医療用医薬品 詳細表示

l-メントール「ケンエー」

添付文書番号

7149004X1052_1_03

企業コード

260024

作成又は改訂年月

2023年5月改訂(第1版)

日本標準商品分類番号

877149

薬効分類名

矯味・矯臭剤

承認等

l-メントール「ケンエー」

販売名コード

YJコード

7149004X1052

販売名英語表記

l-Menthol「KENEI」

承認番号等

承認番号

16100AMZ01554

販売開始年月

1986年3月

貯法・有効期間

貯法

室温保存

有効期間

4年

基準名

日本薬局方

l-メントール

一般的名称

日局 l-メントール

3. 組成・性状

3.1 組成

l-メントール「ケンエー」

成分  1g中 日局 l-メントール 1g
l-メントール(C10H20O)98.0%以上を含有。)

3.2 製剤の性状

l-メントール「ケンエー」

性状無色の結晶で、特異でそう快な芳香があり、味は初め舌をやくようで、後に清涼となる。
エタノール(95)又はジエチルエーテルに極めて溶けやすく、水に極めて溶けにくい。
室温で徐々に昇華する。

4. 効能又は効果

芳香・矯臭・矯味の目的で調剤に用いる。

6. 用法及び用量

芳香・矯臭・矯味の目的で調剤に用いる。

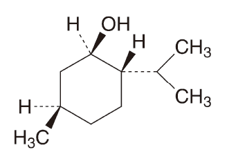
19. 有効成分に関する理化学的知見

一般的名称

l-メントール(l-Menthol)

化学名

(1R,2S,5R)-5-Methyl-2-(1-methylethyl)cyclohexanol

分子式

C10H20O

分子量

156.27

化学構造式

融点

42~44℃

22. 包装

25g[ガラス瓶]

24. 文献請求先及び問い合わせ先

健栄製薬株式会社 学術情報部

〒541-0044 大阪市中央区伏見町2丁目5番8号

電話番号 (06)6231-5822
FAX番号 (06)6204-0750

26. 製造販売業者等

26.1 製造販売元

健栄製薬株式会社

大阪市中央区伏見町2丁目5番8号

〒100-0013 東京都千代田区霞が関3-3-2 新霞が関ビル

画面を閉じる

Copyright © Pharmaceuticals and Medical Devices Agency, All Rights reserved.