. 適用上の注意

14.1 薬剤調製時の注意

  1. 14.1.1 PTPシートから取り出して調剤しないこと。
  2. 14.1.2 本剤を分割、粉砕しないこと。

14.2 薬剤交付時の注意

  1. 14.2.1 PTP包装の薬剤はPTPシートから取り出して服用するよう指導すること。PTPシートの誤飲により、硬い鋭角部が食道粘膜へ刺入し、更には穿孔をおこして縦隔洞炎等の重篤な合併症を併発することがある。

16. 薬物動態

16.1 血中濃度

  1. 16.1.1 単回投与

    健康成人男子に本剤 150mg(6例)及び300mg(6例)を単回経口投与(空腹時)したとき、アリスキレンは速やかに吸収され、血漿中薬物濃度は投与後1.5時間(中央値)で最高濃度に到達した。
    また、Cmax及びAUCは300mg投与まで投与量の増加にほぼ比例して増大し、平均消失半減期は約33.5~37.0時間であった8)

    健康成人男子に本剤を単回経口投与したときの薬物動態パラメータ(空腹時)

    投与量

    Cmax
    (ng/mL)

    Tmax
    (h)

    AUC0‒24h
    (ng・h/mL)

    T1/2(h)

    150mg

    83.7±71.4

    1.5(0.5~6)

    388±236

    37.0±7.2

    300mg

    150±67

    1.5(0.5~6)

    696±369

    33.5±5.1

    n=6、平均±標準偏差、※:中央値(範囲)

    健康成人男子に本剤を単回経口投与したときの平均血漿中薬物濃度推移(空腹時)(平均値±標準偏差、n=6)
  2. 16.1.2 反復投与

    健康成人男子19例に本剤300mgを1日1回7日間反復経口投与(空腹時)したとき、投与5~7日後に定常状態に達し、単回投与と比べ約2倍の累積が認められた9)

    健康成人男子に本剤150mgを1日1回7日間反復経口投与したときの薬物動態パラメータ(空腹時及び食後)

    投与条件

    Cmax
    (ng/mL)

    Tmax
    (h)

    AUC0-t
    (ng・h/mL)

    空腹時

    122±86.1

    0.4(0.4~4)

    1,100±469

    食後

    37.0±46.6

    1.0(0.5~6)

    509±316

    空腹時n=33、食後n=34、平均±標準偏差、※:中央値(範囲)

    健康成人男子に本剤150mgを1日1回7日間反復経口投与したときの平均血漿中薬物濃度推移(空腹時及び食後)(平均値±標準偏差)

16.2 吸収

健康成人男子34例に本剤150mgを食後に1日1回7日間反復経口投与したときのCmax及びAUCは、空腹時投与に比べ、それぞれ75%及び55%低下した。また、食後投与ではTmaxは延長した10)
本剤の絶対バイオアベイラビリティ(生物学的利用率)は約2~3%であった。健康成人(空腹時)の個体内変動の変動係数(CV%)はCmaxで53%、AUCで34%であり、個体間変動のCV%はCmaxで76%、AUCで54%であった11),12) (外国人データ)。,

16.3 分布

ヒトにおける本剤の血漿蛋白結合率は約50%であった。In vitro試験では10~500ng/mLの濃度で、濃度依存性は認められなかった13)

16.4 代謝

健康成人にアリスキレンフマル酸塩の14C標識体300mgを単回経口投与(空腹時)したとき、ほとんど体内で代謝を受けないが、代謝には主にCYP3A4が関与した14),15) (外国人データ)。

16.5 排泄

健康成人にアリスキレンフマル酸塩の14C標識体300mgを単回経口投与(空腹時)したとき、血漿中には主として未変化体が存在した。投与後168時間までに、投与量の約0.6%(未変化体は投与量の約0.4%)が尿中に、約91%(未変化体は投与量の約78%)が糞中に排泄された14),15) (外国人データ)。

16.6 特定の背景を有する患者

  1. 16.6.1 腎機能障害患者

    腎機能障害患者(軽症~重症)に本剤300mgを経口投与(空腹時)したとき、アリスキレンの暴露量(Cmax及びAUC)は、単回投与及び定常状態において、健康成人の約0.8~2.3倍であり、暴露量と腎機能障害の重症度との関連はみられなかった。
    血液透析を受けている末期腎不全患者に本剤300mgを経口投与したときのCmax及びAUCは、健康成人のそれぞれ約1.2倍及び約1.6倍であった16) (外国人データ)。

  2. 16.6.2 肝機能障害患者

    肝機能障害患者(軽症~重症)に本剤300mgを経口投与(空腹時)したとき、軽症、中等症及び重症肝機能障害患者との間に薬物動態パラメータの差は認められなかった。また、健康成人と比較して薬物動態パラメータに差は認められなかった17) (外国人データ)。

  3. 16.6.3 高齢者

    65歳以上の高齢者に本剤300mgを単回経口投与(空腹時)したとき、アリスキレンの暴露量(Cmax及びAUC)は、非高齢者(18~45歳)の約1.3~1.6倍であった。高齢者において暴露量が増加する傾向が認められたものの、非高齢者と比べて有効性及び安全性に差はみられなかった18) (外国人データ)。

16.7 薬物相互作用

  1. 16.7.1 イトラコナゾール

    健康成人にイトラコナゾール100mgと本剤150mgを併用投与(空腹時)したとき、アリスキレンのCmaxは約5.8倍、AUCは約6.5倍に増加した3) (外国人データ)。,

  2. 16.7.2 シクロスポリン

    健康成人にシクロスポリン200又は600mgと本剤75mg2) を併用投与(空腹時)したとき、アリスキレンのCmaxは約2.5倍、AUCは約5倍に増加した4) (外国人データ)。,

    2) 本剤の承認された用量は1日1回150mgから300mgである。

  3. 16.7.3 ベラパミル

    健康成人にベラパミル240mgと本剤300mgを併用投与(空腹時)したとき、アリスキレンのCmax及びAUCは約2倍に増加した。一方、ベラパミル及びその代謝物のAUCは約10~25%減少した6) (外国人データ)。

  4. 16.7.4 アトルバスタチン

    健康成人にアトルバスタチン80mgと本剤300mgを併用投与(空腹時)したとき、アリスキレンのCmax及びAUCは約1.5倍に増加したが、アトルバスタチン及びその代謝物の薬物動態に大きな変化はみられなかった7) (外国人データ)。

  5. 16.7.5 ケトコナゾール(経口剤は国内未発売)

    健康成人にケトコナゾール200mgと本剤300mgを併用投与(空腹時)したとき、アリスキレンのCmax及びAUCは約1.8倍に増加した7) (外国人データ)。

17. 臨床成績

17.1 有効性及び安全性に関する試験

  1. 17.1.1 国内第II相試験(用量設定及び休薬期における血圧推移)19)

    軽症から中等症の本態性高血圧患者455例を対象に本剤75mg~300mg3) を8週間投与した。最大降圧効果の80~90%は投与開始2週間後に得られ、投与開始4~6週間で最大降圧効果に達した。
    また、8週間投与後1週間休薬し、血圧推移を検討した結果、休薬期における急激な血圧の上昇は認められず、また血圧の回復も緩徐であった。1週間休薬後の血圧が、投与開始前の血圧値より低値であった被験者の割合は、本剤150mgで77.1%、300mgで82.9%であった。
    有害事象発現頻度は150mg投与群では51.8%(58/112)、300mg投与群では54.9%(62/113)であった。
    比較的よくみられた有害事象(発現率が2.0%以上)は、150mg投与群では鼻咽頭炎17.9%(20/112)、頭痛2.7%(3/112)、300mg投与群では鼻咽頭炎17.7%(20/113)、頭痛5.3%(6/113)、下痢3.5%(4/113)であった。

    3) 本剤の承認された用量は1日1回150mgから300mgである。

    本剤のベースラインに対するトラフ時平均坐位血圧の変化(最終投与時)

    疾患名

    投与期間

    食前/食後

    投与量
    (1日1回)

    症例数

    トラフ時平均坐位血圧の変化量注1)
    (単位:mmHg)

    収縮期

    拡張期

    軽症から中等症の本態性高血圧
    (用量設定試験)

    8週間

    食前

    300mg/日

    113

    -14.09(1.18)

    -10.72(0.75)

    150mg/日

    112

    -8.72(1.18)

    -7.75(0.76)

    プラセボ

    115

    -2.85(1.17)

    -3.26(0.75)

    注1)ベースライン値を共変量とし共分散分析モデルに基づいて求めた最小二乗平均値(標準誤差)

  2. 17.1.2 国内第III相試験(本態性高血圧症に対する検証試験)20)

    軽症から中等症の本態性高血圧患者458例を対象とした二重盲検比較試験で、本剤の有効性が確認された。
    150mg投与群の因果関係を否定できない有害事象(副作用)の発現頻度は22.2%(67/302)であった。主な副作用は潜血陽性3.0%、ALT増加2.0%、血中トリグリセリド増加2.0%であった。

    本剤のベースラインに対するトラフ時平均坐位血圧の変化(最終投与時)

    疾患名

    投与期間

    食前/食後

    投与量
    (1日1回)

    症例数

    トラフ時平均坐位血圧の変化量注1)
    (単位:mmHg)

    収縮期

    拡張期

    軽症から中等症の本態性高血圧
    (検証試験)

    8週間

    不問

    150mg/日

    302

    -10.4(0.72)

    -8.9(0.49)

    プラセボ

    156

    -2.0(0.99)

    -3.0(0.69)

    注1)ベースライン値を共変量とし共分散分析モデルに基づいて求めた最小二乗平均値(標準誤差)

  3. 17.1.3 国内第III相試験(腎機能障害を伴う高血圧)21)

    腎機能障害を伴う高血圧患者40例を対象とした非対照、非盲検、多施設共同試験において、本剤の有効性が確認された。
    有害事象発現頻度は、52.5%(21/40)であった。主な有害事象(発現率が3.0%以上)は鼻咽頭炎、背部痛、浮動性めまい(各5.0%(2/40))であった。

    本剤のベースラインに対するトラフ時平均坐位血圧の変化(最終投与時)

    疾患名

    投与期間

    食前/食後

    投与量
    (1日1回)

    症例数

    トラフ時平均坐位血圧の変化量注1)
    (単位:mmHg)

    収縮期

    拡張期

    腎機能障害を伴う高血圧

    8週間

    不問

    75~
    300mg/日注2)

    40

    -13.9±16.6

    -11.6±9.7

    注1)平均値±標準偏差
    注2)本剤の承認された用量は1日1回150mgから300mgである。

  4. 17.1.4 国内第III相試験(重症高血圧)22)

    重症高血圧患者39例を対象とした非対照、非盲検、多施設共同試験において、本剤の有効性が確認された。
    有害事象発現頻度は66.7%(26/39)であった。最もよくみられた有害事象は、鼻咽頭炎12.8%(5/39)で、次いで血中尿酸増加、頭痛、尿中蛋白陽性(各7.7%(3/39))であった。

    本剤のベースラインに対するトラフ時平均坐位血圧の変化(最終投与時)

    疾患名

    投与期間

    食前/食後

    投与量
    (1日1回)

    症例数

    トラフ時平均坐位血圧の変化量注1)
    (単位:mmHg)

    収縮期

    拡張期

    重症高血圧22)

    8週間

    不問

    150~
    300mg/日

    39

    -20.6±11.97

    -12.9±10.43

    注1)平均値±標準偏差

  5. 17.1.5 国内第II相試験(本態性高血圧症に対する長期投与試験)23)

    軽症から中等症の本態性高血圧患者344例に、本剤75mg~300mg4) を1日1回52週間経口投与(食前)したとき、本剤単独療法、利尿剤もしくはカルシウム拮抗剤又はその両方の併用療法のいずれにおいても150~300mgで耐薬性を認めることなく、安定した降圧効果が得られた。

    有害事象発現頻度は本剤単独投与群では72.7%(250/344)、カルシウム拮抗剤併用群では72.3%(86/119)、利尿薬併用群では69.2%(63/91)であった。
    比較的よくみられた有害事象(発現率が2.0%以上)は、本剤単独投与群では、鼻咽頭炎34.3%(118/344)、背部痛3.5%(12/344)、季節性アレルギー3.2%(11/344)、咽喉頭炎2.3%(8/344)。カルシウム拮抗剤併用群では、鼻咽頭炎33.6%(40/119)、背部痛2.5%(3/119)。利尿薬併用群では鼻咽頭炎25.3%(23/91)、咽喉頭炎4.4%(4/91)、背部痛3.3%(3/91)、季節性アレルギー3.3%(3/91)であった。

    4) 本剤の承認された用量は1日1回150mgから300mgである。

  6. 17.1.6 海外第III相試験(血圧日内変動)24)

    軽症から中等症の本態性高血圧患者を対象に本剤を8週間投与し(食前/食後不問)、自由行動下血圧測定(ABPM)による24時間血圧日内変動を検討した結果、本剤は1日1回投与において、24時間の安定した降圧効果を示すことが確認された。本剤150~300mgのトラフ/ピーク比(T/P比)は0.64~0.98であった(外国人データ)。

    本剤のベースラインに対するトラフ時平均坐位血圧の変化(最終投与時)

    疾患名

    投与期間

    食前/食後

    投与量
    (1日1回)

    症例数

    トラフ時平均坐位血圧の変化量注1)
    (単位:mmHg)

    収縮期

    拡張期

    軽症から中等症の本態性高血圧
    (日内変動試験)

    8週間

    不問

    150mg/日

    172

    -13.0(1.01)

    -10.3(0.63)

    300mg/日

    169

    -14.7(1.02)

    -11.1(0.64)

    注1)ベースライン値を共変量とし共分散分析モデルに基づいて求めた最小二乗平均値(標準誤差)

    有害事象発現頻度は150mg投与群では40.1%(69/172)、300mg投与群では46.7%(79/169)であった。
    比較的よくみられた有害事象(発現率が2.0%以上)は、150mg投与群では頭痛7.0%(12/172)、鼻咽頭炎2.9%(5/172)、上気道感染2.3%(4/172)、300mg投与群では頭痛7.7%(13/169)、浮動性めまい5.3%(9/169)、鼻咽頭炎3.6%(6/169)、上気道感染2.4%(4/169)であった。

18. 薬効薬理

18.1 作用機序

アリスキレンは、直接的レニン阻害剤であり、レニン-アンジオテンシン系(RAS)サイクルの起点となるレニンを強力かつ選択的に阻害することにより、アンジオテンシノーゲンからアンジオテンシンIへの変換を遮断し、PRA、アンジオテンシンI及びアンジオテンシンIIの濃度を低下させ、持続的な降圧効果を発揮する。

18.2 ヒトレニン選択的阻害作用25),26)

アリスキレンは、ヒト遺伝子組換えレニンを強力に阻害したが(IC50値;0.6nM)、ヒトアスパラギン酸プロテイナーゼ及びHIV-1プロテイナーゼに対する阻害作用は、IC50値として5,000nM以上であった。ヒト以外の動物種のレニンに対する阻害作用(IC50値)は、マーモセット(2nM)とマウス(4.5nM)において比較的強力であった。

18.3 薬力学的効果27)

軽症から中等症本態性高血圧患者に本剤150又は300mgを経口投与(食後)したとき、血漿レニン活性(PRA)は低下した。

18.4 降圧作用

  1. 18.4.1 ヒトレニン及びヒトアンジオテンシノーゲン遺伝子を導入したダブルトランスジェニックラット(dTGR)における降圧作用28)

    アリスキレンの降圧効果は速やかに発揮され、かつ用量依存的であった。また、10日間連続して反復経口投与したときの降圧作用は、減弱又は増強等の変動なしに安定して発揮された。

  2. 18.4.2 重度低ナトリウム処置マーモセットにおける降圧作用29)

    アリスキレンの降圧効果は速やかに発揮され、かつ用量依存的であった。血漿中レニン活性は、アリスキレン投与後ほぼ完全に阻害され、その持続時間は用量に依存して延長した。

  3. 18.4.3 自然発症高血圧ラット(SHR)における降圧作用29)

    アリスキレンを2週間連続皮下投与したとき、用量依存的な降圧作用が認められた。

  4. 18.4.4 併用効果29)

    SHRにアリスキレンとともにバルサルタン、もしくはベナゼプリルを併用投与したとき、降圧作用の増強が認められた。

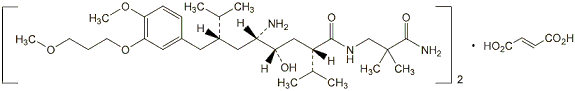
19. 有効成分に関する理化学的知見

一般的名称

アリスキレンフマル酸塩(Aliskiren Fumarate)

化学名

Bis[(2S,4S,5S,7S)‒5‒amino‒N‒(2‒carbamoyl‒2‒methylpropyl)‒4‒hydroxy‒2‒(1‒methylethyl)‒7‒[4‒methoxy‒3‒(3‒methoxypropoxy)benzyl]‒8‒methylnonanamide] monofumarate

分子式

2C30H53N3O6・C4H4O4

分子量

1,219.59

性状

白色~微黄白色の粉末である。水に溶けやすく、メタノール及びエタノール(99.5)にやや溶けにくく、アセトニトリルに極めて溶けにくい。

化学構造式

22. 包装

(PTP) 140錠(14錠×10)

23. 主要文献

1) *阿部真也ほか:周産期医学.2017; 47: 1353-1355

2) *齊藤大祐ほか:鹿児島産科婦人科学会雑誌.2021; 29: 49-54

3) Tapaninen T, et al.:J Clin Pharmacol. 2011; 51: 359-367.〔RASF00064〕

4) Rebello S, et al.:J Clin Pharmacol. 2011; 51: 1549-1560.〔RASF00111〕

5) Vaidyanathan S, et al.:Cardiovasc Ther. 2008; 26: 238-246.〔RASM00252〕

6) Rebello S, et al.:J Clin Pharmacol. 2011; 51: 218-228.〔RASF00063〕

7) Vaidyanathan S, et al.:J Clin Pharmacol. 2008; 48: 1323-1338.〔RASM00239〕

8) 社内資料:日本人健康成人男子を対象とした単回経口投与試験〔RASU00002〕(2009年7月7日承認、CTD2.7.6.2)

9) Vaidyanathan S, et al.:Br J Clin Pharmacol. 2006; 62: 690-698.〔RASM00051〕

10) 社内資料:日本人健康成人男子における食事の影響〔RASU00003〕(2009年7月7日承認、CTD2.7.6.1)

11) 社内資料:外国人健康成人男子における絶対バイオアベイラビリティ〔RASU00004〕(2009年7月7日承認、CTD2.7.6.1)

12) 社内資料:生物学的同等性〔RASU00005〕(2009年7月7日承認、CTD2.7.6.1)

13) 社内資料:In vitroにおける血球移行及び蛋白結合〔RASU00006〕(2009年7月7日承認、CTD2.6.4.4)

14) Waldmeier F, et al.:Drug Metab Dispos. 2007; 35: 1418-1428.〔RASM00105〕

15) Vaidyanathan S, et al.:Clin Pharmacokinet. 2008; 47: 515-531.〔RASM00209〕

16) Vaidyanathan S, et al.:Clin Pharmacokinet. 2007; 46: 661-675.〔RASM00110〕

17) Vaidyanathan S, et al.:J Clin Pharmacol. 2007; 47: 192-200.〔RASM00058〕

18) Vaidyanathan S, et al.:J Clin Pharmacol. 2007; 47: 453-460.〔RASM00077〕

19) Kushiro T, et al.:Hypertens Res. 2006; 29: 997-1005.〔RASJ00010〕

20) 社内資料:二重盲検法による軽症から中等症の高血圧患者に対する有効性及び安全性〔RASU00008〕(2009年7月7日承認、CTD2.7.6.4)

21) Ito S, et al.:Hypertens Res. 2010; 33: 62-66.〔RASJ00026〕

22) 社内資料:重症高血圧患者に対する安全性及び有効性〔RASU00010〕(2009年7月7日承認、CTD2.7.6.4)

23) Kushiro T, et al.:Hypertens Res. 2009; 32: 169-175.〔RASJ00013〕

24) Oh B H, et al.:J Am Coll Cardiol. 2007; 49: 1157-1163.〔RASM00076〕

25) Wood J M, et al.:Biochem Biophys Res Commun. 2003; 308: 698-705.〔RASM00014〕

26) 社内資料:レニンに対する阻害作用〔RASU00011〕(2009年7月7日承認、CTD2.6.2.2.1.2)

27) 社内資料:高血圧患者における薬物動態及び薬力学〔RASU00007〕(2009年7月7日承認、CTD2.7.6.3)

28) 社内資料:ダブルトランスジェニックラットにおける降圧作用〔RASU00012〕(2009年7月7日承認、CTD2.6.2.2.2.1)

29) Wood J M, et al.:J Hypertens. 2005; 23: 417-426.〔RASM00002〕

24. 文献請求先及び問い合わせ先

株式会社オーファンパシフィックDIセンター

〒105-0023 東京都港区芝浦1-1-1

TEL 0120-889-009
受付時間 9:00〜17:30(土・日・祝日・社休日を除く)

26. 製造販売業者等

26.1 製造販売元

株式会社オーファンパシフィック

〒105-0023 東京都港区芝浦1-1-1

〒100-0013 東京都千代田区霞が関3-3-2 新霞が関ビル

画面を閉じる

Copyright © Pharmaceuticals and Medical Devices Agency, All Rights reserved.