医療用医薬品 詳細表示

アミファーゲンP注20mL

処方せん医薬品

添付文書番号
企業コード
作成又は改訂年月
日本標準商品分類番号
薬効分類名
承認等
一般的名称
2.禁忌(次の患者には投与しないこと)
3.組成・性状
3.1組成
3.2製剤の性状
4.効能又は効果
6.用法及び用量
8.重要な基本的注意
9.特定の背景を有する患者に関する注意
9.5妊婦
9.6授乳婦
9.8高齢者
10.相互作用
10.2併用注意(併用に注意すること)
11.副作用
11.1重大な副作用
11.2その他の副作用
14.適用上の注意
15.その他の注意
15.1臨床使用に基づく情報
19.有効成分に関する理化学的知見
20.取扱い上の注意
22.包装
23.主要文献
24.文献請求先及び問い合わせ先
26.製造販売業者等

アミファーゲンP注20mL

添付文書番号

3919502A1309_1_10

企業コード

260054

作成又は改訂年月

2024年3月改訂(第1版)

日本標準商品分類番号

873919
87449

薬効分類名

肝臓疾患用剤・アレルギー用薬

承認等

アミファーゲンP注20mL

販売名コード

YJコード

3919502A1309

販売名英語表記

AMIPHARGEN P INJECTION

承認番号等

承認番号

21500AMY00043000

販売開始年月

2003年7月

貯法・有効期間

貯法

室温保存

有効期間

3年

一般的名称

グリチルリチン酸一アンモニウム・グリシン・L-システイン塩酸塩水和物配合注射剤

2. 禁忌(次の患者には投与しないこと)

  1. 2.1 本剤の成分に対し過敏症の既往歴のある患者
  2. 2.2 アルドステロン症、ミオパチー、低カリウム血症の患者[低カリウム血症、高血圧症等を悪化させるおそれがある。]

3. 組成・性状

3.1 組成

アミファーゲンP注20mL

本剤は、1管中に次の成分を含有する。
有効成分グリチルリチン酸一アンモニウム   52mg
(グリチルリチン酸として   40mg )
日局グリシン   400mg
日局L-システイン塩酸塩水和物   22.3mg
(L-システイン塩酸塩として   20mg )
添加剤日局乾燥亜硫酸ナトリウム   20mg
モノエタノールアミン   12mg

3.2 製剤の性状

アミファーゲンP注20mL

pH6.0~7.4
浸透圧比1.0~1.2(生理食塩液に対する比)
性状無色澄明な水性注射剤(プラスチックアンプル入)である

4. 効能又は効果

  • 小児ストロフルス、湿疹・皮膚炎、蕁麻疹、皮膚そう痒症、口内炎、フリクテン、薬疹・中毒疹
  • 慢性肝疾患における肝機能異常の改善

6. 用法及び用量

  • 〈小児ストロフルス、湿疹・皮膚炎、蕁麻疹、皮膚そう痒症、口内炎、フリクテン、薬疹・中毒疹の治療〉

    通常、成人には1日1回5~20mLを静脈内に注射する。なお、年齢、症状により適宜増減する。

  • 〈慢性肝疾患における肝機能異常の改善〉

    慢性肝疾患に対しては1日1回40~60mLを静脈内に注射または点滴静注する。
    年齢、症状により適宜増減する。なお、増量する場合は1日100mLを限度とする。

8. 重要な基本的注意

  1. 8.1 ショック等の発現を予測するため、十分な問診を行うこと。
  2. 8.2 ショック発現時に救急処置のとれる準備をしておくこと。
  3. 8.3 投与後、患者を安静な状態に保たせ、十分な観察を行うこと。
  4. 8.4 甘草を含有する製剤との併用は、本剤に含まれるグリチルリチン酸が重複し、偽アルドステロン症があらわれやすくなるので注意すること。

9. 特定の背景を有する患者に関する注意

9.5 妊婦

妊婦又は妊娠している可能性のある女性には、治療上の有益性が危険性を上回ると判断される場合にのみ投与すること。グリチルリチン酸一アンモニウムを大量投与したときの動物実験(ラット)において腎奇形等が認められている1)

9.6 授乳婦

治療上の有益性及び母乳栄養の有益性を考慮し、授乳の継続又は中止を検討すること。グリチルリチン酸一アンモニウムを投与したときの動物実験(ラット)において乳汁移行が認められている2)

9.8 高齢者

患者の状態を観察しながら慎重に投与すること。臨床での使用経験において、低カリウム血症等の副作用の発現率が高い傾向が認められている。

10. 相互作用

    10.2 併用注意(併用に注意すること)

    薬剤名等臨床症状・措置方法機序・危険因子
    • ループ利尿剤
      • エタクリン酸、
        フロセミド等
    • チアジド系及び
      その類似降圧利尿剤
      • トリクロルメチアジド、
        クロルタリドン等

    低カリウム血症(脱力感、筋力低下等)があらわれるおそれがあるので、観察(血清カリウム値の測定等)を行うなど十分に注意すること。

    これらの利尿作用が、本剤に含まれるグリチルリチン酸のカリウム排泄作用を増強し、血清カリウム値の低下があらわれやすくなる。

    • モキシフロキサシン塩酸塩

    心室性頻拍(Torsade de pointesを含む)、QT延長を起こすおそれがある。

    本剤が有するカリウム排泄作用により血清カリウム濃度が低下すると、モキシフロキサシン塩酸塩による心室性頻拍(Torsade de pointesを含む)、QT延長が発現するおそれがある。

    11. 副作用

    次の副作用があらわれることがあるので、観察を十分に行い、異常が認められた場合には投与を中止するなど適切な処置を行うこと。

    11.1 重大な副作用

    1. 11.1.1 ショック、アナフィラキシーショック(頻度不明)

      血圧低下、意識消失、呼吸困難、心肺停止、潮紅、顔面浮腫等があらわれることがある。

    2. 11.1.2 アナフィラキシー(頻度不明)

      呼吸困難、潮紅、顔面浮腫等があらわれることがある。

    3. 11.1.3 偽アルドステロン症(頻度不明)

      増量又は長期連用により高度の低カリウム血症、低カリウム血症の発現頻度の上昇、血圧上昇、ナトリウム・体液の貯留、浮腫、体重増加等があらわれるおそれがある。
      また、低カリウム血症の結果として、脱力感、筋力低下などがあらわれるおそれがある。

    11.2 その他の副作用

    0.1~5%未満

    0.1%未満

    頻度不明

    過敏症

    発疹

    蕁麻疹、そう痒

    体液・電解質

    血清カリウム値の低下1)

    浮腫

    循環器

    血圧上昇1)

    消化器

    上腹部不快感

    嘔気・嘔吐

    呼吸器

    咳嗽

    一過性の視覚異常(目のかすみ、目のチカチカ等)

    その他

    全身倦怠感、筋肉痛、異常感覚(しびれ感、ピリピリ感等)、発熱、過呼吸症状(肩の熱感、四肢冷感、冷汗、口渇、動悸)、尿糖陽性

    頭痛、熱感、気分不良

    1) 投与量の増加により発現頻度の上昇傾向が認められる。
    頻度は使用成績調査を含む

    14. 適用上の注意

    14.1 薬剤投与時の注意

    静脈内投与は、患者の状態を観察しながらできるだけ投与速度を緩徐にすること。

    15. その他の注意

    15.1 臨床使用に基づく情報

    グリチルリチン酸又は甘草を含有する製剤の経口投与により、横紋筋融解症があらわれたとの報告がある。

    19. 有効成分に関する理化学的知見

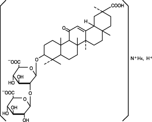
    19.1 グリチルリチン酸一アンモニウム

    一般的名称

    グリチルリチン酸一アンモニウム(JAN)
    (Monoammonium glycyrrhizinate)

    化学名

    Monoammonium of 20β-carboxy-11-oxo-30-norolean-12-en-3β-yl-2-O-β-D-glucopyranuronosyl-β-D-glucopyranosiduronic acid

    分子式

    C42H65NO16

    分子量

    839.96

    性状

    白色の結晶又は結晶性の粉末で強い甘味を有する。アンモニア試液に溶けやすく、希エタノールにやや溶けにくく、水、酢酸(100)には溶けにくく、エタノール(99.5)には極めて溶けにくい。吸湿性である。

    化学構造式

    融点

    208~214℃(分解)

    19.2 グリシン

    一般的名称

    グリシン(JAN)(別名アミノ酢酸)
    (Glycine, Aminoacetic acid)

    化学名

    Aminoacetic acid

    分子式

    C2H5NO2

    分子量

    75.07

    性状

    白色の結晶又は結晶性の粉末で、味は甘い。
    水又はギ酸に溶けやすく、エタノール(95)にほとんど溶けない。
    結晶多形が認められる。

    化学構造式

    19.3 L-システイン塩酸塩水和物

    一般的名称

    L-システイン塩酸塩水和物(JAN)
    (L-Cysteine Hydrochloride Hydrate)

    化学名

    (2R)-2-Amino-3-sulfanylpropanoic acid monohydrochloride monohydrate

    分子式

    C3H7NO2S・HCl・H2O

    分子量

    175.63

    性状

    白色の結晶又は結晶性の粉末で、特異なにおい及び強い酸味がある。
    水に極めて溶けやすく、エタノール(99.5)にやや溶けやすい。
    6mol/L塩酸試液に溶ける。

    化学構造式

    20. 取扱い上の注意

    1. 20.1 製品の安定性を保持するため脱酸素剤を封入しているので、アンプルを包む包装は使用直前に開封し、開封後は速やかに使用すること。
    2. 20.2 包装内に水滴が認められるものや内容液に着色、混濁又は結晶が認められるものは使用しないこと。

    22. 包装

    20mL×50管(脱酸素剤入り、プラスチックアンプル)

    24. 文献請求先及び問い合わせ先

    株式会社ケミックス 学術部

    〒222-0033 神奈川県横浜市港北区新横浜2-15-10

    電話:0120-769-031
    https://www.chemixjp.co.jp/

    26. 製造販売業者等

    26.1 製造販売元

    株式会社ケミックス

    横浜市港北区新横浜2-15-10

    〒100-0013 東京都千代田区霞が関3-3-2 新霞が関ビル

    画面を閉じる

    Copyright © Pharmaceuticals and Medical Devices Agency, All Rights reserved.