医療用医薬品 詳細表示

ジゴキシン錠0.0625「KYO」/ハーフジゴキシンKY錠0.125/ジゴキシンKY錠0.25

処方せん医薬品

添付文書番号
企業コード
作成又は改訂年月
日本標準商品分類番号
薬効分類名
承認等
一般的名称
2.禁忌(次の患者には投与しないこと)
3.組成・性状
3.1組成
3.2製剤の性状
4.効能又は効果
6.用法及び用量
7.用法及び用量に関連する注意
8.重要な基本的注意
9.特定の背景を有する患者に関する注意
9.1合併症・既往歴等のある患者
9.2腎機能障害患者
9.5妊婦
9.6授乳婦
9.7小児等
9.8高齢者
10.相互作用
10.2併用注意(併用に注意すること)
11.副作用
11.1重大な副作用
11.2その他の副作用
13.過量投与
14.適用上の注意
16.薬物動態
16.1血中濃度
16.4代謝
16.5排泄
18.薬効薬理
18.1作用機序
19.有効成分に関する理化学的知見
22.包装
23.主要文献
24.文献請求先及び問い合わせ先
26.製造販売業者等

ジゴキシン錠0.0625「KYO」/ハーフジゴキシンKY錠0.125/ジゴキシンKY錠0.25

添付文書番号

2113003F1065_1_19

企業コード

230099

作成又は改訂年月

**2026年3月改訂(第5版)
2025年12月改訂

日本標準商品分類番号

872113

薬効分類名

ジギタリス配糖体製剤

承認等

ジゴキシン錠0.0625「KYO」

販売名コード

YJコード

2113003F3025

販売名英語表記

Digoxin Tablets 0.0625「KYO」

販売名ひらがな

じごきしんじょうれいてんれいろくにご「けいわいおー」

承認番号等

承認番号

22600AMX00969

販売開始年月

2015年1月

貯法・有効期間

貯法

室温保存

有効期間

3年

基準名

日本薬局方

ジゴキシン錠

ハーフジゴキシンKY錠0.125

販売名コード

YJコード

2113003F2029

販売名英語表記

Halfdigoxin-KY Tablets 0.125

販売名ひらがな

はーふじごきしんけいわいじょうれいてんいちにご

承認番号等

承認番号

21400AMZ00097

販売開始年月

2002年7月

貯法・有効期間

貯法

室温保存

有効期間

3年

基準名

日本薬局方

ジゴキシン錠

ジゴキシンKY錠0.25

販売名コード

YJコード

2113003F1065

販売名英語表記

Digoxin-KY Tablets 0.25

販売名ひらがな

じごきしんけいわいじょうれいてんにご

承認番号等

承認番号

15700AMZ01329

販売開始年月

1962年12月

貯法・有効期間

貯法

室温保存

有効期間

3年

基準名

日本薬局方

ジゴキシン錠

一般的名称

ジゴキシン

2. 禁忌(次の患者には投与しないこと)

  1. 2.1 房室ブロック、洞房ブロックのある患者[刺激伝導系を抑制し、これらを悪化させることがある。]
  2. 2.2 ジギタリス中毒の患者[中毒症状が悪化する。]
  3. 2.3 閉塞性心筋疾患(特発性肥大性大動脈弁下狭窄等)のある患者[心筋収縮力を増強し、左室流出路の閉塞を悪化させることがある。]
  4. 2.4 本剤の成分又はジギタリス剤に対し過敏症の既往歴のある患者

3. 組成・性状

3.1 組成

ジゴキシン錠0.0625「KYO」

有効成分(1錠中)
日局 ジゴキシン   0.0625mg
添加剤乳糖水和物  
トウモロコシデンプン  
セルロース  
クロスカルメロースNa  
ヒドロキシプロピルセルロース  
ステアリン酸Mg  

ハーフジゴキシンKY錠0.125

有効成分(1錠中)
日局 ジゴキシン   0.125mg
添加剤乳糖水和物  
トウモロコシデンプン  
セルロース  
クロスカルメロースNa  
ヒドロキシプロピルセルロース  
ステアリン酸Mg  
黄色三二酸化鉄  

ジゴキシンKY錠0.25

有効成分(1錠中)
日局 ジゴキシン   0.25mg
添加剤乳糖水和物  
トウモロコシデンプン  
ステアリン酸Mg  

3.2 製剤の性状

ジゴキシン錠0.0625「KYO」

外形表面
裏面
側面
大きさ直径6.0mm
厚さ2.2mm
質量80mg
識別コードKYO 270
色・剤形白色~帯黄白色の素錠

ハーフジゴキシンKY錠0.125

外形表面
裏面
側面
大きさ直径7.0mm
厚さ2.6mm
質量120mg
識別コードKYO 271
色・剤形帯黄白色素錠(割線入り)

ジゴキシンKY錠0.25

外形表面
裏面
側面
大きさ長径7.8mm
短径6.3mm
厚さ2.3mm
質量120mg
識別コードKYO 272
色・剤形白色素錠(割線入り)

4. 効能又は効果

  • 次の疾患に基づくうっ血性心不全(肺水腫、心臓喘息などを含む。)
    • 先天性心疾患、弁膜疾患、高血圧症、虚血性心疾患(心筋梗塞、狭心症など)、肺性心(肺血栓・塞栓症、肺気腫、肺線維症などによるもの)、その他の心疾患(心膜炎、心筋疾患など)、腎疾患、甲状腺機能亢進症並びに低下症など
  • 心房細動・粗動による頻脈
  • 発作性上室性頻拍
  • 次の際における心不全及び各種頻脈の予防と治療
    • 手術、急性熱性疾患、出産、ショック、急性中毒

6. 用法及び用量

ジゴキシンとして通常成人に対して

(1)急速飽和療法(飽和量:1.0〜4.0mg)

  • 初回0.5〜1.0mg、以後0.5mgを6〜8時間毎に経口投与し、十分効果のあらわれるまで続ける。

(2)比較的急速飽和療法を行うことができる。
(3)緩徐飽和療法を行うことができる。
(4)維持療法

  • 1日0.25〜0.5mgを経口投与する。

ジゴキシンとして通常小児に対して

(1)急速飽和療法

  • 2歳以下 1日0.06〜0.08mg/kgを3〜4回に分割経口投与する。
    2歳以上 1日0.04〜0.06mg/kgを3〜4回に分割経口投与する。

(2)維持療法

  • 飽和量の1/5〜1/3量を経口投与する。

7. 用法及び用量に関連する注意

飽和療法は過量になりやすいので、緊急を要さない患者には治療開始初期から維持療法による投与も考慮すること。

8. 重要な基本的注意

  1. 8.1 本剤を投与する場合には観察を十分に行い、過去2~3週間以内にジギタリス剤又はその他の強心配糖体が投与されているか否かを確認したのち、慎重に投与量を決定すること。
  2. 8.2 本剤の至適投与量は患者により個人差があるので、少量から投与を開始し、観察を十分に行い投与量を調節すること。
  3. 8.3 本剤は種々の薬剤との相互作用が報告されているが、可能性のあるすべての組み合わせについて検討されているわけではないので、他剤と併用したり、本剤又は他剤を休薬する場合は本剤の血中濃度の推移、自覚症状、心電図等に注意し、慎重に投与すること。
  4. 8.4 ジギタリス中毒の症状(悪心・嘔吐、不整脈等)があらわれることがあるので、消化器・神経系自覚症状、心電図、血中濃度測定等必要に応じ観察するとともに腎機能、血清電解質(カリウム、マグネシウム、カルシウム)、甲状腺機能等の誘因に注意すること。,,,,,,,,

9. 特定の背景を有する患者に関する注意

9.1 合併症・既往歴等のある患者

  1. 9.1.1 急性心筋梗塞のある患者

    心筋収縮力増強により心筋虚血を悪化させるおそれがある。

  2. 9.1.2 心室性期外収縮のある患者

    中毒が発現した場合鑑別ができないおそれがある。

  3. 9.1.3 心膜炎、肺性心のある患者

    少量で中毒を起こすおそれがある。,

  4. 9.1.4 WPW症候群のある患者

    副伝導路の伝導速度を速め、不整脈が悪化するおそれがある。

  5. 9.1.5 電解質異常(低カリウム血症、高カルシウム血症、低マグネシウム血症等)のある患者

    少量で中毒を起こすおそれがある。,

  6. 9.1.6 甲状腺機能低下症のある患者

    本剤の血中濃度が高くなり、作用が増強し、中毒を起こすおそれがある。,

  7. 9.1.7 甲状腺機能亢進症のある患者

    本剤の血中濃度が低くなり、作用が減弱し、大量投与を要することがある。

9.2 腎機能障害患者

  1. 9.2.1 腎疾患のある患者

    本剤の排泄が遅延し、中毒を起こすおそれがある。,

  2. 9.2.2 血液透析を受けている患者

    本剤の排泄が遅延する。また、透析により、血清カリウム値が低下する可能性があるため、中毒を起こすおそれがある。,

9.5 妊婦

妊婦又は妊娠している可能性のある女性には治療上の有益性が危険性を上回ると判断される場合にのみ投与すること。

9.6 授乳婦

治療上の有益性及び母乳栄養の有益性を考慮し、授乳の継続又は中止を検討すること。ジゴキシンはヒトで母乳中へ微量ながら移行する。

9.7 小児等

少量から投与を開始し、血中濃度や心電図等を監視するなど、観察を十分に行い、慎重に投与すること。ジギタリス中毒があらわれやすい。,

9.8 高齢者

少量から投与を開始し、血中濃度等を監視するなど、観察を十分に行い、慎重に投与すること。ジギタリス中毒があらわれやすい。,

10. 相互作用

  • 本剤はP糖蛋白質の基質であるため、本剤の血中濃度はP糖蛋白質に影響を及ぼす薬剤により影響を受けると考えられる。

10.2 併用注意(併用に注意すること)

薬剤名等臨床症状・措置方法機序・危険因子

解熱・鎮痛・消炎剤

  • インドメタシン
  • ジクロフェナク 等

本剤の作用を増強することがある。ジギタリス中毒の症状(悪心・嘔吐、不整脈等)があらわれることがある。

本剤の腎排泄が抑制され、血中濃度が上昇するとの報告がある。

トラゾドン

本剤の作用を増強することがある。ジギタリス中毒の症状(悪心・嘔吐、不整脈等)があらわれることがある。

機序は不明であるが、本剤の血中濃度が上昇するとの報告がある。

スキサメトニウム塩化物水和物

併用により重篤な不整脈を起こすおそれがある。治療上やむを得ないと判断される場合を除き、スキサメトニウム塩化物水和物を投与しないこと。

スキサメトニウム塩化物水和物の血中カリウム増加作用又はカテコールアミン放出が原因と考えられている。

抗コリン剤

  • アトロピン系薬剤
    プロパンテリン 等

本剤の作用を増強することがある。ジギタリス中毒の症状(悪心・嘔吐、不整脈等)があらわれることがある。

腸管運動を抑制し滞留時間が延長されるため、本剤の吸収が増大し、血中濃度が上昇するとの報告がある。

不整脈用剤

  • アミオダロン
    キニジン
    ピルメノール
    フレカイニド
    ピルシカイニド塩酸塩水和物
    プロパフェノン
    ベプリジル 等

本剤の作用を増強することがある。ジギタリス中毒の症状(悪心・嘔吐、不整脈等)があらわれることがある。

機序不明なものも含まれるが、本剤の腎排泄が抑制されることによる血中濃度上昇、あるいは、薬力学的相互作用による刺激伝導抑制等があらわれることがある。

β遮断剤

  • プロプラノロール
    アテノロール
    カルベジロール 等

本剤の作用を増強することがある。ジギタリス中毒の症状(悪心・嘔吐、不整脈等)があらわれることがある。

薬力学的相互作用により、伝導抑制の増強、徐脈の誘発があらわれることがある。また、カルベジロールでは本剤の血中濃度が上昇したとの報告がある。

利尿剤
カリウム排泄型利尿剤

  • チアジド系利尿剤
    フロセミド 等

アセタゾラミド

本剤の作用を増強することがある。ジギタリス中毒の症状(悪心・嘔吐、不整脈等)があらわれることがある。

過度の利尿により、血中カリウム値が低下しやすくなるとの報告がある。

利尿剤
スピロノラクトン

本剤の作用を増強することがある。ジギタリス中毒の症状(悪心・嘔吐、不整脈等)があらわれることがある。

本剤の腎排泄が抑制され、血中濃度が上昇するとの報告がある。

利尿剤
トルバプタン

本剤の作用を増強することがある。ジギタリス中毒の症状(悪心・嘔吐、不整脈等)があらわれることがある。

P糖蛋白質を介した本剤の排泄の抑制により、血中濃度が上昇するとの報告がある。

アンジオテンシンⅡ受容体拮抗剤

  • テルミサルタン

本剤の作用を増強することがある。ジギタリス中毒の症状(悪心・嘔吐、不整脈等)があらわれることがある。

機序は不明であるが、本剤の血中濃度が上昇するとの報告がある。

カルシウム拮抗剤

  • ベラパミル
    ジルチアゼム
    ニフェジピン 等

本剤の作用を増強することがある。ジギタリス中毒の症状(悪心・嘔吐、不整脈等)があらわれることがある。

本剤の腎排泄が抑制され、血中濃度が上昇するとの報告がある。

HMG-CoA還元酵素阻害剤
フルバスタチン

本剤の作用を増強することがある。ジギタリス中毒の症状(悪心・嘔吐、不整脈等)があらわれることがある。

機序は不明であるが、本剤の最高血中濃度の上昇が認められたとの報告がある。

HMG-CoA還元酵素阻害剤
アトルバスタチン

本剤の作用を増強することがある。ジギタリス中毒の症状(悪心・嘔吐、不整脈等)があらわれることがある。

P糖蛋白質を介した本剤の排泄の抑制により血中濃度の上昇が示唆されている。

ポリスチレンスルホン酸塩

本剤の作用を増強することがある。ジギタリス中毒の症状(悪心・嘔吐、不整脈等)があらわれることがある。

腸内のカリウムイオンとのイオン交換により、血中カリウム値が低下するとの報告がある。

交感神経刺激剤

  • アドレナリン
    イソプレナリン 等

本剤の作用を増強することがある。ジギタリス中毒の症状(悪心・嘔吐、不整脈等)があらわれることがある。

薬力学的相互作用により不整脈があらわれることがある。

プロトンポンプ阻害剤

  • オメプラゾール
    ラベプラゾール 等

本剤の作用を増強することがある。ジギタリス中毒の症状(悪心・嘔吐、不整脈等)があらわれることがある。

胃酸分泌抑制作用により本剤の加水分解が抑制され、血中濃度が上昇するとの報告がある。

副腎皮質ホルモン剤

本剤の作用を増強することがある。ジギタリス中毒の症状(悪心・嘔吐、不整脈等)があらわれることがある。

副腎皮質ホルモンにより低カリウム血症が起こるためと考えられている。

ビタミンD製剤

  • カルシトリオール 等

本剤の作用を増強することがある。ジギタリス中毒の症状(悪心・嘔吐、不整脈等)があらわれることがある。

ビタミンD製剤により血中カルシウム値が上昇するためと考えられている。

カルシウム(注射剤)(カルシウム値の補正に用いる場合を除く)

  • グルコン酸カルシウム水和物
    塩化カルシウム水和物

静注により急激に血中カルシウム濃度が上昇するとジゴキシンの毒性が急激に出現することがある。治療上やむを得ないと判断される場合を除き、カルシウム注射剤を投与しないこと。やむを得ず投与する場合には、急激にカルシウム濃度を上昇させるような使用法は避けること。

本剤の催不整脈作用は、心筋細胞内カルシウム濃度に依存すると考えられている。

カルシウム(経口剤)
カルシウム含有製剤

  • 高カロリー輸液 等

本剤の作用を増強することがある。ジギタリス中毒の症状(悪心・嘔吐、不整脈等)があらわれることがある。

これらの薬剤により血中カルシウム値が上昇するためと考えられている。

習慣性中毒用剤

  • ジスルフィラム

本剤の作用を増強することがある。ジギタリス中毒の症状(悪心・嘔吐、不整脈等)があらわれることがある。

ジスルフィラム-アルコール反応時に過呼吸により血中カリウム値が低下したとの報告がある。

シクロスポリン

本剤の作用を増強することがある。ジギタリス中毒の症状(悪心・嘔吐、不整脈等)があらわれることがある。

本剤の腎排泄が抑制され、血中濃度が上昇するとの報告がある。

抗生物質製剤
エリスロマイシン
クラリスロマイシン
テトラサイクリン

本剤の作用を増強することがある。ジギタリス中毒の症状(悪心・嘔吐、不整脈等)があらわれることがある。

腸内細菌叢への影響による本剤の代謝の抑制、あるいは、P糖蛋白質を介した本剤の排泄の抑制により血中濃度が上昇するとの報告がある。

抗生物質製剤
アジスロマイシン

本剤の作用を増強することがある。ジギタリス中毒の症状(悪心・嘔吐、不整脈等)があらわれることがある。

機序の詳細は不明であるが、P糖蛋白質を介した本剤の輸送が阻害されるとの報告がある。

**抗生物質製剤
アムホテリシンB

本剤の作用を増強することがある。ジギタリス中毒の症状(悪心・嘔吐、不整脈等)があらわれることがある。

**アムホテリシンBにより血中カリウム値が低下するためと考えられている。

HIVプロテアーゼ阻害剤

  • リトナビル

本剤の作用を増強することがある。ジギタリス中毒の症状(悪心・嘔吐、不整脈等)があらわれることがある。

P糖蛋白質を介した本剤の排泄の抑制により、血中濃度が上昇するとの報告がある。

C型肝炎治療剤

  • レジパスビル・ソホスブビル

本剤の作用を増強することがある。ジギタリス中毒の症状(悪心・嘔吐、不整脈等)があらわれることがある。

レジパスビルのP糖蛋白質阻害作用により、本剤の血中濃度が上昇するとの報告がある。

化学療法剤

  • イトラコナゾール
    スルファメトキサゾール・トリメトプリム

本剤の作用を増強することがある。ジギタリス中毒の症状(悪心・嘔吐、不整脈等)があらわれることがある。

本剤の腎排泄が抑制され、血中濃度が上昇するとの報告がある。

抗甲状腺剤

  • チアマゾール
    プロピルチオウラシル

本剤の作用を増強することがある。ジギタリス中毒の症状(悪心・嘔吐、不整脈等)があらわれることがある。

甲状腺機能亢進の改善に伴いクリアランスが正常になるため、本剤の血中濃度が上昇するとの報告がある。

ベムラフェニブ

本剤の作用を増強することがある。ジギタリス中毒の症状(悪心・嘔吐、不整脈等)があらわれることがある。

P糖蛋白質阻害作用により、本剤の血中濃度が上昇するとの報告がある。

カルバマゼピン

本剤の作用を減弱することがある。

併用後、本剤の血中濃度の低下が認められたとの報告がある。

コレスチラミン
コレスチミド

本剤の作用を減弱することがある。

消化管内での吸着により本剤の吸収を阻害し、血中濃度が低下すると考えられている。

消化性潰瘍剤

  • スクラルファート水和物

本剤の作用を減弱することがある。

消化管内での吸着により本剤の吸収を阻害し、血中濃度が低下するとの報告がある。

制酸剤

  • 水酸化アルミニウム
    水酸化マグネシウム 等

本剤の作用を減弱することがある。

消化管内での吸着により本剤の吸収を阻害し、血中濃度が低下するとの報告がある。

抗生物質製剤

  • リファンピシン

本剤の作用を減弱することがある。

P糖蛋白質、肝薬物代謝酵素の誘導作用により、本剤の血中濃度が低下するとの報告がある。

サルファ剤

  • サラゾスルファピリジン

本剤の作用を減弱することがある。

本剤の吸収が阻害され、血中濃度が低下するとの報告がある。

甲状腺製剤

  • レボチロキシン
    リオチロニン

本剤の作用を減弱することがある。

甲状腺機能低下の改善に伴いクリアランスが正常になるため、本剤の血中濃度が低下するとの報告がある。

アカルボース
ミグリトール

本剤の作用を減弱することがある。

併用により本剤の血中濃度の低下が認められたとの報告がある。

セイヨウオトギリソウ(St. John’s Wort,セント・ジョーンズ・ワート)含有食品

本剤の作用を減弱することがある。

本剤の排泄が促進され血中濃度が低下するおそれがあるので、本剤投与時はセイヨウオトギリソウ含有食品を摂取しないよう注意すること。

ブピバカイン塩酸塩水和物

ブピバカイン塩酸塩水和物の副作用を増強したとの報告がある。

薬力学的相互作用によると考えられている。

ヘパリン

ヘパリンの作用を減弱するおそれがある。

抗凝血作用に拮抗すると考えられている。

制吐作用を有する薬剤

  • スルピリド
    メトクロプラミド
    ドンペリドン 等

ジギタリス中毒の症状(悪心・嘔吐、食欲不振等)を不顕化するおそれがある。

これらの薬剤の制吐作用のため本剤の中毒症状が判別しにくくなる。

11. 副作用

次の副作用があらわれることがあるので、観察を十分に行い、異常が認められた場合には投与を中止するなど適切な処置を行うこと。

11.1 重大な副作用

  1. 11.1.1 ジギタリス中毒(頻度不明)

    **高度の徐脈、二段脈、多源性心室性期外収縮、発作性心房性頻拍等の不整脈があらわれることがある。また、さらに重篤な房室ブロック、心室性頻拍症あるいは心室細動に移行することがある。初期症状として消化器、眼、精神神経系症状があらわれることが多いが、それらの症状に先行して不整脈が出現することもある。このような症状があらわれた場合には、減量又は休薬するなど適切な処置を行うこと。,,,,,,,,,,

  2. 11.1.2 非閉塞性腸間膜虚血(頻度不明)

    腸管壊死に至った例も報告されている。激しい腹痛、血便等の症状があらわれた場合には投与を中止し、適切な処置を行うこと。

11.2 その他の副作用

頻度不明

消化器注)

食欲不振、悪心・嘔吐、下痢等

注)

視覚異常(光がないのにちらちら見える、黄視、緑視、複視等)

精神神経系注)

めまい、頭痛、失見当識、錯乱、譫妄等

肝臓

AST、ALT、γ-GTP、Al-Pの上昇

血液

血小板数減少

過敏症

発疹、蕁麻疹、紫斑、浮腫等

その他

女性型乳房、筋力低下

注)

13. 過量投与

  1. 13.1 症状

    ジギタリス中毒が起こることがある。

  2. 13.2 処置

    次のような処置を行う。

    • 薬物排泄
      • 胃内のジゴキシンの吸収を防止するために活性炭が有効と報告されている。
    • 心電図
      • 直ちに心電図による監視を行い、ジギタリス中毒特有の不整脈の発現に注意する。
    • 重篤な不整脈の治療法
      • 徐脈性不整脈及びブロックにはアトロピン等が用いられる。(徐脈性不整脈に通常用いられる交感神経刺激剤はジギタリス中毒には用いない。)
        重篤な頻脈性不整脈が頻発するときは塩化カリウム、リドカイン、プロプラノロール等が用いられる。
    • 血清電解質
      • 特に低カリウム血症に注意し、異常があれば補正する。
        高カリウム血症には、炭酸水素ナトリウム、グルコース・インスリン療法、ポリスチレンスルホン酸ナトリウム等が用いられる。
    • 腎機能
      • ジゴキシンは腎排泄型であるので腎機能を正常に保つ。血液透析は一般に無効である。

14. 適用上の注意

14.1 薬剤交付時の注意

PTP包装の薬剤はPTPシートから取り出して服用するよう指導すること。PTPシートの誤飲により、硬い鋭角部が食道粘膜へ刺入し、更には穿孔をおこして縦隔洞炎等の重篤な合併症を併発することがある。

16. 薬物動態

16.1 血中濃度

健康成人男子8例にハーフジゴキシンKY錠0.125又はジゴキシンKY錠0.25(ジゴキシンとして0.125mg又は0.25mg)を単回経口投与したとき、血清中濃度は投与後約1時間でCmaxに達し、0.125mg投与のCmax及びAUCは、0.25mg投与のほぼ1/2であった1)

 

Cmax
(ng/mL)

Tmax
(hr)

T1/2
(hr)

AUC0→48
(ng・hr/mL)

0.125mg

0.97±0.42

1.2±0.8

22.1±21.1

5.28±2.12

0.25mg

1.68±0.45

0.9±0.2

30.1±7.8

11.59±1.47

健康成人男子にハーフジゴキシンKY錠0.125又はジゴキシンKY錠0.25を1錠単回経口投与したときの血清中濃度推移 (平均値±S.D. n=8)

16.4 代謝

本剤は一部代謝される。主な代謝物は薬理活性のないdihydrodigoxinとdihydrodigoxigenin、薬理活性を持つdigoxigenin-bis-digitoxiside及びdigoxigenin-mono-digitoxisideである2)。主な代謝酵素は肝薬物代謝酵素チトクロームP450(CYP)3Aが考えられている(in vitro3)

16.5 排泄

本剤は大部分が未変化体で尿中に排泄される。腎排泄を主経路とし、糸球体濾過とP糖蛋白質を介する尿細管分泌により尿中に排泄される(in vitro4),5)

18. 薬効薬理

18.1 作用機序

ジゴキシンはリン酸化されたNa,K-ATPase αサブユニットに結合して阻害することで、Naの流出を減少させ、細胞内Na濃度を増加させる。これがNa-Ca2+交換の原動力となり、結果として、細胞内Ca2+が増加し心筋収縮力が増加する6)。また、徐脈作用、抗不整脈作用を有するとされている7),8)

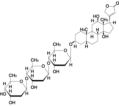
19. 有効成分に関する理化学的知見

一般的名称

ジゴキシン(Digoxin)

化学名

3β-[2,6-Dideoxy-β-D-ribo-hexopyranosyl-(1→4)-2,6-dideoxy-β-D-ribo-hexopyranosyl-(1→4)-2,6-dideoxy-β-D-ribo-hexopyranosyloxy]-12β,14-dihydroxy-5β,14β-card-20(22)-enolide

分子式

C41H64O14

分子量

780.94

性状

ジゴキシンは、無色〜白色の結晶又は白色の結晶性の粉末である。ピリジンに溶けやすく、エタノール(95)に溶けにくく、酢酸(100)に極めて溶けにくく、水にほとんど溶けない。

化学構造式

22. 包装

  • 〈ジゴキシン錠0.0625「KYO」〉

    100錠[10錠(PTP)×10]、100錠[瓶、バラ]

  • 〈ハーフジゴキシンKY錠0.125〉

    *100錠[10錠(PTP)×10]、100錠[瓶、バラ]、1,000錠[10錠(PTP)×100]

  • 〈ジゴキシンKY錠0.25〉

    *100錠[10錠(PTP)×10]、100錠[瓶、バラ]

24. 文献請求先及び問い合わせ先

*トーアエイヨー株式会社 くすり相談窓口

〒104-0032 東京都中央区八丁堀3-10-6

電話 0120-387-999

26. 製造販売業者等

26.1 製造販売元

京都薬品工業株式会社

京都市中京区西ノ京月輪町38番地

26.2 販売元

トーアエイヨー株式会社

福島県福島市飯坂町湯野字田中1番地

〒100-0013 東京都千代田区霞が関3-3-2 新霞が関ビル

画面を閉じる

Copyright © Pharmaceuticals and Medical Devices Agency, All Rights reserved.