医療用医薬品 詳細表示

単シロップ「ケンエー」

添付文書番号

7142001X1040_1_04

企業コード

260024

作成又は改訂年月

2023年11月改訂(第1版)

日本標準商品分類番号

877142

薬効分類名

矯味剤

承認等

単シロップ「ケンエー」

販売名コード

YJコード

7142001X1040

販売名英語表記

Simple Syrup 「KENEI」

承認番号等

許可番号

27A2X00029

販売開始年月

1977年2月

貯法・有効期間

貯法

室温保存

有効期間

4年

基準名

日本薬局方

単シロップ

一般的名称

日局 単シロップ

3. 組成・性状

3.1 組成

単シロップ「ケンエー」

成分  100mL中
日局 白糖 85g
添加剤  安息香酸ナトリウム、ブチルパラベン、プロピレングリコール

3.2 製剤の性状

単シロップ「ケンエー」

性状無色~微黄色の澄明な濃稠の液で、においはなく、味は甘い。
比重:1.310~1.325

4. 効能又は効果

矯味の目的で調剤に用いる。

6. 用法及び用量

矯味の目的で調剤に用いる。

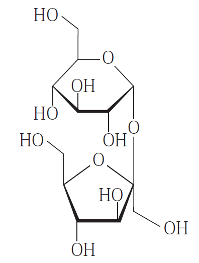
19. 有効成分に関する理化学的知見

一般的名称

白糖(White Soft Sugar)

分子式

C12H22O11

分子量

342.30

性状

無色又は白色の結晶又は結晶性の粉末で,においはなく、味は甘い。水に極めて溶けやすく、エタノール(95)に極めて溶けにくく、ジエチルエーテルにほとんど溶けない。
本品の水溶液(1→10)は中性である。

化学構造式

20. 取扱い上の注意

開封後はなるべく早く使用し、使用後は汚染防止のため密栓して保存すること。

22. 包装

500mL(ガラス瓶)

24. 文献請求先及び問い合わせ先

健栄製薬株式会社 学術情報部

〒541-0044 大阪市中央区伏見町2丁目5番8号

電話番号(06)6231-5822
FAX番号(06)6204-0750

26. 製造販売業者等

26.1 製造販売元

健栄製薬株式会社

大阪市中央区伏見町2丁目5番8号

〒100-0013 東京都千代田区霞が関3-3-2 新霞が関ビル

画面を閉じる

Copyright © Pharmaceuticals and Medical Devices Agency, All Rights reserved.