医療用医薬品 詳細表示

クリースビータ皮下注10mgシリンジ/クリースビータ皮下注20mgシリンジ/クリースビータ皮下注30mgシリンジ/クリースビータ皮下注10mg/クリースビータ皮下注20mg/クリースビータ皮下注30mg

処方せん医薬品

添付文書番号
企業コード
作成又は改訂年月
日本標準商品分類番号
薬効分類名
承認等
一般的名称
2.禁忌(次の患者には投与しないこと)
3.組成・性状
3.1組成
3.2製剤の性状
4.効能又は効果
5.効能又は効果に関連する注意
6.用法及び用量
7.用法及び用量に関連する注意
8.重要な基本的注意
9.特定の背景を有する患者に関する注意
9.1合併症・既往歴等のある患者
9.2腎機能障害患者
9.5妊婦
9.6授乳婦
9.7小児等
10.相互作用
10.2併用注意(併用に注意すること)
11.副作用
11.2その他の副作用
14.適用上の注意
15.その他の注意
15.1臨床使用に基づく情報
15.2非臨床試験に基づく情報
16.薬物動態
16.1血中濃度
16.2吸収
16.3分布
16.4代謝
17.臨床成績
17.1有効性及び安全性に関する試験
18.薬効薬理
18.1作用機序
19.有効成分に関する理化学的知見
20.取扱い上の注意
21.承認条件
22.包装
23.主要文献
24.文献請求先及び問い合わせ先
26.製造販売業者等

クリースビータ皮下注10mgシリンジ/クリースビータ皮下注20mgシリンジ/クリースビータ皮下注30mgシリンジ/クリースビータ皮下注10mg/クリースビータ皮下注20mg/クリースビータ皮下注30mg

添付文書番号

3999452A1024_1_08

企業コード

230124

作成又は改訂年月

**2025年11月改訂(第6版)
2025年6月改訂(第5版)

日本標準商品分類番号

873999

薬効分類名

ヒト型抗FGF23モノクローナル抗体

承認等

クリースビータ皮下注10mgシリンジ

販売名コード

YJコード

3999452G1027

販売名英語表記

CRYSViTA Subcutaneous Injection Syringe

承認番号等

承認番号

30700AMX00115

販売開始年月

2025年11月

貯法・有効期間

貯法

2~8℃で保存

有効期間

**,*36箇月

規制区分

クリースビータ皮下注20mgシリンジ

販売名コード

YJコード

3999452G2023

販売名英語表記

CRYSViTA Subcutaneous Injection Syringe

承認番号等

承認番号

30700AMX00116

販売開始年月

2025年11月

貯法・有効期間

貯法

2~8℃で保存

有効期間

**,*36箇月

規制区分

クリースビータ皮下注30mgシリンジ

販売名コード

YJコード

3999452G3020

販売名英語表記

CRYSViTA Subcutaneous Injection Syringe

承認番号等

承認番号

30700AMX00117

販売開始年月

2025年11月

貯法・有効期間

貯法

2~8℃で保存

有効期間

**,*36箇月

規制区分

クリースビータ皮下注10mg

販売名コード

YJコード

3999452A1024

販売名英語表記

CRYSViTA Subcutaneous Injection

承認番号等

承認番号

30100AMX00256

販売開始年月

2019年12月

貯法・有効期間

貯法

2~8℃で保存

有効期間

36箇月

規制区分

クリースビータ皮下注20mg

販売名コード

YJコード

3999452A2020

販売名英語表記

CRYSViTA Subcutaneous Injection

承認番号等

承認番号

30100AMX00257

販売開始年月

2019年12月

貯法・有効期間

貯法

2~8℃で保存

有効期間

36箇月

規制区分

クリースビータ皮下注30mg

販売名コード

YJコード

3999452A3027

販売名英語表記

CRYSViTA Subcutaneous Injection

承認番号等

承認番号

30100AMX00258

販売開始年月

2019年12月

貯法・有効期間

貯法

2~8℃で保存

有効期間

36箇月

規制区分

一般的名称

ブロスマブ(遺伝子組換え)

2. 禁忌(次の患者には投与しないこと)

  1. 2.1 重度の腎機能障害患者又は末期腎不全患者
  2. 2.2 本剤の成分に対し過敏症の既往歴のある患者

3. 組成・性状

3.1 組成

クリースビータ皮下注10mgシリンジ

有効成分*ブロスマブ(遺伝子組換え)   10mg
添加剤*L-ヒスチジン   0.5mg
*ポリソルベート80   0.17mg
*L-メチオニン   0.50mg
*等張化剤   適量
*pH調節剤   適量
容量  *1シリンジ0.33mL
*本剤の有効成分ブロスマブ(遺伝子組換え)はチャイニーズハムスター卵巣細胞を用いて製造される。

クリースビータ皮下注20mgシリンジ

有効成分*ブロスマブ(遺伝子組換え)   20mg
添加剤*L-ヒスチジン   1.0mg
*ポリソルベート80   0.33mg
*L-メチオニン   1.00mg
*等張化剤   適量
*pH調節剤   適量
容量  *1シリンジ0.67mL
*本剤の有効成分ブロスマブ(遺伝子組換え)はチャイニーズハムスター卵巣細胞を用いて製造される。

クリースビータ皮下注30mgシリンジ

有効成分*ブロスマブ(遺伝子組換え)   30mg
添加剤*L-ヒスチジン   1.6mg
*ポリソルベート80   0.50mg
*L-メチオニン   1.49mg
*等張化剤   適量
*pH調節剤   適量
容量  *1シリンジ1mL
*本剤の有効成分ブロスマブ(遺伝子組換え)はチャイニーズハムスター卵巣細胞を用いて製造される。

クリースビータ皮下注10mg

有効成分ブロスマブ(遺伝子組換え)   10mg
添加剤L-ヒスチジン   1.6mg
ポリソルベート80   0.5mg
L-メチオニン   1.5mg
等張化剤   適量
pH調節剤   適量
容量  1バイアル1mL
本剤の有効成分ブロスマブ(遺伝子組換え)はチャイニーズハムスター卵巣細胞を用いて製造される。

クリースビータ皮下注20mg

有効成分ブロスマブ(遺伝子組換え)   20mg
添加剤L-ヒスチジン   1.6mg
ポリソルベート80   0.5mg
L-メチオニン   1.5mg
等張化剤   適量
pH調節剤   適量
容量  1バイアル1mL
本剤の有効成分ブロスマブ(遺伝子組換え)はチャイニーズハムスター卵巣細胞を用いて製造される。

クリースビータ皮下注30mg

有効成分ブロスマブ(遺伝子組換え)   30mg
添加剤L-ヒスチジン   1.6mg
ポリソルベート80   0.5mg
L-メチオニン   1.5mg
等張化剤   適量
pH調節剤   適量
容量  1バイアル1mL
本剤の有効成分ブロスマブ(遺伝子組換え)はチャイニーズハムスター卵巣細胞を用いて製造される。

3.2 製剤の性状

クリースビータ皮下注10mgシリンジ

pH*6.00~6.50
浸透圧比*0.9~1.1(生理食塩液に対する比)
性状*無色澄明の液

クリースビータ皮下注20mgシリンジ

pH*6.00~6.50
浸透圧比*0.9~1.1(生理食塩液に対する比)
性状*無色澄明の液

クリースビータ皮下注30mgシリンジ

pH*6.00~6.50
浸透圧比*0.9~1.1(生理食塩液に対する比)
性状*無色澄明の液

クリースビータ皮下注10mg

pH6.00~6.50
浸透圧比0.9~1.1(生理食塩液に対する比)
性状無色澄明の液

クリースビータ皮下注20mg

pH6.00~6.50
浸透圧比0.9~1.1(生理食塩液に対する比)
性状無色澄明の液

クリースビータ皮下注30mg

pH6.00~6.50
浸透圧比0.9~1.1(生理食塩液に対する比)
性状無色澄明の液

4. 効能又は効果

FGF23関連低リン血症性くる病・骨軟化症

5. 効能又は効果に関連する注意

含糖酸化鉄、ポリマルトース鉄及びカルボキシマルトース第二鉄等の鉄剤の投与に伴うFGF23関連低リン血症性くる病・骨軟化症に対しては、本剤は投与せず、FGF23過剰の原因となる各薬剤の投与の中止を検討すること。

6. 用法及び用量

  • 〈FGF23関連低リン血症性くる病・骨軟化症(腫瘍性骨軟化症を除く)〉

    通常、成人には、ブロスマブ(遺伝子組換え)として4週に1回1mg/kgを皮下投与する。ただし、1回投与量は90mgを超えないこと。血清リン濃度、症状等に応じて適宜減量する。
    通常、小児には、ブロスマブ(遺伝子組換え)として2週に1回0.8mg/kgを皮下投与する。血清リン濃度、症状等に応じて適宜増減するが、最高用量は1回2mg/kgとする。ただし、1回投与量は90mgを超えないこと。

  • 〈腫瘍性骨軟化症〉

    通常、成人には、ブロスマブ(遺伝子組換え)として4週に1回0.3mg/kgを皮下投与する。血清リン濃度、症状等に応じて適宜増減するが、最高用量は1回2mg/kgとする。

7. 用法及び用量に関連する注意

  1. 7.1 本剤の投与開始にあたっては、経口リン酸製剤又は活性型ビタミンD3製剤が投与されている場合は、これらの薬剤の投与を中止し、血清リン濃度が基準下限値を下回ったことを確認した後、本剤の投与を開始すること。
  2. 7.2 本剤の開始用量及び用量調節は、以下を参考にすること。なお、本剤の投与量は、体重から換算した値を10mgの単位に四捨五入した値とすることができる。
    • 〈FGF23関連低リン血症性くる病・骨軟化症(腫瘍性骨軟化症を除く)〉

      通常、成人には、以下の表を参考に患者の体重に応じて投与を開始すること。以降は、血清リン濃度、症状等に応じて適宜減量すること。

      FGF23関連低リン血症性くる病・骨軟化症(腫瘍性骨軟化症を除く)の成人患者の開始用量

      体重

      開始用量

      35~44kg

      40mg

      45~54kg

      50mg

      55~64kg

      60mg

      65~74kg

      70mg

      75~84kg

      80mg

      85kg以上

      90mg

      通常、小児には、以下の表を参考に患者の体重に応じて投与を開始すること。以降は、血清リン濃度、症状等に応じて適宜増減するが、血清リン濃度が基準下限値を下回るなど、増量が必要な場合は、1回2mg/kg又は90mgのいずれか少ない用量の範囲で段階的に増量することができる。ただし、増量は4週間以上の間隔をあけて行うこと。

      FGF23関連低リン血症性くる病・骨軟化症(腫瘍性骨軟化症を除く)の小児患者の開始用量

      体重

      開始用量

      7~18kg

      10mg

      19~31kg

      20mg

      32~43kg

      30mg

      44~56kg

      40mg

      57~68kg

      50mg

      69~81kg

      60mg

      82~93kg

      70mg

      94~106kg

      80mg

      107kg以上

      90mg

    • 〈腫瘍性骨軟化症〉

      通常、成人には、以下の表を参考に患者の体重に応じて投与を開始すること。以降は、血清リン濃度、症状等に応じて適宜増減するが、血清リン濃度が基準下限値を下回るなど、増量が必要な場合は、1回2mg/kgまでの範囲で段階的に増量することができる。

      腫瘍性骨軟化症患者の開始用量

      体重

      開始用量

      17~49kg

      10mg

      50~83kg

      20mg

      84~116kg

      30mg

  3. 7.3 本剤の投与を開始及び用量を調節したときは、血清リン濃度が安定するまで、投与毎(2週に1回又は4週に1回)に血清リン濃度を測定すること。
  4. 7.4 血清リン濃度が基準上限値を超えて上昇した場合は、血清リン濃度が基準下限値を下回るまで休薬すること。投与を再開する場合は、休薬前の投与量の半量を目安に減量し、投与を再開すること。
  5. 7.5 FGF23関連低リン血症性くる病の患者に本剤を投与する際に、骨年齢が男性で17歳、女性で15歳に達した場合は、患者の状態に応じて成人の用法及び用量を用いること。

8. 重要な基本的注意

  1. 8.1 高リン血症があらわれることがあるので、本剤投与中は定期的に血清リン濃度を測定し、血清リン濃度の変動に注意すること。
  2. 8.2 本剤の投与により、高リン血症が持続した場合、腎臓等の臓器に石灰化が生じる可能性があるので、必要に応じて超音波検査やPTHの測定等を実施すること。
  3. 8.3 本剤投与中は、経口リン酸製剤、活性型ビタミンD3製剤との併用は可能な限り避けること。本剤と経口リン酸製剤、活性型ビタミンD3製剤を併用した際の安全性及び有効性を指標とした臨床試験は実施されていない。
  4. 8.4 本剤はたん白質製剤であり、アナフィラキシーなど重度のアレルギー反応が起こる可能性がある。異常が認められた場合には直ちに本剤の投与を中止し、適切な処置を行うこと。
  5. 8.5 本剤は、医療施設において、必ず医師によるか、医師の直接の監督のもとで投与を開始すること。自己投与にあたっては、以下の点に注意すること。
    1. 8.5.1 自己投与適用の妥当性を医師が慎重に検討し、患者又はその家族に十分な教育訓練を実施したのち、患者又はその家族が確実に投与できることを確認した上で、医師の管理指導のもとで実施すること。
    2. 8.5.2 本剤による副作用が疑われる場合や自己投与の継続が困難な状況となる可能性がある場合は、直ちに自己投与を中止させ、医師の管理下で慎重に観察するなど適切な処置を行うこと。
    3. 8.5.3 患者又はその家族に対し、副作用とその対処法について説明した上で、以下の点を指導すること。
      • 本剤の注射方法の説明書を必ず読むこと。
      • 本剤投与後に副作用の発現が疑われる場合は、医療機関へ連絡すること。
      • 使用済みの注射器は再使用せず、安全な手段で廃棄を行うこと。

9. 特定の背景を有する患者に関する注意

9.1 合併症・既往歴等のある患者

  1. 9.1.1 高カルシウム血症の患者

    高カルシウム血症が悪化する可能性がある。

9.2 腎機能障害患者

高リン血症及び腎臓等の臓器の石灰化が生じるリスクが高い。

  1. 9.2.1 重度の腎機能障害患者又は末期腎不全患者

    投与しないこと。これらの患者では高リン血症及び腎臓等の臓器の石灰化が生じるリスクが特に高いおそれがある。これらの患者を対象とした臨床試験は実施していない。

  2. 9.2.2 軽度又は中等度の腎機能障害患者

    本剤投与中は、定期的に腎機能を確認し投与の適否を検討すること。また、血清リン濃度の変動に注意すること。

9.5 妊婦

妊婦又は妊娠している可能性のある女性には、治療上の有益性が危険性を上回ると判断される場合にのみ投与すること。サルを用いた生殖発生毒性試験において、臨床最大用量での曝露量の3.7倍に相当する用量で早産率の高値、臨床最大用量での曝露量の32倍に相当する用量で胎盤の重量増加及び鉱質沈着並びに流産及び胚・胎児死亡率の増加が認められている。

9.6 授乳婦

治療上の有益性及び母乳栄養の有益性を考慮し、授乳の継続又は中止を検討すること。本剤の乳汁中への移行は不明である。

9.7 小児等

1歳未満の小児を対象とした有効性及び安全性を指標とした臨床試験は実施していない。

10. 相互作用

    10.2 併用注意(併用に注意すること)

    薬剤名等臨床症状・措置方法機序・危険因子

    経口リン酸製剤

    活性型ビタミンD3製剤

    • カルシトリオール
    • ファレカルシトリオール等

    ,

    高リン血症が起こるおそれがある。本剤の投与開始にあたっては、左記薬剤の投与を中止すること。また、本剤投与中も左記薬剤との併用は可能な限り避けること。

    左記薬剤は血清リン濃度上昇作用があるので、血清リン濃度の上昇作用が増強される可能性がある。

    11. 副作用

    次の副作用があらわれることがあるので、観察を十分に行い、異常が認められた場合には投与を中止するなど適切な処置を行うこと。

    11.2 その他の副作用

    10%以上

    5~10%未満

    5%未満

    投与部位

    注射部位反応(発疹・そう痒・疼痛等)(29.5%)

    筋・骨格

    筋骨格痛

    下肢不快感

    筋痙攣

    皮膚

    発疹、そう痒、じん麻疹

    消化器

    悪心、下痢、腹痛、歯膿瘍、歯痛

    腎臓

    腎結石、腎石灰化、腎超音波検査異常

    内分泌・代謝

    血中リン増加、ビタミンD異常、ビタミンD欠乏、PTH増加、血中カルシウム減少

    その他

    倦怠感、頭痛、疼痛、めまい、Al-P増加

    14. 適用上の注意

    14.1 *薬剤調製時の注意

    • 〈製剤共通〉
      1. 14.1.1 投与前に冷蔵庫から取り出し室温に戻しておくこと。
      2. 14.1.2 他剤との混注は行わないこと。
    • 〈バイアル製剤〉
      1. 14.1.3 投与に必要な液量を正確に吸引できるよう、適切な小容量注射器を選択すること。

    14.2 薬剤投与時の注意

    1. 14.2.1 投与部位は、腹部、上腕部、大腿部又は臀部が望ましい。同一部位へ繰り返し注射することは避け、投与毎に注射部位を変えること。
    2. 14.2.2 注射部位1箇所あたりの最大投与液量は1.5mLとすること。
    3. 14.2.3 本剤は、1回限りの使用とし、使用後の残液は使用しないこと。

    15. その他の注意

    15.1 臨床使用に基づく情報

    X染色体連鎖性低リン血症性くる病・骨軟化症患者を対象とした国際共同臨床試験及び海外臨床試験において、本剤を投与した成人患者では134例中8例(6.0%)、小児患者では94例中8例(8.5%)に抗ブロスマブ抗体が認められた。このうち小児患者3例(3.2%)に中和抗体が認められた。なお、成人の腫瘍性骨軟化症患者を対象とした国際共同臨床試験及び海外臨床試験において、27例中2例(7.4%)に抗ブロスマブ抗体が認められたが、そのうち中和抗体が認められた患者はいなかった。抗体産生と薬物動態、有効性及び安全性との関連性は明らかではない。

    15.2 非臨床試験に基づく情報

    サルを用いた反復投与毒性試験において、非生理学的な血清リン濃度(8mg/dL超)で心筋繊維、心筋血管及び大動脈中膜に異所性鉱質沈着が認められた。,

    16. 薬物動態

    16.1 血中濃度

    1. 16.1.1 単回投与
      1. (1) X染色体連鎖性低リン血症性くる病・骨軟化症患者(成人)

        日本人及び韓国人の成人X染色体連鎖性低リン血症性くる病・骨軟化症患者を対象として本剤0.3、0.6及び1mg/kgを単回皮下投与したときの血清中濃度推移及び薬物動態パラメータは以下のとおりであった。Cmax及びAUC0-∞は投与量に比例して増加した1)

        X染色体連鎖性低リン血症性くる病・骨軟化症患者(成人)に本剤を単回皮下投与したときの血清中濃度推移(平均値+標準偏差)
        X染色体連鎖性低リン血症性くる病・骨軟化症患者(成人)に本剤を単回皮下投与したときの薬物動態パラメータ

        投与量

        (mg/kg)

        被験者数

        (日本, 韓国)

        tmax

        (h)

        Cmax

        (μg/mL)

        AUC0-∞

        (μg・h/mL)

        t1/2

        (h)

        0.3

        6

        (3, 3)

        166

        (46.5-168)

        1.71±0.51

        1180±370a)

        289±121a)

        0.6

        5

        (3, 2)

        167

        (165-334)

        2.95±0.67

        2220±920

        315±131

        1

        7

        (4, 3)

        166

        (93.5-168)

        5.19±2.12

        3770±1670

        336±85

        平均値±標準偏差、ただしtmaxは中央値(最小値-最大値)

        a)5例(日本人3例及び韓国人2例)

    2. 16.1.2 反復投与
      1. (1) X染色体連鎖性低リン血症性くる病・骨軟化症患者(成人)

        日本人を含む成人X染色体連鎖性低リン血症性くる病・骨軟化症患者68例(日本人6例)を対象として本剤1mg/kgを4週に1回反復皮下投与したときの血清中濃度(平均値±標準偏差)のトラフ値は、初回投与サイクルで3804±1622ng/mL、6回目の投与サイクルで5832±3434ng/mLであった2)

      2. (2) X染色体連鎖性低リン血症性くる病・骨軟化症患者(小児)

        日本人の1~12歳の小児X染色体連鎖性低リン血症性くる病・骨軟化症患者15例を対象として本剤0.8mg/kg(投与開始6週以降、1.2mg/kgに増量可)を2週に1回反復皮下投与したときの血清中濃度推移は以下のとおりであった3)

        X染色体連鎖性低リン血症性くる病・骨軟化症患者(小児)に本剤を2週に1回反復皮下投与したときの血清中濃度推移1)(平均値+標準偏差)

        1) 血清中濃度は投与開始後1週時点(tmax付近)、その他の時点では本剤の投与前に測定した。

      3. (3) 腫瘍性骨軟化症患者(成人)

        日本人及び韓国人の成人腫瘍性骨軟化症患者13例を対象として本剤(開始用量は0.3mg/kg、4週以降は0.1~2mg/kgの範囲で調整し、20週以降は原則として16週時と同一用量)を4週に1回反復皮下投与したときの血清中濃度推移は以下のとおりであった。なお、20週から44週の投与量の平均値は0.71~0.89mg/kgであった4)

        腫瘍性骨軟化症患者に本剤を4週に1回反復皮下投与したときの血清中濃度推移2)(平均値+標準偏差)

        2) 血清中濃度は投与開始後1日時点、1及び21週時点(本剤投与後1週時点)、2及び22週時点(本剤投与後2週時点)、その他の時点では本剤の投与前に測定した。

    16.2 吸収

    1. 16.2.1 バイオアベイラビリティ(外国人データ)

      成人X染色体連鎖性低リン血症性くる病・骨軟化症患者を対象として本剤0.1及び0.3mg/kgを皮下投与したときの絶対的バイオアベイラビリティは、それぞれ90%及び128%と算出された5)

    16.3 分布

    日本人及び韓国人の成人X染色体連鎖性低リン血症性くる病・骨軟化症患者を対象として本剤0.3~1mg/kgを単回皮下投与したときのみかけの分布容積は107~143mL/kgであり、血管外への分布は限定的であると考えられる1)

    16.4 代謝

    本剤はヒトIgG1モノクローナル抗体であり、内因性IgGと同様にペプチド及びアミノ酸に分解されると考えられる。

    17. 臨床成績

    17.1 有効性及び安全性に関する試験

    • 〈X染色体連鎖性低リン血症性くる病・骨軟化症〉
      1. 17.1.1 国際共同第Ⅲ相試験(成人)

        成人X染色体連鎖性低リン血症性くる病・骨軟化症患者134例(日本人11例)を対象としたプラセボ対照二重盲検比較試験において、本剤1mg/kg(最大90mg)又はプラセボを4週に1回、24週間投与した(プラセボ対照期)。その後、全患者に本剤1mg/kgを4週に1回、24週間投与した(継続投与期)。主要評価項目とされたプラセボ対照期の投与24週後までの血清リン濃度の平均値3)が基準下限値を上回った被験者の割合は、本剤群94.1%(64/68例)、プラセボ群7.6%(5/66例)であり、本剤群の方がプラセボ群よりも有意に高かった(p<0.0001)。BPI4)-Q3(最も強い痛み)スコア、WOMAC5)のこわばりスコア及びWOMACの身体機能スコアの投与24週後までの変化は以下のとおりであった。

        本剤群(68例)

        プラセボ群(66例)

        BPI-Q3(最も強い痛み)スコア

        ベースラインa)

        6.81±1.31

        6.54±1.43

        投与24週後a)

        5.82±1.92

        6.09±2.01

        変化量b)

        -0.79±0.21

        -0.32±0.22

        WOMACのこわばりスコア

        ベースラインa)

        64.71±20.25

        61.36±20.77

        投与24週後a)

        53.73±20.76

        60.38±21.83

        変化量b)

        -7.85±3.03

        0.46±3.14

        WOMACの身体機能スコア

        ベースラインa)

        50.79±19.66

        43.89±19.94

        投与24週後a)

        43.43±19.51

        42.65±22.76

        変化量b)

        -3.11±2.55

        1.79±2.72

        a)平均値±標準偏差

        b)最小二乗平均値±標準誤差

        2017年6月のデータカットオフ時点の本剤投与患者の副作用発現頻度は、55.2%(74/134例)であった。主な副作用は、下肢静止不能症候群10.4%(14/134例)、注射部位反応8.2%(11/134例)、注射部位紅斑6.0%(8/134例)、背部痛4.5%(6/134例)、疼痛及び高リン酸塩血症 各3.7%(5/134例)であった2)

        3) 投与2、6、10、14、18、22週後の血清リン濃度の平均値

        4) 簡易疼痛質問表(Brief Pain Inventory)

        5) Western Ontario and McMaster Universities Osteoarthritis Index

      2. 17.1.2 国際共同第Ⅲ相試験(小児)

        1~12歳の小児X染色体連鎖性低リン血症性くる病・骨軟化症患者61例(日本人5例)を対象とした実薬対照非盲検比較試験において、本剤6)又は対照薬7)を64週間投与した。主要評価項目とされた投与40週後のRGI-C8)全体スコア(最小二乗平均値±標準誤差)は、本剤群で1.92±0.11、対照薬群で0.77±0.11であり、両群の差(本剤群−対照薬群)(95%信頼区間)は1.14(0.83~1.45)であった(p<0.0001)。
        RSS9)総スコア、立位身長/臥位身長のZスコア、血清リン濃度及び血清アルカリフォスファターゼ濃度の投与40週後の変化は以下のとおりであった。

        本剤群(29例)

        対照薬群(32例)

        RSS総スコア

        ベースラインa)

        3.16±0.99

        3.19±1.14

        投与40週後a)

        1.13±0.72

        2.47±1.09

        変化量b)

        -2.04±0.15

        -0.71±0.14

        立位身長/臥位身長のZスコア

        ベースラインa)

        -2.32±1.17

        -2.05±0.87

        投与40週後a)

        -2.12±1.22

        -2.02±0.85

        変化量b)

        0.16±0.05

        0.03±0.03

        血清リン濃度(mg/dL)

        ベースラインa)

        2.42±0.24

        2.30±0.26

        投与40週後a,c)

        3.38±0.37

        2.55±0.29

        変化量b)

        1.00±0.06

        0.23±0.06

        血清アルカリフォスファターゼ濃度d)(U/L)

        ベースラインa)

        510.76±124.90

        523.44±154.42

        投与40週後a)

        380.76±99.46

        488.69±189.07

        変化量b)

        -130.72±12.37

        -34.78±18.13

        a)平均値±標準偏差

        b)最小二乗平均値±標準誤差

        c)投与1、4、8、16、24、32、40週後の平均値

        d)IFCC法:国際臨床化学連合の測定法

        2018年7月のデータカットオフ時点の本剤群の副作用発現頻度は、58.6%(17/29例)であった。主な副作用は、注射部位紅斑27.6%(8/29例)、注射部位反応及び四肢痛 各24.1%(7/29例)、関節痛20.7%(6/29例)、歯膿瘍13.8%(4/29例)、注射部位そう痒感、注射部位発疹及び注射部位腫脹 各10.3%(3/29例)、注射部位じん麻疹及び齲歯 各6.9%(2/29例)であった6)

        6) 0.8mg/kg(1.2mg/kgに増量可能(1回投与量は最大90mg))を2週に1回投与

        7) 経口リン酸製剤及び活性型ビタミンD製剤を医師の調整により投与

        8) Radiographic Global Impression of Change

        9) Rickets Severity Scoring

    • 〈腫瘍性骨軟化症〉
      1. 17.1.3 国際共同第Ⅱ相試験(成人)

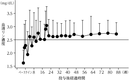
        腫瘍性骨軟化症患者13例(日本人9例)を対象とした非盲検試験において、本剤(開始用量は0.3mg/kg、4週以降は必要に応じて0.2mg/kgの幅(ただし、0.3mg/kgから初めて増量する場合に限り次回の用量を0.6mg/kg)で0.1~2mg/kgの範囲で調整)を4週に1回、88週間投与したときの血清リン濃度の推移は以下のとおりであった。

        腫瘍性骨軟化症患者に本剤を4週に1回反復皮下投与したときの血清リン濃度の推移(平均値+標準偏差)

        2018年5月のデータカットオフ時点の副作用発現頻度は、38.5%(5/13例)であった。関節痛、疲労、筋肉痛、発疹、腹痛、白内障、眼乾燥、緑内障、感覚鈍麻、注射部位過敏反応、不眠症、歯痛及び回転性めまいが各7.7%(1例)に発現した4)

    18. 薬効薬理

    18.1 作用機序

    FGF23は、腎臓におけるリン再吸収の抑制と血清1,25(OH)2D濃度の低下に伴う腸管からのリン吸収の抑制により、血清リン濃度を低下させる。本剤は、FGF23と結合しその過剰な作用を中和することで、血清リン濃度を上昇させる7),8),9),10),11),12),13),14),15),16),17)

    18.2 作用・効果

    1. 18.2.1 血清リン濃度上昇作用

      本剤は、ウサギへの単回静脈内投与により、血清リン濃度を上昇させた12)。また、成熟及び幼若カニクイザルへの単回静脈内投与、並びに成熟カニクイザルへの単回皮下投与により、血清リン濃度を上昇させた13),14),15),16)。成熟及び幼若カニクイザルへの反復皮下投与により、血清リン濃度を上昇させた17)

    2. 18.2.2 血清1,25(OH)2D濃度上昇作用

      本剤は、ウサギへの単回静脈内投与により血清1,25(OH)2D濃度を上昇させた12)。また、成熟及び幼若カニクイザルへの単回静脈内投与、並びに成熟カニクイザルへの単回皮下投与により、血清1,25(OH)2D濃度を上昇させた12),13),14),15),16)

    19. 有効成分に関する理化学的知見

    一般的名称

    ブロスマブ(遺伝子組換え)
    (Burosumab(Genetical Recombination))

    分子量

    約147,000

    本質

    ブロスマブは、遺伝子組換えヒトモノクローナル抗体であり、抗ヒト線維芽細胞増殖因子23抗体の可変部、並びにヒトIgG1の定常部からなる。ブロスマブは、ジヒドロ葉酸レダクターゼを欠損したチャイニーズハムスター卵巣細胞により生産される。ブロスマブは、447個のアミノ酸残基からなる重鎖(γ1鎖)2分子及び213個のアミノ酸残基からなる軽鎖(κ鎖)2分子で構成される糖タンパク質である。

    20. 取扱い上の注意

    外箱開封後は遮光して保存すること。

    21. 承認条件

    1. 21.1 医薬品リスク管理計画を策定の上、適切に実施すること。
    2. 21.2 国内での治験症例が極めて限られていることから、製造販売後、一定数の症例に係るデータが集積されるまでの間は、全症例を対象に使用成績調査を実施することにより、本剤の使用患者の背景情報を把握するとともに、本剤の安全性及び有効性に関するデータを早期に収集し、本剤の適正使用に必要な措置を講じること。

    22. 包装

    • *〈クリースビータ皮下注10mgシリンジ〉

      0.33mL[1シリンジ、注射針:29ゲージ]

    • *〈クリースビータ皮下注20mgシリンジ〉

      0.67mL[1シリンジ、注射針:29ゲージ]

    • *〈クリースビータ皮下注30mgシリンジ〉

      1mL[1シリンジ、注射針:29ゲージ]

    • クリースビータ皮下注10mg

      1mL[1バイアル]

    • クリースビータ皮下注20mg

      1mL[1バイアル]

    • クリースビータ皮下注30mg

      1mL[1バイアル]

    23. 主要文献

    1) 社内資料:日本及び韓国の成人X染色体連鎖性低リン血症性くる病・骨軟化症患者を対象とした第Ⅰ相試験(2019年9月20日承認、CTD2.7.6.1)

    2) 社内資料:成人X染色体連鎖性低リン血症性くる病・骨軟化症患者を対象とした第Ⅲ相国際共同試験(2019年9月20日承認、CTD2.7.6.3)

    3) 社内資料:日本の小児X染色体連鎖性低リン血症性くる病・骨軟化症患者を対象とした第Ⅲ相試験(2019年9月20日承認、CTD2.7.6.11)

    4) 社内資料:日本及び韓国の成人腫瘍性骨軟化症又は表皮母斑症候群患者を対象とした第Ⅱ相試験(2019年9月20日承認、CTD2.7.6.12)

    5) 社内資料:米国の成人X染色体連鎖性低リン血症性くる病・骨軟化症患者を対象とした第Ⅰ相試験(2019年9月20日承認、CTD2.7.6.2)

    6) 社内資料:小児X染色体連鎖性低リン血症性くる病・骨軟化症患者を対象とした第Ⅲ相国際共同試験(2019年9月20日承認、CTD2.7.6.4)

    7) 社内資料:BiacoreによるKRN23のヒト、カニクイザル及びウサギFGF23への結合親和性の測定(2019年9月20日承認、CTD2.6.2.2.1.1)

    8) 社内資料:サンドイッチELISAによるヒト、サル及びマウスFGF23反応曲線(2019年9月20日承認、CTD2.6.2.2.1.2)

    9) 社内資料:サンドイッチELISAによる各種哺乳動物の血漿中FGF23反応曲線(2019年9月20日承認、CTD2.6.2.2.1.3)

    10) 社内資料:セルベースアッセイによるKRN23のFGF23シグナル伝達に対する阻害活性(2019年9月20日承認、CTD2.6.2.2.1.4)

    11) 社内資料:セルベースアッセイによるKRN23の各種哺乳動物のFGF23に対する中和活性(2019年9月20日承認、CTD2.6.2.2.1.5)

    12) 社内資料:ウサギにおけるKRN23の単回静脈内投与試験(2019年9月20日承認、CTD2.6.2.2.2.1)

    13) 社内資料:カニクイザルにおけるKRN23の尿中リン排泄量に対する影響(2019年9月20日承認、CTD2.6.2.2.2.2)

    14) 社内資料:カニクイザルにおけるKRN23の最小有効量確認試験(2019年9月20日承認、CTD2.6.2.2.2.3)

    15) 社内資料:カニクイザルにおけるKRN23単回静脈内/皮下投与のPK/PD試験(2019年9月20日承認、CTD2.6.2.2.2.4)

    16) 社内資料:幼若カニクイザルにおけるKRN23の単回静脈内投与薬理試験(2019年9月20日承認、CTD2.6.2.2.2.5)

    17) 社内資料:成熟及び幼若カニクイザルにおけるKRN23の13週間間歇(1回/2週)皮下投与のPK/PD試験並びに8週間回復性試験(2019年9月20日承認、CTD2.6.2.2.2.6)

    24. 文献請求先及び問い合わせ先

    協和キリン株式会社 くすり相談窓口

    〒100-0004 東京都千代田区大手町1-9-2

    電話 0120-850-150

    26. 製造販売業者等

    26.1 製造販売元

    協和キリン株式会社

    東京都千代田区大手町1-9-2

    〒100-0013 東京都千代田区霞が関3-3-2 新霞が関ビル

    画面を閉じる

    Copyright © Pharmaceuticals and Medical Devices Agency, All Rights reserved.