医療用医薬品 詳細表示

オプチレイ320注20mL/オプチレイ320注50mL/オプチレイ320注100mL/オプチレイ350注20mL/オプチレイ350注50mL/オプチレイ350注100mL

処方せん医薬品

添付文書番号
企業コード
作成又は改訂年月
日本標準商品分類番号
薬効分類名
承認等
一般的名称
1.警告
2.禁忌(次の患者には投与しないこと)
3.組成・性状
3.1組成
3.2製剤の性状
4.効能又は効果
6.用法及び用量
8.重要な基本的注意
9.特定の背景を有する患者に関する注意
9.1合併症・既往歴等のある患者
9.2腎機能障害患者
9.3肝機能障害患者
9.5妊婦
9.6授乳婦
9.7小児等
9.8高齢者
10.相互作用
10.2併用注意(併用に注意すること)
11.副作用
11.1重大な副作用
11.2その他の副作用
12.臨床検査結果に及ぼす影響
14.適用上の注意
16.薬物動態
16.1血中濃度
16.4代謝
16.5排泄
17.臨床成績
17.1有効性及び安全性に関する試験
17.2製造販売後調査等
17.3その他
18.薬効薬理
18.1測定法
19.有効成分に関する理化学的知見
20.取扱い上の注意
22.包装
23.主要文献
24.文献請求先及び問い合わせ先
26.製造販売業者等

オプチレイ320注20mL/オプチレイ320注50mL/オプチレイ320注100mL/オプチレイ350注20mL/オプチレイ350注50mL/オプチレイ350注100mL

添付文書番号

7219416A8030_5_04

企業コード

260106

作成又は改訂年月

2023年9月改訂(第1版)

日本標準商品分類番号

877219

薬効分類名

非イオン性造影剤

承認等

オプチレイ320注20mL

販売名コード

YJコード

7219416A8030

販売名英語表記

Optiray for injection

販売名ひらがな

おぷちれい320ちゅう20mL

承認番号等

承認番号

22100AMX00412

販売開始年月

1992年5月

貯法・有効期間

貯法

室温保存

有効期間

3年

オプチレイ320注50mL

販売名コード

YJコード

7219416A9036

販売名英語表記

Optiray for injection

販売名ひらがな

おぷちれい320ちゅう50mL

承認番号等

承認番号

22100AMX00413

販売開始年月

1992年5月

貯法・有効期間

貯法

室温保存

有効期間

3年

オプチレイ320注100mL

販売名コード

YJコード

7219416H1033

販売名英語表記

Optiray for injection

販売名ひらがな

おぷちれい320ちゅう100mL

承認番号等

承認番号

22100AMX00415

販売開始年月

1992年5月

貯法・有効期間

貯法

室温保存

有効期間

3年

オプチレイ350注20mL

販売名コード

YJコード

7219416H2030

販売名英語表記

Optiray for injection

販売名ひらがな

おぷちれい350ちゅう20mL

承認番号等

承認番号

22100AMX00416

販売開始年月

1992年5月

貯法・有効期間

貯法

室温保存

有効期間

3年

オプチレイ350注50mL

販売名コード

YJコード

7219416H3036

販売名英語表記

Optiray for injection

販売名ひらがな

おぷちれい350ちゅう50mL

承認番号等

承認番号

22100AMX00417

販売開始年月

1992年5月

貯法・有効期間

貯法

室温保存

有効期間

3年

オプチレイ350注100mL

販売名コード

YJコード

7219416H4032

販売名英語表記

Optiray for injection

販売名ひらがな

おぷちれい350ちゅう100mL

承認番号等

承認番号

22100AMX00418

販売開始年月

1992年5月

貯法・有効期間

貯法

室温保存

有効期間

3年

一般的名称

イオベルソール

1. 警告

  1. 1.1 ショック等の重篤な副作用があらわれることがある。,,,,,,,,
  2. 1.2 本剤を脳・脊髄腔内に投与すると重篤な副作用が発現するおそれがあるので、脳槽・脊髄造影には使用しないこと。

2. 禁忌(次の患者には投与しないこと)

  1. 2.1 ヨード又はヨード造影剤に過敏症の既往歴のある患者
  2. 2.2 重篤な甲状腺疾患のある患者[甲状腺機能に変化を及ぼし、症状が悪化するおそれがある。]

3. 組成・性状

3.1 組成

オプチレイ320注20mL

有効成分イオベルソール   678mg/mL
添加剤1mL中にエデト酸カルシウムナトリウム水和物0.2mg、トロメタモールとして3.6mg及びpH調節剤を含有する。
ヨード含有量  320mg/mL
内容量  20mL
1瓶中イオベルソール含有量  13.6g
1瓶中ヨード含有量  6.4g

オプチレイ320注50mL

有効成分イオベルソール   678mg/mL
添加剤1mL中にエデト酸カルシウムナトリウム水和物0.2mg、トロメタモールとして3.6mg及びpH調節剤を含有する。
ヨード含有量  320mg/mL
内容量  50mL
1瓶中イオベルソール含有量  33.9g
1瓶中ヨード含有量  16.0g

オプチレイ320注100mL

有効成分イオベルソール   678mg/mL
添加剤1mL中にエデト酸カルシウムナトリウム水和物0.2mg、トロメタモールとして3.6mg及びpH調節剤を含有する。
ヨード含有量  320mg/mL
内容量  100mL
1瓶中イオベルソール含有量  67.8g
1瓶中ヨード含有量  32.0g

オプチレイ350注20mL

有効成分イオベルソール   741mg/mL
添加剤1mL中にエデト酸カルシウムナトリウム水和物0.2mg、トロメタモールとして3.6mg及びpH調節剤を含有する。
ヨード含有量  350mg/mL
内容量  20mL
1瓶中イオベルソール含有量  14.8g
1瓶中ヨード含有量  7.0g

オプチレイ350注50mL

有効成分イオベルソール   741mg/mL
添加剤1mL中にエデト酸カルシウムナトリウム水和物0.2mg、トロメタモールとして3.6mg及びpH調節剤を含有する。
ヨード含有量  350mg/mL
内容量  50mL
1瓶中イオベルソール含有量  37.1g
1瓶中ヨード含有量  17.5g

オプチレイ350注100mL

有効成分イオベルソール   741mg/mL
添加剤1mL中にエデト酸カルシウムナトリウム水和物0.2mg、トロメタモールとして3.6mg及びpH調節剤を含有する。
ヨード含有量  350mg/mL
内容量  100mL
1瓶中イオベルソール含有量  74.1g
1瓶中ヨード含有量  35.0g

3.2 製剤の性状

オプチレイ320注20mL

剤形注射剤(バイアル)
pH6.0~7.5
浸透圧比約2(生理食塩液に対する比)
粘稠度(mPa・s, 37℃)5.8
色調・性状無色澄明の液

オプチレイ320注50mL

剤形注射剤(バイアル)
pH6.0~7.5
浸透圧比約2(生理食塩液に対する比)
粘稠度(mPa・s, 37℃)5.8
色調・性状無色澄明の液

オプチレイ320注100mL

剤形注射剤(バイアル)
pH6.0~7.5
浸透圧比約2(生理食塩液に対する比)
粘稠度(mPa・s, 37℃)5.8
色調・性状無色澄明の液

オプチレイ350注20mL

剤形注射剤(バイアル)
pH6.0~7.5
浸透圧比約3(生理食塩液に対する比)
粘稠度(mPa・s, 37℃)8.2
色調・性状無色澄明の液

オプチレイ350注50mL

剤形注射剤(バイアル)
pH6.0~7.5
浸透圧比約3(生理食塩液に対する比)
粘稠度(mPa・s, 37℃)8.2
色調・性状無色澄明の液

オプチレイ350注100mL

剤形注射剤(バイアル)
pH6.0~7.5
浸透圧比約3(生理食塩液に対する比)
粘稠度(mPa・s, 37℃)8.2
色調・性状無色澄明の液

4. 効能又は効果

  • 〈オプチレイ320注〉

    脳血管撮影、大動脈撮影、選択的血管撮影、四肢血管撮影、ディジタルX線撮影法による動脈性血管撮影、ディジタルX線撮影法による静脈性血管撮影、コンピューター断層撮影における造影、静脈性尿路撮影

  • 〈オプチレイ350注〉

    血管心臓撮影、大動脈撮影、選択的血管撮影、腹部のコンピューター断層撮影における造影

6. 用法及び用量

通常、成人1回下記量を使用する。なお、年齢、体重、症状、目的により適宜増減する。

撮影の種類

オプチレイ320注

オプチレイ350注

脳血管撮影

5~15mL

血管心臓撮影

心腔内撮影

20~40mL

冠状動脈撮影

3~8mL

大動脈撮影

30~50mL

30~50mL

選択的血管撮影

5~60mL

5~60mL

四肢血管撮影

10~50mL

ディジタルX線撮影法による動脈性血管撮影

3~50mL

ディジタルX線撮影法による静脈性血管撮影

30~60mL

コンピューター断層撮影における造影

50~100mL

50mLを超えて投与するときは、通常点滴静注などを用いる。

腹部のコンピューター断層撮影における造影

90~150mL

体重に応じて1.71mL/kgを静脈内投与する。1回量は150mLを超えないこと。

静脈性尿路撮影

40~100mL

50mLを超えて投与するときは、通常点滴静注などを用いる。

8. 重要な基本的注意

  1. 8.1 ショック等の発現に備え、十分な問診を行うこと。,,,,,
  2. 8.2 投与量と投与方法の如何にかかわらず過敏反応を示すことがある。
    本剤によるショック等の重篤な副作用は、ヨード過敏反応によるものとは限らず、それを確実に予知できる方法はないので、投与に際しては必ず救急処置の準備を行うこと。,,
  3. 8.3 投与にあたっては、投与開始時より患者の状態を観察しながら、過敏反応の発現に注意し、慎重に投与すること。また、異常が認められた場合には、直ちに投与を中止し、適切な処置を行うこと。,,
  4. 8.4 重篤な遅発性副作用(ショックを含む)等があらわれることがあるので、投与中及び投与後も、患者の状態を十分に観察すること。,,
  5. 8.5 外来患者に使用する場合には、本剤投与開始より1時間~数日後にも遅発性副作用の発現の可能性があることを患者に説明した上で、発疹、浮腫・腫脹、じん麻疹、そう痒感、嘔気、嘔吐、血圧低下等の副作用と思われる症状が発現した場合には、速やかに主治医に連絡するように指示するなど適切な対応をとること。,,
  6. 8.6 ヨード造影剤の投与により腎機能の低下があらわれるおそれがあるので、適切な水分補給を行うこと。,,,,,,,,

9. 特定の背景を有する患者に関する注意

9.1 合併症・既往歴等のある患者

  1. 9.1.1 一般状態の極度に悪い患者

    診断上やむを得ないと判断される場合を除き、投与しないこと。

  2. 9.1.2 気管支喘息のある患者

    診断上やむを得ないと判断される場合を除き、投与しないこと。副作用の発現頻度が高いとの報告がある。

  3. 9.1.3 重篤な心障害のある患者

    診断上やむを得ないと判断される場合を除き、投与しないこと。本剤投与により、血圧低下、不整脈、徐脈、頻脈等の報告があり、症状が悪化するおそれがある。

  4. 9.1.4 マクログロブリン血症の患者

    診断上やむを得ないと判断される場合を除き、投与しないこと。類薬において、静脈性胆嚢造影で血液のゼラチン様変化をきたし、死亡したとの報告がある。

  5. 9.1.5 多発性骨髄腫のある患者

    診断上やむを得ないと判断される場合を除き、投与しないこと。特に脱水症状のある場合、腎不全(無尿等)を起こすおそれがある。,

  6. 9.1.6 テタニーのある患者

    診断上やむを得ないと判断される場合を除き、投与しないこと。血中カルシウムの低下により、症状が悪化するおそれがある。

  7. 9.1.7 褐色細胞腫又はパラガングリオーマのある患者及びその疑いのある患者

    *診断上やむを得ないと判断される場合を除き、投与しないこと。やむを得ず検査を実施する場合には静脈確保の上、フェントラミンメシル酸塩等のα遮断薬及びプロプラノロール塩酸塩等のβ遮断薬の十分な量を用意するなど、これらの発作に対処できるよう十分な準備を行い、慎重に投与すること。血圧上昇、頻脈、不整脈等の発作が起こるおそれがある。

  8. 9.1.8 本人又は両親、兄弟に気管支喘息、発疹、じん麻疹等のアレルギーを起こしやすい体質を有する患者

    ,,,

  9. 9.1.9 薬物過敏症の既往歴のある患者

    ,,,

  10. 9.1.10 脱水症状のある患者

    *急性腎障害を起こすおそれがある。,

  11. 9.1.11 高血圧症の患者

    血圧上昇等、症状が悪化するおそれがある。

  12. 9.1.12 動脈硬化のある患者

    心、循環器系に影響を及ぼすことがある。

  13. 9.1.13 糖尿病の患者

    *急性腎障害を起こすおそれがある。,

  14. 9.1.14 甲状腺疾患のある患者(重篤な甲状腺疾患のある患者を除く)

    甲状腺機能に変化を及ぼし、症状が悪化するおそれがある。

  15. 9.1.15 急性膵炎の患者

    本剤投与前後にはガイドライン等を参考にして十分な輸液を行うこと。症状が悪化するおそれがある。,,

9.2 腎機能障害患者

  1. 9.2.1 重篤な腎障害(無尿等)のある患者

    *診断上やむを得ないと判断される場合を除き、投与しないこと。本剤の主たる排泄臓器は腎臓であり1) 、腎機能低下患者では急性腎障害等、症状が悪化するおそれがある。,

  2. 9.2.2 腎機能が低下している患者

    腎機能が悪化するおそれがある。,

9.3 肝機能障害患者

  1. 9.3.1 重篤な肝障害のある患者

    診断上やむを得ないと判断される場合を除き、投与しないこと。症状が悪化するおそれがある。

  2. 9.3.2 肝機能が低下している患者

    肝機能が悪化するおそれがある。

9.5 妊婦

妊婦又は妊娠している可能性のある女性には、診断上の有益性が危険性を上回ると判断される場合にのみ投与すること。本剤投与の際にはX線照射をともなう。

9.6 授乳婦

診断上の有益性及び母乳栄養の有益性を考慮し、授乳の継続又は中止を検討すること。動物試験(ラット、静脈内投与)において乳汁中への移行が報告されている2)

9.7 小児等

小児等を対象とした臨床試験は実施していない。

9.8 高齢者

患者の状態を観察しながら慎重に投与すること。一般に生理機能が低下している。

10. 相互作用

    10.2 併用注意(併用に注意すること)

    薬剤名等臨床症状・措置方法機序・危険因子
    • ビグアナイド系糖尿病用薬
      • メトホルミン塩酸塩
      • ブホルミン塩酸塩 等

    X線ヨード造影剤との併用により乳酸アシドーシスを起こすことがある。
    本剤を使用する場合には、ビグアナイド系糖尿病用薬を一時的に中止する等処置を行う。

    ビグアナイド系糖尿病用薬の腎排泄が減少し、血中濃度が上昇すると考えられている。

    11. 副作用

    次の副作用があらわれることがあるので、観察を十分に行い、異常が認められた場合には投与を中止するなど適切な処置を行うこと。

    11.1 重大な副作用

    • 〈効能共通〉
      1. 11.1.1 ショック(頻度不明)

        ショック(遅発性を含む)を起こし、失神、意識消失、呼吸困難、呼吸停止、心停止等の症状があらわれることがある。また、軽度の過敏症状も重篤な症状に進展する場合がある。,,,,,,,

      2. 11.1.2 アナフィラキシー(頻度不明)

        呼吸困難、咽・喉頭浮腫等のアナフィラキシー(遅発性を含む)があらわれることがある。,,,,,,,

      3. 11.1.3 心室細動、冠動脈れん縮(いずれも頻度不明)
      4. 11.1.4 腎不全(頻度不明)

        *急性腎障害があらわれることがある。,,,,,

      5. 11.1.5 肺水腫(頻度不明)
      6. 11.1.6 失神(意識消失等)(頻度不明)
      7. 11.1.7 けいれん発作(頻度不明)

        発現した場合には、フェノバルビタール等バルビツール酸誘導体又はジアゼパム等を投与すること。

      8. 11.1.8 肝機能障害、黄疸(いずれも頻度不明)

        肝機能障害(AST(GOT)、ALT(GPT)、γ-GTP等の異常)、黄疸があらわれることがある。,

      9. 11.1.9 血小板減少(頻度不明)
      10. 11.1.10 脳血管障害(頻度不明)

        脳血管障害(脳梗塞増悪等)があらわれることがある。

      11. 11.1.11 皮膚障害(頻度不明)

        皮膚粘膜眼症候群(Stevens-Johnson症候群)、急性汎発性発疹性膿疱症があらわれることがあるので、観察を十分に行い、発熱、紅斑、小膿疱、そう痒感、眼充血、口内炎等の症状が認められた場合には、適切な処置を行うこと。

      12. 11.1.12 造影剤脳症(頻度不明)

        脳血管撮影、血管心臓撮影、大動脈撮影において、本剤が脳血管外に漏出し、意識障害、麻痺、失語、皮質盲等の中枢神経症状があらわれることがあるので投与量は必要最小限とし、異常が認められた場合には適切な処置を行うこと。

    • 〈脳血管撮影〉
      1. 11.1.13 麻痺(頻度不明)

    11.2 その他の副作用

    次のような症状があらわれることがあるので、観察を十分に行い、必要に応じ適切な処置を行うこと。

    0.1~5%未満

    0.1%未満

    頻度不明

    過敏症

    発疹、そう痒感、発赤

    湿疹、じん麻疹

    潮紅、発汗等

    循環器

    血圧低下

    徐脈、頻脈、血圧上昇、心悸亢進、不整脈、顔面蒼白等

    呼吸器

    くしゃみ

    せき、鼻閉、呼吸困難、嗄声、鼻汁、咽・喉頭異和感、喉頭浮腫、喘息発作等

    精神神経系

    頭痛

    ねむけ、上肢脱力

    耳鳴、めまい、振戦、失見当識、しびれ(感)、一過性盲等の視力障害等

    消化器

    嘔気、嘔吐

    上腹部痛、腹痛、下痢等

    腎臓

    尿中蛋白陽性等

    BUN・クレアチニンの上昇

    内分泌系

    甲状腺機能低下症

    その他

    腫脹、胸部痛、注射部位漏出、血中尿酸増加等

    浮腫、胸部絞扼感、悪寒、熱感、味覚・嗅覚異常、発熱、結膜充血、けん怠感等

    12. 臨床検査結果に及ぼす影響

    甲状腺機能検査等の放射性ヨードによる診断が必要な場合には、本剤投与前に実施すること。また、本剤投与後1ヵ月間は放射性ヨードによる検査を実施しないこと。

    14. 適用上の注意

    14.1 薬剤投与前の注意

    • 〈効能共通〉
      1. 14.1.1 投与前には極端な水分制限をしないこと。,
      2. 14.1.2 投与前に体温まで温めること。
    • 〈静脈性尿路撮影〉
      1. 14.1.3 検査前に腸内ガスを排除し、検査終了迄絶食させること。

    14.2 薬剤調製時の注意

    • 次の薬剤を混和した場合、白濁することがあるので混和しないこと。
      • モノエタノールアミンオレイン酸塩注
        エタノール

    14.3 薬剤投与時の注意

    • 〈効能共通〉
      1. 14.3.1 脳槽及び脊髄造影には使用しないこと。
      2. 14.3.2 本剤は、製剤により効能・効果、また撮影の種類により用法・用量が異なるので、製剤濃度、注入部位、注入量及び注入速度など投与方法に注意すること。
      3. 14.3.3 次の薬剤は配合変化を起こす場合があるので、併用する場合は別々に使用すること。
        • 抗ヒスタミン剤
          副腎皮質ホルモン剤
      4. 14.3.4 非イオン性造影剤の血液凝固抑制作用は、イオン性造影剤に比較して弱いことがin vitro試験で認められているので、本剤による血管撮影にあたってはカテーテル内をよくフラッシュすること。また、本剤注入に際し注入器あるいはカテーテル内で血液と本剤との接触が長時間に及ぶことを避けること。
      5. 14.3.5 誤って造影剤を血管外に漏出させた場合、発赤、腫脹、水疱、血管痛等があらわれることがあるので、注入時には十分注意すること。
      6. 14.3.6 注入装置の洗浄が不十分な場合には、注入器内部に付着する残存液に由来する銅イオン溶出等によって、生成物を生じるおそれがあるので、使い捨て以外の器具を用いる場合には内部の汚れに注意し、洗浄、滅菌を十分に行うこと。
      7. 14.3.7 静脈内投与により血管痛、血栓性静脈炎があらわれることがある。

    14.4 薬剤投与後の注意

    1. 14.4.1 投与後も水分の補給を行い、造影剤の速やかな排泄を促すこと。,
    2. 14.4.2 1回の検査にのみ使用し、容器の再使用はしないこと。余剰の薬液は廃棄すること。

    16. 薬物動態

    16.1 血中濃度

    健康成人男性5例にイオベルソール注射液(320mgI/mLの溶液)25mL又は50mLを0.4mL/秒~0.5mL/秒の注入速度で肘静脈内へ単回投与したとき、血清中の未変化体濃度は二相性の消失を示し、半減期はα相では19.8~21.2分であり、β相では2.10~2.13 時間であった。また、AUCは投与量に比例して増加し、全身クリアランスは投与量にかかわらず一定であった3)

    薬物速度論的パラメータ(単回静脈内投与)(mean±S.D.)

    投与量(mL)

    n

    体重(kg)

    t1/2α(min)

    t1/2β(h)

    AUC(mgI・h/mL)

    25

    5

    60.6±5.0

    21.2±4.4

    2.10±0.22

    1.33±0.11

    50

    5

    66.3±7.5

    19.8±1.2

    2.13±0.18

    2.56±0.22

    (平均値±標準偏差)

    16.4 代謝

    健康成人男性5例にイオベルソール注射液(320mgI/mLの溶液)25mL又は50mLを静脈内投与したとき、尿中には未変化体として存在し、代謝物は認められなかった3)

    16.5 排泄

    健康成人男性(各5例)にイオベルソール注射液(320mgI/mLの溶液)25mL又は50mLを静脈内へ単回投与したとき、尿中排泄率は投与後2時間で約70%、24時間後にはほぼ全量が尿中に排泄された3)

    17. 臨床成績

    17.1 有効性及び安全性に関する試験

    • 〈脳血管撮影〉
      1. 17.1.1 国内第II相試験

        脳血管撮影を必要とする患者22例を対象とし、本剤の320mgI/mL製剤を用いたときの総頸動脈、外頸動脈、内頸動脈及び椎骨動脈の造影効果、安全性及び有用性を検討した臨床試験において、6~16mLで十分な診断が可能であり、有用性が認められた。副作用は認められなかった。臨床検査値では、薬剤起因と考えられる軽度一過性の収縮期血圧の低下が22例中1例(4.5%)に認められた4) 。なお、本剤の脳血管撮影に対して承認されている用法・用量は5~15mLである。

      2. 17.1.2 国内第III相比較試験

        脳血管撮影を必要とする患者222例を対象とし、本剤の320mgI/mL製剤あるいは対照薬イオパミドール300mgI/mL製剤を用いた比較試験において、本剤投与群の有効性評価対象症例107例では対照薬と同様の有用性が認められた。
        副作用は本剤投与群の安全性評価対象110例中8例(7.3%)11件に発現し、副作用は発疹、悪心(嘔気)・嘔吐が各3件、頭痛2件、胸部痛、上肢一過性脱力、血圧低下が各1件に認められ、いずれも軽度~中等度であった。臨床検査値では、薬剤起因と考えられる軽度一過性の血圧低下が1例に認められた5)

    • 〈血管心臓撮影〉
      1. 17.1.3 国内第III相予備試験

        血管心臓撮影を必要とする患者26例を対象とし、本剤の350mgI/mL製剤を用いた臨床試験において、心腔内撮影では30~40mL、冠状動脈撮影では2~9mLで十分な診断が可能であり、有用性が認められた。副作用は軽度の悪心が26例中1例(3.8%)認められた。臨床検査値では、薬剤起因と考えられる異常値は認められなかった6) 。なお、本剤の心腔内撮影、冠状動脈撮影に対して承認されている用法・用量はそれぞれ20~40mL、3~8mLである。

      2. 17.1.4 国内第III相比較試験

        血管心臓撮影を必要とする患者149例を対象とし、本剤の350mgI/mL製剤あるいは対照薬イオパミドール370mgI/mL製剤を用いた比較試験において、本剤投与群の有効性評価対象症例73例では対照薬と同様の有用性が認められた。
        副作用は本剤投与群の安全性評価対象73例中1例(1.4%)に軽度の嘔吐が認められた。臨床検査値では、薬剤起因と考えられる異常値は認められなかった7)

    • 〈大動脈・選択的血管撮影〉
      1. 17.1.5 国内第II相試験

        大動脈撮影及び選択的血管撮影を必要とする患者(2施設)28例を対象とし、本剤の320mgI/mL製剤を用いた臨床試験において、大動脈撮影に対し20~50mL、選択的血管撮影では4~45mLで十分な診断が可能であり、有用性が認められた。副作用は認められなかった。臨床検査値では、薬剤起因と考えられる変動は認められなかった8),9)

      2. 17.1.6 国内第III相一般試験

        大動脈撮影及び選択的血管撮影を必要とする患者20例を対象とし、本剤の320mgI/mL製剤を用いた臨床試験において、大動脈撮影に対し40~50mL、選択的血管撮影では1~70mLで十分な診断が可能であり、有用性が認められた。
        副作用は軽度一過性の悪心が20例中1例(5%)認められた。臨床検査値では、薬剤起因と考えられる変動は認められなかった10) 。なお、本剤の大動脈撮影、選択的血管撮影に対して承認されている用法・用量はそれぞれ30~50mL、5~60mLである。

      3. 17.1.7 国内第III相予備試験

        大動脈撮影及び選択的血管撮影を必要とする患者20例を対象とし、本剤の350mgI/mL製剤を用いた臨床試験において、大動脈撮影に対し35~60mL、選択的血管撮影では2~65mLで十分な診断が可能であり、有用性が認められた。
        副作用は軽度一過性の悪心が20例中1例(5%)認められた。臨床検査値では、薬剤起因と考えられる総ビリルビンのわずかな増加が1例認められた11) 。なお、本剤の大動脈撮影、選択的血管撮影に対して承認されている用法・用量はそれぞれ30~50mL、5~60mLである。

      4. 17.1.8 国内第III相一般試験

        大動脈撮影及び選択的血管撮影を必要とする患者105例を対象とし、本剤の350mgI/mL製剤を用いた臨床試験において、大動脈撮影に対し35~55mL、選択的血管撮影では3~70mLで十分な診断が可能であり、有用性が認められた。
        副作用は安全性評価対象103例中5例(4.9%)に発現し、発疹2件、悪心、発赤、くしゃみが各1件に認められ、いずれも軽度であった。臨床検査値では、軽度一過性の血圧低下が2例に認められた12)

    • 〈四肢血管撮影〉
      1. 17.1.9 国内第II相一般試験

        四肢血管撮影を必要とする患者20例を対象とし、本剤の320mgI/mL製剤を用いた臨床試験において、12~90mLで十分な診断が可能であり、有用性が認められた。副作用は認められなかった。臨床検査値では、薬剤起因と考えられる変動は認められなかった13) 。なお、本剤の四肢血管撮影に対して承認されている用法・用量は10~50mLである。

      2. 17.1.10 国内第III相一般試験

        四肢血管撮影を必要とする患者33例を対象とし、本剤の320mgI/mL製剤を用いた臨床試験において、有効性評価対象症例32例では8~65mLで十分な診断が可能であり、有用性が認められた。副作用は安全性評価対象32例中2例(6.3%)2件に発現し、軽度の発赤と軽度の腫脹感が各1件に認められた。臨床検査値では、薬剤起因と考えられる変動は認められなかった14),15)

    • 〈ディジタルX線撮影法による動脈性血管撮影〉
      1. 17.1.11 国内第II相一般試験

        ディジタルX線撮影法による動脈性血管撮影を必要とする患者21例を対象とし、本剤の160mgI/mL製剤を用いた臨床試験において、7~50mLで十分な診断が可能であり、有用性が認められた。副作用は認められなかった。臨床検査値では、薬剤起因と考えられる変動は認められなかった16) 。なお、本剤のディジタルX線撮影法による動脈性血管撮影に対して承認されている用法・用量は3~50mLである。

      2. 17.1.12 国内第III相一般試験

        ディジタルX線撮影法による動脈性血管撮影を必要とする患者21例を対象とし、本剤の160mgI/mL製剤を用いた臨床試験において、5~45mLで十分な診断が可能であり、有用性が認められた。副作用は認められなかった。臨床検査値では、薬剤起因と考えられる変動は認められなかった17)

      3. 17.1.13 国内第II相一般試験

        ディジタルX線撮影法による動脈性血管撮影を必要とする患者20例を対象とし、本剤の320mgI/mL製剤を用いた臨床試験において、有効性評価対象症例19例では1~20mLで十分な診断が可能であり、有用性が認められた。副作用は認められなかった。臨床検査値では、薬剤起因と考えられる変動は認められなかった18)

      4. 17.1.14 国内第II相一般試験

        ディジタルX線撮影法による動脈性血管撮影を必要とする患者24例を対象として、本剤の320mgI/mL製剤2倍希釈を用いた臨床試験において、3~40mLで十分な診断が可能であり、有用性が認められた。副作用は認められなかった。臨床検査値では、薬剤起因と考えられる変動は認められなかった19)

      5. 17.1.15 国内第III相一般試験

        ディジタルX線撮影法による動脈性血管撮影を必要とする患者20例を対象として、本剤の320mgI/mL製剤を用いた臨床試験において、20~55mLで十分な診断が可能であり、有用性が認められた。副作用は認められなかった。臨床検査値では、心電図所見で1例一過性の徐脈が認められた20)

    • 〈ディジタルX線撮影法による静脈性血管撮影〉
      1. 17.1.16 国内第II相一般試験

        ディジタルX線撮影法による静脈性血管撮影を必要とする患者20例を対象として、本剤の320mgI/mL製剤を用いた臨床試験において、30~60mLで十分な診断が可能であり、有用性が認められた。副作用は軽度の悪心が20例中1例(5%)認められた。臨床検査値では、薬剤起因と考えられる変動は認められなかった21)

      2. 17.1.17 国内第III相一般試験

        ディジタルX線撮影法による静脈性血管撮影を必要とする患者47例を対象として、本剤の320mgI/mL製剤を用いた臨床試験において、30~40mLで十分な診断が可能であり、有用性が認められた。副作用は認められなかった。臨床検査値では、薬剤起因と考えられる変動は認められなかった22),23)

    • 〈コンピューター断層撮影における造影〉
      1. 17.1.18 国内第II相一般試験

        コンピューター断層撮影における造影を必要とする患者44例を対象として、本剤の240mgI/mL製剤を用いた臨床試験において、90~150mLで十分な診断が可能であり、有用性が認められた。副作用は44例中2例(4.5%)に軽度一過性眠気、発赤が各1件ずつ認められた。臨床検査値では、薬剤起因と考えられる変動は認められなかった24),25)

      2. 17.1.19 国内第III相一般試験

        コンピューター断層撮影における造影を必要とする患者43例を対象として、本剤の240mgI/mL製剤を用いた臨床試験において、100mLで十分な診断が可能であり、有用性が認められた。副作用は43例中2例(4.7%)に軽度一過性の悪心、嘔吐が各1件ずつ認められた。臨床検査値では、薬剤起因と考えられる変動は認められなかった26),27)

      3. 17.1.20 国内第II相一般試験

        コンピューター断層撮影における造影を必要とする患者42例を対象として、本剤の320mgI/mL製剤を用いた臨床試験において、40~100mLで十分な診断が可能であり、有用性が認められた。副作用は42例中1例(2.4%)に軽度一過性のじん麻疹と中等度のそう痒感が各1件ずつ認められた。臨床検査値では、薬剤起因と考えられる変動は認められなかった28),29)

      4. 17.1.21 国内第III相一般試験

        コンピューター断層撮影における造影を必要とする患者44例を対象とし、本剤の320mgI/mL製剤を用いた臨床試験において、50~100mLで十分な診断が可能であり、有用性が認められた。副作用は44例中1例(2.3%)に中等度の発疹が認められた。臨床検査値では、薬剤起因と考えられる血圧上昇が1例認められた30),31)

      5. 17.1.22 国内第III相試験

        コンピューター断層撮影における造影を必要とする患者204例を対象とし、本剤の240mgI/mL製剤(シリンジ)及び320mgI/mL製剤(シリンジ)を用いた臨床試験において、造影効果について著効及び有効を併せた「有効」以上が100%、有用性について「有用」以上は99.5%(203例/204例)であった。副作用は204例中4例(2.0%)に発現し、発疹と嘔気が各2件、嘔吐が1件に認められた。臨床検査値では、薬剤起因と考えられる変動は認められなかった32),33),34)

    • 〈静脈性尿路撮影〉
      1. 17.1.23 国内第III相比較試験

        静脈性尿路撮影を必要とする患者75例を対象とし、本剤の320mgI/mL製剤47mLあるいは対照薬イオパミドール300mgI/mL製剤50mLを投与した比較試験において、本剤投与群の有効性評価対象症例69例では対照薬と同様の有用性が認められた。副作用は本剤投与群の安全性評価対象症例72例中1例(1.4%)で軽度一過性の悪心が認められた。臨床検査値では、薬剤起因と考えられる異常値は認められなかった35)

      2. 17.1.24 国内第III相一般試験

        静脈性尿路撮影を必要とする患者32例を対象とし、本剤の320mgI/mL製剤を用いた臨床試験において、40~100mLで十分な診断が可能であり、有用性が認められた。副作用は認められなかった。臨床検査値では、薬剤起因と考えられる変動は認められなかった36)

      3. 17.1.25 国内第III相試験

        静脈性尿路撮影を必要とする患者61例を対象とし、本剤の320mgI/mL製剤(シリンジ)を用いた臨床試験において、造影効果について著効及び有効を併せた「有効」以上は95.1%であった。
        副作用は61例中2例(3.3%)に発現し、中等度の発疹、軽度の嘔気が各1件に認められた。臨床検査値では、薬剤起因と考えられる変動は認められなかった37)

    • 〈腹部コンピューター断層造影〉
      1. 17.1.26 国内第III相試験

        腹部腫瘍が疑われる患者143例(肝領域71例、膵領域72例)を対象とした腹部コンピューター断層造影において、本剤の350mgI/mL製剤あるいは対照薬イオヘキソール300mgI/mL製剤を投与した二重盲検比較試験を実施した。本剤投与群72例(肝領域36例、膵領域36例)の有効性評価対象症例68例(肝領域34例、膵領域34例)では対照薬と同様の有用性が認められた。副作用は安全性評価対象72例中9例(12.5%)13件に発現し、発疹2件、そう痒感、薬疹、湿疹、頭痛、腹痛、上腹部痛、下痢、悪心、注射部位漏出、血中尿酸増加、尿中蛋白陽性が各1件に認められた。

    17.2 製造販売後調査等

    1. 17.2.1 遅発性副作用

      イオベルソール注射液の副作用評価の対象となった10,745例中、認められた副作用189例(255件)のうち投与1時間以後に認められた遅発性副作用は以下のとおりであった。

      副作用症状

      1~<3時間

      3~<6時間

      6~<24時間

      24時間~

      過敏症

      発疹

      1(1)

      1(1)

      2

      6(2)

      そう痒感

      1

      1(1)

      じん麻疹

      2

      1

      1

      潮紅

      1

      湿疹

      1(1)

      循環器

      血圧低下

      1

      消化器

      嘔気

      2(2)

      2

      嘔吐

      1(1)

      2

      下痢

      1(1)

      腹痛

      1(1)

      上腹部痛

      1(1)

      精神神経系

      頭痛

      1(1)

      1(1)

      1(1)

      その他

      浮腫・腫脹等

      3(1)

      4

      注1:臨床検査値の異常は除く
      注2:( )内は臨床試験からの件数。( )の記載がない場合は、臨床試験で認められなかった事を意味する。
      注3:臨床試験の内訳(承認までに実施した臨床試験1,169例(初回承認時904例、シリンジ輸入承認時265例)、及び効能追加承認時72例)
      注4:副作用評価対象10,745例の内訳(使用成績調査9,504例、注3の臨床試験1,241例)

    17.3 その他

    1. 17.3.1 甲状腺機能検査成績に及ぼす影響

      ヨード含有造影剤が甲状腺機能検査成績に影響を与えることが知られているため、本剤についてもその影響を健康成人男性(8人)を対象として本剤の320mgI/mL製剤を用いた臨床試験において、甲状腺放射性ヨード摂取率を主に検討した。副作用は認められなかった。臨床検査値では、薬剤起因と考えられる変動は認められなかった。放射性ヨード摂取検査値は、投与2週間後に3h RAIUで3週間後には24h RAIUで投与前値に比べて軽度の変化が認められた(p<0.05)。これらの変化は前値に復するには4週間要した。従って、本剤投与後1ヵ月間は甲状腺放射性ヨード摂取率検査を避けることが良いと判断された38)

    18. 薬効薬理

    18.1 測定法

    ヨードの有する高いX線吸収能により、ヨード造影剤を血液中に注入することで、血管と周囲臓器とのコントラスト差を作り分解能を高める。X線造影剤の造影効果は、撮影部位におけるヨード濃度に依存する。

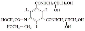
    19. 有効成分に関する理化学的知見

    一般的名称

    イオべルソール(ioversol)

    化学名

    (±)-N,N'-bis(2, 3-dihydroxypropyl)-5-[N-(2-hydroxyethyl)glycolamido]-2, 4 , 6-triiodoisophthalamide

    分子式

    C18H24I3N3O9

    分子量

    807.11

    性状

    白色の粉末で、においはない。水に極めて溶けやすく、N,N-ジメチルホルムアミドに溶けやすく、エタノール(95)にやや溶けにくく、アセトニトリルに極めて溶けにくく、ジエチルエーテルにほとんど溶けない。

    化学構造式

    分配係数

    4×10-4(オクタノール-水系、20℃)

    20. 取扱い上の注意

    外箱開封後は遮光にて保存すること。

    22. 包装

    • 〈オプチレイ320注20mL〉

      5バイアル

    • 〈オプチレイ320注50mL〉

      5バイアル

    • 〈オプチレイ320注100mL〉

      5バイアル

    • 〈オプチレイ350注20mL〉

      5バイアル

    • 〈オプチレイ350注50mL〉

      5バイアル

    • 〈オプチレイ350注100mL〉

      5バイアル

    23. 主要文献

    1) Coveney JR, et al.:Invest Radiol. 1989;24:S23-S27

    2) 泉二奈緒美 ほか:医薬品研究. 1991;22:209-219

    3) 宍戸亮 ほか:臨床医薬. 1990;6:677-689

    4) 久留裕 ほか:臨床医薬. 1990;6:3-12

    5) 久留裕 ほか:医学のあゆみ. 1990;154:787-801

    6) 松山正也 ほか:日本医学放射線学会雑誌. 1990;50:620-636

    7) 森本静夫 ほか:日本医学放射線学会雑誌. 1990;50:1087-1101

    8) 木村元政 ほか:臨床医薬. 1990;6:13-22

    9) 松枝清 ほか:臨床医薬. 1990;6:23-29

    10) 小川健二 ほか:臨床医薬. 1990;6:31-42

    11) 小川健二 ほか:選択的腹部血管撮影におけるIoversol350の臨床試験(予備)

    12) 井戸邦雄 ほか:日本脈管学会. 1990;30:1101-1108

    13) 淀野啓 ほか:臨床医薬. 1990;6:43-52

    14) 田島廣之 ほか:日本脈管学会. 1990;30:1117-1124

    15) 田島廣之 ほか:日本脈管学会. 1990;30:1125-1129

    16) 太田光重 ほか:臨牀と研究. 1989;66:319-325

    17) 福岡治仁 ほか:臨床医薬. 1990;6:53-61

    18) 大久保敏之 ほか:臨床医薬. 1990;6:63-72

    19) 石橋忠司 ほか:臨床医薬. 1990;6:73-82

    20) 太田光重 ほか:臨床医薬. 1990;6:83-91

    21) 石口恒男 ほか:臨床医薬. 1990;6:93-98

    22) 水口和夫 ほか:臨床医薬. 1990;6:99-108

    23) 佛坂博正 ほか:臨床医薬. 1990;6:109-114

    24) 河野通雄 ほか:臨床医薬. 1990;6:127-135

    25) 安心院朗 ほか:臨床医薬. 1990;6:115-126

    26) 宮坂和男 ほか:臨床医薬. 1990;6:143-151

    27) 新里仁哲 ほか:臨床医薬. 1990;6:137-141

    28) 久留裕 ほか:臨床医薬. 1990;6:153-161

    29) 鈴木正行 ほか:臨床医薬. 1990;6:163-171

    30) 関恒明 ほか:臨床医薬. 1990;6:173-180

    31) 津田正洋 ほか:臨床医薬. 1990;6:181-187

    32) 井筒睦 ほか:薬理と治療. 1995;23(3):755-763

    33) 村上省吾 ほか:薬理と治療. 1995;23(2):511-520

    34) 朝戸幹雄 ほか:薬理と治療. 1995;23(2):521-529

    35) 徳永仰 ほか:臨床医薬. 1990;6:1639-1654

    36) 梶田明義 ほか:臨床医薬. 1990;6:189-198

    37) 野坂俊介 ほか:基礎と臨床. 1995;29(3):797-807

    38) 石井淳 ほか:臨床医薬. 1990;6:691-707

    24. 文献請求先及び問い合わせ先

    ゲルベ・ジャパン株式会社

    〒102-0083 東京都千代田区麹町6丁目4番6号

    フリーダイヤル 0120-693-180

    26. 製造販売業者等

    26.1 製造販売元

    ゲルベ・ジャパン株式会社

    東京都千代田区麹町6丁目4番6号

    〒100-0013 東京都千代田区霞が関3-3-2 新霞が関ビル

    画面を閉じる

    Copyright © Pharmaceuticals and Medical Devices Agency, All Rights reserved.