医療用医薬品 詳細表示

メンタックスクリーム1%

処方せん医薬品以外の医薬品

添付文書番号
企業コード
作成又は改訂年月
日本標準商品分類番号
薬効分類名
承認等
一般的名称
2.禁忌(次の患者には投与しないこと)
3.組成・性状
3.1組成
3.2製剤の性状
4.効能又は効果
6.用法及び用量
9.特定の背景を有する患者に関する注意
9.5妊婦
9.7小児等
11.副作用
11.2その他の副作用
14.適用上の注意
16.薬物動態
16.1血中濃度
16.2吸収
16.4代謝
17.臨床成績
17.1有効性及び安全性に関する試験
17.3その他
18.薬効薬理
18.1作用機序
18.2抗真菌作用
18.3皮膚貯留性
19.有効成分に関する理化学的知見
22.包装
23.主要文献
24.文献請求先及び問い合わせ先
26.製造販売業者等

メンタックスクリーム1%

添付文書番号

2659708N1082_1_04

企業コード

200022

作成又は改訂年月

2026年4月改訂(第2版)
2022年7月改訂(第1版)

日本標準商品分類番号

872659

薬効分類名

抗白癬菌剤

承認等

メンタックスクリーム1%

販売名コード

YJコード

2659708N1082

販売名英語表記

MENTAX Cream

販売名ひらがな

めんたっくすくりーむ1%

承認番号等

承認番号

22000AMX00208

販売開始年月

1992年4月

貯法・有効期間

貯法

室温保存

有効期間

3年

基準名

日本薬局方

ブテナフィン塩酸塩クリーム

一般的名称

ブテナフィン塩酸塩

2. 禁忌(次の患者には投与しないこと)

本剤の成分に対し過敏症の既往歴のある患者

3. 組成・性状

3.1 組成

メンタックスクリーム1%

有効成分1g中日局ブテナフィン塩酸塩   10mg
添加剤白色ワセリン、セタノール、ステアリン酸、プロピレングリコール脂肪酸エステル、グリセリン、ジエタノールアミン、安息香酸ナトリウム、その他2成分

3.2 製剤の性状

メンタックスクリーム1%

性状白色のクリーム状軟膏で、わずかに特異なにおいがある。光により変化する。
識別コードKC-122

4. 効能又は効果

  • 下記の皮膚真菌症の治療
  • 白癬:足部白癬、股部白癬、体部白癬
  • 癜風

6. 用法及び用量

*1日1回患部に塗布する。

9. 特定の背景を有する患者に関する注意

9.5 妊婦

妊婦又は妊娠している可能性のある女性には、治療上の有益性が危険性を上回ると判断される場合にのみ使用すること。

9.7 小児等

  1. 9.7.1 低出生体重児又は新生児を対象とした有効性及び安全性を指標とした臨床試験は実施していない。
  2. 9.7.2 乳児又は3歳以下の幼児では、刺激感、発赤等があらわれやすいので、このような症状があらわれた場合には使用を中止するなど適切な処置を行うこと。

11. 副作用

次の副作用があらわれることがあるので、観察を十分に行い、異常が認められた場合には使用を中止するなど適切な処置を行うこと。

11.2 その他の副作用

0.1~5%未満

0.1%未満

頻度不明

皮膚

接触皮膚炎、局所の発赤・紅斑、刺激感、そう痒、水疱

落屑

糜爛、亀裂

14. 適用上の注意

14.1 *薬剤使用時の注意

著しい糜爛面には使用しないこと。

16. 薬物動態

16.1 血中濃度

  1. 16.1.1 単回投与

    健康成人の背部皮膚表面500cm2にブテナフィン塩酸塩クリーム1%5gを単回投与(12時間塗布)したときの血漿中濃度は、12時間(塗布終了時)で最高となりCmaxは4.0ng/mL、消失半減期は23.4時間であった1)

  2. 16.1.2 反復投与

    健康成人の背部皮膚表面500cm2にブテナフィン塩酸塩クリーム1%5gを7日間反復投与したとき、最高血漿中濃度は2日目以降4.3~4.8ng/mLでほぼ一定となった1)

16.2 吸収

健康成人の背部皮膚表面500cm2にブテナフィン塩酸塩クリーム1%5gを単回投与(12時間塗布)したときのブテナフィン塩酸塩の回収率は77.9%であった1)

16.4 代謝

健康成人の背部皮膚表面500cm2にブテナフィン塩酸塩クリーム1%5gを単回投与(12時間塗布)したときの代謝物の検索を行ったところ、尿中にごく微量の未変化体が認められたのみであった1)

17. 臨床成績

17.1 有効性及び安全性に関する試験

  1. 17.1.1 国内第Ⅱ相試験

    白癬又は癜風の患者を対象に、ブテナフィン塩酸塩クリーム1%を1日1回2週間(足部白癬では4週間)患部に入浴後又は就寝前に塗布したところ、有効率は下表のとおりであった2)

    疾患名

    有効率

    白癬

    足部白癬

    82.4%(140/170例)

    股部白癬

    92.5%(49/53例)

    体部白癬

    84.4%(76/90例)

    癜風

    81.1%(43/53例)

    副作用発現頻度は、2.3%(9/393例)であった。主な副作用は、刺激感1.0%(4/393例)、接触皮膚炎、発赤・紅斑各0.8%(3/393例)であった。

  2. 17.1.2 国内第Ⅲ相比較試験

    白癬又は癜風の患者を対象に、ブテナフィン塩酸塩クリーム1%又はビホナゾールクリーム1%を1日1回2週間(足部白癬では4週間)患部に入浴後又は就寝前に塗布したところ、有効率は下表のとおりであった3)

    疾患名

    有効率

    ブテナフィン塩酸塩クリーム1%

    ビホナゾールクリーム1%

    白癬

    足部白癬

    77.8%(77/99例)

    71.8%(74/103例)

    股部白癬

    83.7%(36/43例)

    92.3%(36/39例)

    体部白癬

    86.4%(38/44例)

    80.4%(41/51例)

    癜風

    85.7%(36/42例)

    86.8%(33/38例)

    副作用発現頻度は、1.6%(4/249例)であった。主な副作用は、そう痒1.2%(3/249例)、発赤・紅斑0.8%(2/249例)であった。

  3. 17.1.3 国内第Ⅲ相一般臨床試験

    白癬又は癜風の患者を対象に、ブテナフィン塩酸塩クリーム1%を1日1回2週間(足部白癬では4週間)患部に入浴後又は就寝前に塗布したところ、有効率は下表のとおりであった4)

    疾患名

    有効率

    白癬

    足部白癬

    75.0%(15/20例)

    股部白癬

    100.0%(8/8例)

    体部白癬

    100.0%(10/10例)

    癜風

    66.7%(6/9例)

    副作用は接触皮膚炎2.1%(1/47例)のみであった。

  4. 17.1.4 国内第Ⅲ相比較試験

    足部白癬の患者を対象に、ブテナフィン塩酸塩クリーム1%を1日1回4週間又はクロトリマゾールクリーム1%を1日2回4週間朝及び晩(入浴後又は就寝前)患部に塗布したところ、有効率は下表のとおりであった5)

    疾患名

    有効率

    ブテナフィン塩酸塩クリーム1%

    クロトリマゾールクリーム1%

    白癬

    足部白癬

    84.2%(16/19例)

    82.4%(14/17例)

    副作用は認められなかった。

  5. 17.1.5 国内長期投与試験

    足部白癬の患者を対象に、ブテナフィン塩酸塩クリーム1%を1日1回4週間以上8週間まで入浴後又は就寝前に患部に塗布したところ、有効率は下表のとおりであった6)

    疾患名

    有効率

    白癬

    足部白癬

    第4週

    57.9%(11/19例)

    第8週

    100.0%(22/22例)

    副作用発現頻度は9.1%(2/22例)であり、副作用の内訳は、水疱9.1%(2/22例)、落屑4.6%(1/22例)であった。

17.3 その他

  1. 17.3.1 皮膚刺激性

    本邦パッチテスト研究班の基準に基づき、健康成人並びに皮膚疾患患者を対象にクリーム剤及び基剤を用いたパッチテストと皮膚疾患患者における光パッチテストの結果、皮膚刺激性は認められなかった7),8)

18. 薬効薬理

18.1 作用機序

スクアレンのエポキシ化反応阻害に基づいて、真菌細胞膜の構成成分であるエルゴステロールの合成を阻害する9),10)

18.2 抗真菌作用

  1. 18.2.1 抗真菌活性

    ブテナフィン塩酸塩は皮膚糸状菌(Trichophyton属、Microsporum属、Epidermophyton属)及び癜風菌(Malassezia furfur)に対して強い抗菌力を示し、その作用は殺菌的である11),12)in vitro)。

    主な臨床分離株に対する最小発育阻止濃度(MIC)

    菌種

    株数

    MIC(μg/mL)
    幾何平均(最小~最大)

    Trichophyton rubrum
    Trichophyton mentagrophytes
    Microsporum canis
    Epidermophyton floccosum
    Malassezia furfur

    41
    22
    14
    3
    6

    0.007(0.0015~0.025)
    0.012(0.006~0.025)
    0.024(0.0125~0.05)
    0.016(0.006~0.025)
    3.13(1.56~6.25)注)

    培地:Sabouraud dextrose agar, 注)Medium C

  2. 18.2.2 実験的白癬治療効果

    Trichophyton mentagrophytesによるモルモット背部白癬モデル及び足部白癬モデルに対して、1日1回の塗布で治療効果を認めた13),14)

    モルモット足部白癬に対する効果

    治療日数

    菌陰性化率

    ブテナフィン塩酸塩クリーム1%
    ブテナフィン塩酸塩外用液1%

    20日
    20日

    88.5%
    89.2%

    感染後10日目から治療

    モルモット背部白癬に対する効果

    治療日数

    菌陰性化率

    ブテナフィン塩酸塩外用液1%
    ブテナフィン塩酸塩外用液1%

    4日
    10日

    100%
    100%

    感染後2日目から治療

18.3 皮膚貯留性

モルモットの背部皮膚面にブテナフィン塩酸塩外用液1%を塗布し、24、48又は72時間後にTrichophyton mentagrophytesを接種した実験では、24及び48時間で感染は完全に予防された13)
さらにブテナフィン塩酸塩の皮膚中濃度を測定した結果、24、48、72時間のいずれにおいてもT.mentagrophytesの最小殺菌濃度(0.012μg/mL)をはるかに上回る皮膚中濃度が維持されていた。

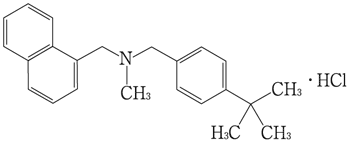
19. 有効成分に関する理化学的知見

一般的名称

ブテナフィン塩酸塩(Butenafine Hydrochloride)

化学名

N-[4-(1,1-Dimethylethyl)benzyl]-N-methyl-1-(naphthalen-1-yl)methylamine monohydrochloride

分子式

C23H27N・HCl

分子量

353.93

性状

白色の結晶又は結晶性の粉末である。
ギ酸に極めて溶けやすく、メタノール又はエタノール(99.5)に溶けやすく、水に溶けにくい。
ブテナフィン塩酸塩0.20gを水100mLに加温して溶かし、冷却した液のpHは3.0~4.0である。

化学構造式

融点

約214℃(分解)

22. 包装

20本[10g(チューブ)×20]
50本[10g(チューブ)×50]

24. 文献請求先及び問い合わせ先

科研製薬株式会社 医薬品情報サービス室

〒113-8650 東京都文京区本駒込二丁目28番8号

フリーダイヤル 0120-519-874

26. 製造販売業者等

26.1 製造販売元

科研製薬株式会社

東京都文京区本駒込二丁目28番8号

〒100-0013 東京都千代田区霞が関3-3-2 新霞が関ビル

画面を閉じる

Copyright © Pharmaceuticals and Medical Devices Agency, All Rights reserved.