医療用医薬品 詳細表示

リスペリドン錠0.5mg「クニヒロ」/リスペリドン錠1mg「クニヒロ」/リスペリドン錠2mg「クニヒロ」/リスペリドン錠3mg「クニヒロ」

処方せん医薬品

添付文書番号
企業コード
作成又は改訂年月
日本標準商品分類番号
薬効分類名
承認等
一般的名称
2.禁忌(次の患者には投与しないこと)
3.組成・性状
3.1組成
3.2製剤の性状
4.効能又は効果
6.用法及び用量
7.用法及び用量に関連する注意
8.重要な基本的注意
9.特定の背景を有する患者に関する注意
9.1合併症・既往歴等のある患者
9.2腎機能障害患者
9.3肝機能障害患者
9.5妊婦
9.6授乳婦
9.7小児等
9.8高齢者
10.相互作用
10.1併用禁忌(併用しないこと)
10.2併用注意(併用に注意すること)
11.副作用
11.1重大な副作用
11.2その他の副作用
13.過量投与
14.適用上の注意
15.その他の注意
15.1臨床使用に基づく情報
15.2非臨床試験に基づく情報
16.薬物動態
16.1血中濃度
16.3分布
16.4代謝
16.5排泄
16.6特定の背景を有する患者
16.7薬物相互作用
17.臨床成績
17.1有効性及び安全性に関する試験
18.薬効薬理
18.1作用機序
19.有効成分に関する理化学的知見
20.取扱い上の注意
22.包装
23.主要文献
24.文献請求先及び問い合わせ先
26.製造販売業者等

リスペリドン錠0.5mg「クニヒロ」/リスペリドン錠1mg「クニヒロ」/リスペリドン錠2mg「クニヒロ」/リスペリドン錠3mg「クニヒロ」

添付文書番号

1179038F1180_3_12

企業コード

270029

作成又は改訂年月

2024年11月改訂(第2版)
2024年3月改訂(第1版)

日本標準商品分類番号

871179

薬効分類名

抗精神病剤

承認等

リスペリドン錠0.5mg「クニヒロ」

販売名コード

YJコード

1179038F4065

販売名英語表記

Risperidone Tablets 0.5mg「KUNIHIRO」

承認番号等

承認番号

21900AMX00282000

販売開始年月

2011年10月

貯法・有効期間

有効期間

3年

基準名

日本薬局方

リスペリドン錠

リスペリドン錠1mg「クニヒロ」

販売名コード

YJコード

1179038F1180

販売名英語表記

Risperidone Tablets 1mg「KUNIHIRO」

承認番号等

承認番号

21900AMX00283000

販売開始年月

2011年10月

貯法・有効期間

貯法

室温保存(湿気を避けて下さい)

有効期間

3年

基準名

日本薬局方

リスペリドン錠

リスペリドン錠2mg「クニヒロ」

販売名コード

YJコード

1179038F2186

販売名英語表記

Risperidone Tablets 2mg「KUNIHIRO」

承認番号等

承認番号

21900AMX00284000

販売開始年月

2011年10月

貯法・有効期間

貯法

室温保存(湿気を避けて下さい)

有効期間

3年

基準名

日本薬局方

リスペリドン錠

リスペリドン錠3mg「クニヒロ」

販売名コード

YJコード

1179038F3174

販売名英語表記

Risperidone Tablets 3mg「KUNIHIRO」

承認番号等

承認番号

22000AMX01267000

販売開始年月

2011年10月

貯法・有効期間

貯法

室温保存(湿気を避けて下さい)

有効期間

3年

基準名

日本薬局方

リスペリドン錠

一般的名称

リスペリドン

2. 禁忌(次の患者には投与しないこと)

  1. 2.1 昏睡状態の患者[昏睡状態を悪化させるおそれがある。]
  2. 2.2 バルビツール酸誘導体等の中枢神経抑制剤の強い影響下にある患者[中枢神経抑制作用が増強されることがある。]
  3. 2.3 アドレナリンを投与中の患者(アドレナリンをアナフィラキシーの救急治療、又は歯科領域における浸潤麻酔もしくは伝達麻酔に使用する場合を除く)
  4. 2.4 本剤の成分及びパリペリドンに対し過敏症の既往歴のある患者

3. 組成・性状

3.1 組成

リスペリドン錠0.5mg「クニヒロ」

有効成分日本薬局方
リスペリドン0.5mg  
添加剤乳糖水和物、結晶セルロース、ヒドロキシプロピルスターチ、ヒプロメロース、ラウリル硫酸ナトリウム、軽質無水ケイ酸、ステアリン酸マグネシウム、マクロゴール6000、酸化チタン、カルナウバロウ

リスペリドン錠1mg「クニヒロ」

有効成分日本薬局方
リスペリドン1mg  
添加剤乳糖水和物、結晶セルロース、ヒドロキシプロピルスターチ、ヒプロメロース、ラウリル硫酸ナトリウム、軽質無水ケイ酸、ステアリン酸マグネシウム、マクロゴール6000、酸化チタン、カルナウバロウ

リスペリドン錠2mg「クニヒロ」

有効成分日本薬局方
リスペリドン2mg  
添加剤乳糖水和物、結晶セルロース、ヒドロキシプロピルスターチ、ヒプロメロース、ラウリル硫酸ナトリウム、軽質無水ケイ酸、ステアリン酸マグネシウム、マクロゴール6000、酸化チタン、カルナウバロウ

リスペリドン錠3mg「クニヒロ」

有効成分日本薬局方
リスペリドン3mg  
添加剤乳糖水和物、結晶セルロース、ヒドロキシプロピルスターチ、ヒプロメロース、ラウリル硫酸ナトリウム、軽質無水ケイ酸、ステアリン酸マグネシウム、マクロゴール6000、酸化チタン、カルナウバロウ

3.2 製剤の性状

リスペリドン錠0.5mg「クニヒロ」

剤形白色の
フィルムコーティング錠
外形表面
裏面
側面
大きさ直径6.0mm
厚さ2.7mm
質量80mg
識別コードKS121

リスペリドン錠1mg「クニヒロ」

剤形白色の割線入りフィルムコーティング錠
外形表面
裏面
側面
大きさ直径6.5mm
厚さ2.9mm
質量100mg
識別コードKS122

リスペリドン錠2mg「クニヒロ」

剤形白色の
フィルムコーティング錠
外形表面
裏面
側面
大きさ直径7.0mm
厚さ3.1mm
質量130mg
識別コードKS123

リスペリドン錠3mg「クニヒロ」

剤形白色の
フィルムコーティング錠
外形表面
裏面
側面
大きさ直径8.0mm
厚さ3.9mm
質量200mg
識別コードKS125

4. 効能又は効果

    • 統合失調症

6. 用法及び用量

通常、成人にはリスペリドンとして1回1mg 1日2回より開始し、徐々に増量する。維持量は通常1日2~6mgを原則として1日2回に分けて経口投与する。なお、年齢、症状により適宜増減する。但し、1日量は12mgを超えないこと。

7. 用法及び用量に関連する注意

    1. 7.1 本剤の活性代謝物はパリペリドンであり、パリペリドンとの併用により作用が増強するおそれがあるため、本剤とパリペリドンを含有する経口製剤との併用は、避けること。

8. 重要な基本的注意

    1. 8.1 投与初期、再投与時、増量時にα交感神経遮断作用に基づく起立性低血圧があらわれることがあるので、少量から徐々に増量し、低血圧があらわれた場合は減量等、適切な処置を行うこと。
    2. 8.2 眠気、注意力・集中力・反射運動能力等の低下が起こることがあるので、本剤投与中の患者には自動車の運転等危険を伴う機械の操作に従事させないよう注意すること。
    3. 8.3 本剤の投与により、高血糖や糖尿病の悪化があらわれ、糖尿病性ケトアシドーシス、糖尿病性昏睡に至ることがあるので、本剤投与中は、口渇、多飲、多尿、頻尿等の症状の発現に注意するとともに、特に糖尿病又はその既往歴あるいはその危険因子を有する患者については、血糖値の測定等の観察を十分に行うこと。,,
    4. 8.4 低血糖があらわれることがあるので、本剤投与中は、脱力感、倦怠感、冷汗、振戦、傾眠、意識障害等の低血糖症状に注意するとともに、血糖値の測定等の観察を十分に行うこと。,
    5. 8.5 本剤の投与に際し、あらかじめ上記8.3及び8.4の副作用が発現する場合があることを、患者及びその家族に十分に説明し、高血糖症状(口渇、多飲、多尿、頻尿等)、低血糖症状(脱力感、倦怠感、冷汗、振戦、傾眠、意識障害等)に注意し、このような症状があらわれた場合には、直ちに投与を中断し、医師の診察を受けるよう指導すること。,,,,
    1. 8.6 興奮、誇大性、敵意等の陽性症状を悪化させる可能性があるので観察を十分に行い、悪化がみられた場合には他の治療法に切り替えるなど適切な処置を行うこと。

9. 特定の背景を有する患者に関する注意

9.1 合併症・既往歴等のある患者

  1. 9.1.1 心・血管系疾患、低血圧、又はそれらの疑いのある患者

    一過性の血圧降下があらわれることがある。

  2. 9.1.2 不整脈の既往歴のある患者、先天性QT延長症候群の患者

    QTが延長する可能性がある。

  3. 9.1.3 パーキンソン病又はレビー小体型認知症のある患者

    悪性症候群が起こりやすくなる。また、錐体外路症状の悪化に加えて、錯乱、意識レベルの低下、転倒を伴う体位不安定等の症状が発現するおそれがある。

  4. 9.1.4 てんかん等の痙攣性疾患又はこれらの既往歴のある患者

    痙攣閾値を低下させるおそれがある。

  5. 9.1.5 自殺企図の既往及び自殺念慮を有する患者

    症状を悪化させるおそれがある。

  6. 9.1.6 糖尿病又はその既往歴のある患者、あるいは糖尿病の家族歴、高血糖、肥満等の糖尿病の危険因子を有する患者

    血糖値が上昇することがある。,,

  7. 9.1.7 脱水・栄養不良状態等を伴う身体的疲弊のある患者

    悪性症候群が起こりやすい。

  8. 9.1.8 不動状態、長期臥床、肥満、脱水状態等の患者

    抗精神病薬において、肺塞栓症、静脈血栓症等の血栓塞栓症が報告されている。

9.2 腎機能障害患者

本剤の半減期の延長及びAUCが増大することがある。

9.3 肝機能障害患者

肝障害を悪化させるおそれがある。,

9.5 妊婦

妊婦又は妊娠している可能性のある女性には、治療上の有益性が危険性を上回ると判断される場合にのみ投与すること。妊娠後期に抗精神病薬が投与されている場合、新生児に哺乳障害、傾眠、呼吸障害、振戦、筋緊張低下、易刺激性等の離脱症状や錐体外路症状があらわれたとの報告がある。

9.6 授乳婦

治療上の有益性及び母乳栄養の有益性を考慮し、授乳の継続又は中止を検討すること。ヒトで乳汁移行が認められている1)

9.7 小児等

13歳未満の小児等を対象とした臨床試験は実施していない。

9.8 高齢者

患者の状態を観察しながら少量(1回0.5mg)から投与するなど、慎重に投与すること。高齢者では錐体外路症状等の副作用があらわれやすく、また、腎機能障害を有する患者では最高血漿中濃度が上昇し、半減期が延長することがある。

10. 相互作用

  • 本剤は主としてCYP2D6で代謝される。また、一部CYP3A4の関与も示唆される。

10.1 併用禁忌(併用しないこと)

薬剤名等臨床症状・措置方法機序・危険因子

アドレナリン
(アナフィラキシーの救急治療、又は歯科領域における浸潤麻酔もしくは伝達麻酔に使用する場合を除く)

  • ボスミン

アドレナリンの作用を逆転させ、血圧降下を起こすことがある。

アドレナリンはアドレナリン作動性α、β受容体の刺激剤であり、本剤のα受容体遮断作用によりβ受容体刺激作用が優位となり、血圧降下作用が増強される。

10.2 併用注意(併用に注意すること)

薬剤名等臨床症状・措置方法機序・危険因子

中枢神経抑制剤(バルビツール酸誘導体等)

相互に作用を増強することがあるので、減量するなど慎重に投与すること。

本剤及びこれらの薬剤の中枢神経抑制作用による。

ドパミン作動薬

相互に作用を減弱することがある。

本剤はドパミン遮断作用を有していることから、ドパミン作動性神経において作用が拮抗する可能性がある。

降圧薬

降圧作用が増強することがある。

本剤及びこれらの薬剤の降圧作用による。

アルコール

相互に作用を増強することがある。

アルコールは中枢神経抑制作用を有する。

CYP2D6を阻害する薬剤(パロキセチン2)等)

本剤及び活性代謝物の血中濃度が上昇することがある。

これらの薬剤の薬物代謝酵素阻害作用による。

CYP3A4を誘導する薬剤(カルバマゼピン3)、フェニトイン、リファンピシン4)、フェノバルビタール)

本剤及び活性代謝物の血中濃度が低下することがある。

これらの薬剤のCYP3A4誘導作用による。

CYP3A4を阻害する薬剤(イトラコナゾール5)等)

本剤及び活性代謝物の血中濃度が上昇することがある。

これらの薬剤のCYP3A4阻害作用による。

QT延長を起こすことが知られている薬剤

QT延長があらわれるおそれがある。

QT延長作用が増強するおそれがある。

アドレナリン含有歯科麻酔剤

  • リドカイン・アドレナリン

血圧降下を起こすことがある。

アドレナリンはアドレナリン作動性α、β受容体の刺激剤であり、本剤のα受容体遮断作用によりβ受容体刺激作用が優位となり、血圧降下作用が増強されるおそれがある。

11. 副作用

次の副作用があらわれることがあるので、観察を十分に行い、異常が認められた場合には投与を中止するなど適切な処置を行うこと。
「重大な副作用」及び「その他の副作用」の項における副作用の頻度については、統合失調症患者を対象とした結果に基づき算出した。

11.1 重大な副作用

  1. 11.1.1 悪性症候群(頻度不明)

    無動緘黙、強度の筋強剛、嚥下困難、頻脈、血圧の変動、発汗等が発現し、それに引き続き発熱がみられる場合は、投与を中止し、体冷却、水分補給等の全身管理とともに適切な処置を行うこと。本症発症時には、白血球の増加や血清CKの上昇がみられることが多く、また、ミオグロビン尿を伴う腎機能の低下がみられることがある。なお、高熱が持続し、意識障害、呼吸困難、循環虚脱、脱水症状、急性腎障害へと移行し、死亡することがある。,

  2. 11.1.2 遅発性ジスキネジア(0.55%)

    長期投与により、口周部等の不随意運動があらわれ、投与中止後も持続することがある。

  3. 11.1.3 麻痺性イレウス(頻度不明)

    腸管麻痺(食欲不振、悪心・嘔吐、著しい便秘、腹部の膨満あるいは弛緩及び腸内容物のうっ滞等の症状)を来し、麻痺性イレウスに移行することがあるので、腸管麻痺があらわれた場合には、投与を中止するなど適切な処置を行うこと。なお、本剤は動物実験(イヌ)で制吐作用を有することから、悪心・嘔吐を不顕性化する可能性があるので注意すること。

  4. 11.1.4 抗利尿ホルモン不適合分泌症候群(SIADH)(頻度不明)

    低ナトリウム血症、低浸透圧血症、尿中ナトリウム排泄量の増加、高張尿、痙攣、意識障害等を伴う抗利尿ホルモン不適合分泌症候群(SIADH)があらわれることがある。

  5. 11.1.5 肝機能障害、黄疸(頻度不明)

    AST、ALT、γ–GTPの上昇等を伴う肝機能障害、黄疸があらわれることがある。,

  6. 11.1.6 横紋筋融解症(頻度不明)

    筋肉痛、脱力感、CK上昇、血中及び尿中ミオグロビン上昇を特徴とする横紋筋融解症があらわれることがある。また、横紋筋融解症による急性腎障害の発症に注意すること。

  7. 11.1.7 不整脈(頻度不明)

    心房細動、心室性期外収縮等があらわれることがある。

  8. 11.1.8 脳血管障害(頻度不明)
  9. 11.1.9 高血糖、糖尿病性ケトアシドーシス、糖尿病性昏睡(頻度不明)

    高血糖や糖尿病の悪化があらわれ、糖尿病性ケトアシドーシス、糖尿病性昏睡に至ることがあるので、本剤投与中は、口渇、多飲、多尿、頻尿等の症状の発現に注意するとともに、血糖値の測定を行うなど十分な観察を行い、異常が認められた場合には、投与を中止し、インスリン製剤の投与等の適切な処置を行うこと。,,

  10. 11.1.10 低血糖(頻度不明)

    脱力感、倦怠感、冷汗、振戦、傾眠、意識障害等の低血糖症状が認められた場合には、投与を中止し適切な処置を行うこと。,

  11. 11.1.11 無顆粒球症、白血球減少(頻度不明)
  12. 11.1.12 肺塞栓症、深部静脈血栓症(頻度不明)

    肺塞栓症、静脈血栓症等の血栓塞栓症が報告されているので、息切れ、胸痛、四肢の疼痛、浮腫等が認められた場合には、投与を中止するなど適切な処置を行うこと。

  13. 11.1.13 持続勃起症(頻度不明)

    α交感神経遮断作用に基づく持続勃起症があらわれることがある。

11.2 その他の副作用

5%以上

5%未満

頻度不明

感染症及び寄生虫症

気管支炎、鼻咽頭炎、咽頭炎、肺炎、胃腸炎、感染、膀胱炎、耳感染、インフルエンザ、限局性感染、気道感染、鼻炎、副鼻腔炎、皮下組織膿瘍、尿路感染、ウイルス感染、蜂巣炎、扁桃炎、眼感染、中耳炎、爪真菌症、ダニ皮膚炎

血液及びリンパ系障害

貧血

血小板減少症、好中球減少症

免疫系障害

アナフィラキシー反応、過敏症

内分泌障害

高プロラクチン血症

代謝及び栄養障害

食欲不振

食欲亢進

高脂血症、多飲症、食欲減退、高尿酸血症、水中毒

精神障害

不眠症、不安

激越、うつ病、幻覚、躁病、妄想、緊張、錯乱状態、リビドー亢進

抑うつ症状、被害妄想、精神症状、睡眠障害、自殺企図、徘徊、リビドー減退、神経過敏、気力低下、情動鈍麻、無オルガズム症、悪夢、睡眠時遊行症

神経系障害注1)

アカシジア、振戦、構音障害、傾眠、めまい・ふらつき

頭痛、ジストニー、鎮静、運動低下、立ちくらみ、ジスキネジア、無動、しびれ感、痙攣、仮面状顔貌、頭部不快感、錯感覚

パーキンソニズム、錐体外路障害、精神運動亢進、注意力障害、構語障害、よだれ、嗜眠、意識レベルの低下、会話障害(舌のもつれ等)、味覚異常、記憶障害、てんかん、末梢性ニューロパチー、協調運動異常、過眠症、弓なり緊張、失神、平衡障害、刺激無反応、運動障害、意識消失

眼障害

調節障害、視力低下

眼球回転発作、眼瞼痙攣、眼脂、結膜炎、網膜動脈閉塞、霧視、眼充血、眼瞼縁痂皮、眼乾燥、流涙増加、羞明、緑内障、術中虹彩緊張低下症候群

耳及び迷路障害

耳痛、回転性めまい、耳鳴

心臓障害注2)

頻脈、動悸、心室性期外収縮、上室性期外収縮

洞性頻脈、房室ブロック、右脚ブロック、徐脈、左脚ブロック、洞性徐脈

血管障害注3)

潮紅

起立性低血圧、低血圧、高血圧、末梢冷感、末梢循環不全

呼吸器、胸郭及び縦隔障害

鼻閉

呼吸困難、咳嗽、鼻漏、副鼻腔うっ血、睡眠時無呼吸症候群、口腔咽頭痛、鼻出血、肺うっ血、喘鳴、嚥下性肺炎、発声障害、気道うっ血、ラ音、呼吸障害、過換気

胃腸障害

流涎過多、便秘、悪心、嘔吐

嚥下障害、腹部膨満、胃不快感、下痢、腹痛、消化不良、上腹部痛

口内乾燥、胃炎、唾液欠乏、腸閉塞、膵炎、歯痛、糞塊充塞、便失禁、口唇炎、舌腫脹

肝胆道系障害

肝機能異常

皮膚及び皮下組織障害

多汗症、発疹

そう痒症、湿疹、過角化、紅斑、ざ瘡、脱毛症、血管浮腫、皮膚乾燥、頭部粃糠疹、脂漏性皮膚炎、皮膚変色、皮膚病変、蕁麻疹、水疱

筋骨格系及び結合組織障害

筋固縮

斜頚、筋攣縮、関節硬直

筋肉痛、筋力低下、背部痛、四肢痛、関節痛、姿勢異常、筋骨格痛、頚部痛、筋骨格系胸痛、筋痙縮

腎及び尿路障害

排尿困難、頻尿

尿閉、尿失禁

生殖系及び乳房障害

月経障害

乳汁漏出症、射精障害

無月経、不規則月経、女性化乳房、性機能不全、乳房不快感、勃起不全、月経遅延、希発月経、腟分泌物異常、乳房腫大、乳房分泌

全身障害及び投与局所様態

易刺激性、倦怠感、口渇

無力症、疲労、歩行障害、胸部不快感、発熱

気分不良、胸痛、顔面浮腫、末梢性浮腫、疼痛、不活発、浮腫、低体温、インフルエンザ様疾患、悪寒、薬剤離脱症候群

臨床検査

ALT増加、CK増加、血圧低下、血中トリグリセリド増加、γ-GTP増加、体重増加、体重減少

AST増加、血中クレアチニン増加、血中ブドウ糖増加、LDH増加、血中プロラクチン増加、血中ナトリウム減少、血中尿素増加、心電図異常注2)、心電図QT延長注2)、好酸球数増加、グリコヘモグロビン増加、血小板数減少、総蛋白減少、白血球数減少、白血球数増加、尿中蛋白陽性、ALP増加、ヘマトクリット減少、心電図T波逆転注2)、血中尿酸増加、尿中血陽性、肝酵素上昇、尿糖陽性

傷害、中毒及び処置合併症

転倒・転落、引っかき傷、処置による疼痛

注1)症状があらわれた場合には必要に応じて減量又は抗パーキンソン薬の投与等、適切な処置を行うこと。注2)心電図に異常があらわれた場合には投与を中止するなど適切な処置を行うこと。注3)増量は徐々に行うなど慎重に投与すること。

13. 過量投与

  1. 13.1 徴候、症状

    一般に報告されている徴候、症状は、本剤の作用が過剰に発現したものであり、傾眠、鎮静、頻脈、低血圧、QT延長、錐体外路症状等である。

14. 適用上の注意

14.1 薬剤交付時の注意

PTP包装の薬剤はPTPシートから取り出して服用するよう指導すること。PTPシートの誤飲により、硬い鋭角部が食道粘膜へ刺入し、更には穿孔をおこして縦隔洞炎等の重篤な合併症を併発することがある。

15. その他の注意

15.1 臨床使用に基づく情報

  1. 15.1.1 本剤による治療中、原因不明の突然死が報告されている。
  2. 15.1.2 *外国で実施された高齢認知症患者を対象とした17の臨床試験において、本剤を含む非定型抗精神病薬投与群はプラセボ投与群と比較して死亡率が1.6~1.7倍高かったとの報告がある。また、外国での疫学調査において、定型抗精神病薬も非定型抗精神病薬と同様に死亡率の上昇に関与するとの報告がある。
  3. 15.1.3 本剤を含むα1アドレナリン拮抗作用のある薬剤を投与された患者において、白内障手術中に術中虹彩緊張低下症候群が報告されている。術中・術後に、眼合併症を生じる可能性があるので、術前に眼科医に本剤投与歴について伝えるよう指導すること。

15.2 非臨床試験に基づく情報

  1. 15.2.1 本剤は動物実験(イヌ)で制吐作用を有することから、他の薬剤に基づく中毒、腸閉塞、脳腫瘍等による嘔吐症状を不顕性化する可能性がある。
  2. 15.2.2 げっ歯類(マウス、ラット)に臨床常用量の4.7~75倍(0.63~10mg/kg/日)を18~25ヵ月間経口投与したがん原性試験において、0.63mg/kg/日以上で乳腺腫瘍(マウス、ラット)、2.5mg/kg/日以上で下垂体腫瘍(マウス)及び膵臓内分泌部腫瘍(ラット)の発生頻度の上昇が報告されている。これらの所見は、プロラクチンに関連した変化として、げっ歯類ではよく知られている。6)

16. 薬物動態

16.1 血中濃度

  1. 16.1.1 生物学的同等性試験

    リスペリドン錠0.5mg「クニヒロ」、リスペリドン錠1mg「クニヒロ」、リスペリドン錠2mg「クニヒロ」又はリスペリドン錠3mg「クニヒロ」と各リスパダール錠を、クロスオーバー法によりそれぞれ2錠、1錠、1錠又は1錠(リスペリドンとして1mg、リスペリドンとして1mg、リスペリドンとして2mg又はリスペリドンとして3mg)を健康成人男子に絶食下単回経口投与して血漿中未変化体濃度を測定し、得られた薬物動態パラメータ(AUC、Cmax)について90%信頼区間法にて統計解析を行った結果、log(0.80)~log(1.25)の範囲内であり、両剤の生物学的同等性が確認された。7)

    血漿中リスペリドン濃度の推移(健康成人、0.5mg単回経口投与)
    血中濃度パラメータ (健康成人、リスペリドン錠0.5mg 2錠、単回経口投与)

    判定パラメータ

    参考パラメータ

    AUC0-24hr
    (ng・hr/mL)

    Cmax
    (ng/mL)

    Tmax
    (hr)

    t1/2
    (hr)

    リスペリドン錠
    0.5mg「クニヒロ」
    (2錠)

    30.4±20.1

    5.4±3.3

    1.6±0.4

    4.3±2.2

    リスパダール錠
    1mg(1錠)

    32.1±21.0

    5.4±2.6

    1.3±0.3

    5.0±2.0

    (Mean±S.D., n=19)

    血漿中リスペリドン濃度の推移(健康成人、1mg単回経口投与)
    血中濃度パラメータ (健康成人、リスペリドン錠1mg 1錠、単回経口投与)

    判定パラメータ

    参考パラメータ

    AUC0-24hr
    (ng・hr/mL)

    Cmax
    (ng/mL)

    Tmax
    (hr)

    t1/2
    (hr)

    リスペリドン錠
    1mg「クニヒロ」
    (1錠)

    26.8±20.9

    4.6±2.3

    1.7±0.7

    4.1±2.3

    リスパダール錠
    1mg(1錠)

    24.5±18.5

    4.8±2.5

    1.2±0.5

    3.6±2.4

    (Mean±S.D., n=19)

    血漿中リスペリドン濃度の推移(健康成人、2mg単回経口投与)
    血中濃度パラメータ (健康成人、リスペリドン錠2mg 1錠、単回経口投与)

    判定パラメータ

    参考パラメータ

    AUC0-24hr
    (ng・hr/mL)

    Cmax
    (ng/mL)

    Tmax
    (hr)

    t1/2
    (hr)

    リスペリドン錠
    2mg「クニヒロ」
    (1錠)

    42.3±27.6

    8.4±4.6

    1.8±0.7

    4.3±4.7

    リスパダール錠
    2mg(1錠)

    45.0±28.7

    8.6±4.2

    1.6±1.1

    3.3±1.6

    (Mean±S.D., n=24)

    血漿中リスペリドン濃度の推移(健康成人、3mg単回経口投与)
    血中濃度パラメータ (健康成人、リスペリドン錠3mg 1錠、単回経口投与)

    判定パラメータ

    参考パラメータ

    AUC0-24hr
    (ng・hr/mL)

    Cmax
    (ng/mL)

    Tmax
    (hr)

    t1/2
    (hr)

    リスペリドン錠
    3mg「クニヒロ」
    (1錠)

    64.4±59.2

    12.1±5.6

    1.5±0.9

    3.6±1.6

    リスパダール錠
    3mg(1錠)

    59.8±44.6

    13.1±5.1

    1.5±1.2

    3.1±1.3

    (Mean±S.D., n=20)

    血漿中濃度並びにAUC、Cmax等のパラメータは、被験者の選択、体液の採取回数・時間等の試験条件によって異なる可能性がある。

16.3 分布

  1. 16.3.1 体組織への分布(参考:ラットでのデータ)

    ラットにおける14C–リスペリドンの単回投与後の組織内放射能濃度は、ほとんどの組織において投与2時間以内に最高値に達し、その後の消失は血漿中からの消失と同様な傾向を示した。
    放射能濃度が最も高かった肝臓では血漿中放射能濃度の12~22倍程度あり、胃、小腸、副腎、腎臓及び各種腺組織等でも高い放射能濃度が認められた8)
    妊娠ラットに14C–リスペリドンを投与した時の胎児中放射能濃度は、血漿中濃度の約1/2であった9)

  2. 16.3.2 血液–脳関門通過性

    健康成人にリスペリドン1mg錠を単回投与し、脳内におけるドパミンD2及びセロトニン5–HT2受容体占拠率について検討した結果、各受容体に結合親和性を有することが確認された。
    したがって、リスペリドンは血液–脳関門を通過することが示唆された。10)

  3. 16.3.3 血漿蛋白結合率

    リスペリドン:約90.0%(in vitro、平衡透析法、10ng/mL)
    9-ヒドロキシリスペリドン:約77.4%(in vitro、平衡透析法、50ng/mL)11)

16.4 代謝

健康成人にリスペリドンを経口投与した場合、主に肝臓で代謝されると推定され、主代謝物は9-ヒドロキシリスペリドンであった12)
初回通過効果の有無及びその割合:あり(割合は不詳)
代謝物の活性の有無:主代謝物9-ヒドロキシリスペリドンの活性はin vitro及びin vivoの薬理試験においてリスペリドン未変化体とほぼ同程度かやや弱いことが示されている13),14)
代謝酵素(チトクロームP450)の分子種:CYP2D6、CYP3A4

16.5 排泄

健康成人にリスペリドン1mg錠及び2mg錠を経口投与した場合、投与後72時間までに排泄された尿中未変化体は約2%であり、主代謝物の9–ヒドロキシリスペリドンは約20%であった15)。外国人でのデータでは、健康成人に14C–リスペリドン1mgを単回経口投与した場合、投与後7日間までに放射活性の14%が糞中に、70%が尿中に排泄された12)

16.6 特定の背景を有する患者

  1. 16.6.1 高齢者及び腎機能障害患者での成績

    健康成人、高齢者、肝機能障害患者及び腎機能障害患者にリスペリドン1mg錠を単回経口投与したとき、活性成分(リスペリドン+9-ヒドロキシリスペリドン)の薬物動態は、健康成人と比して、中等度腎機能障害患者(クレアチニンクリアランス:30~60mL/min/1.73m2)でt1/2に35%の延長及びAUCに2.7倍の増大、重度腎機能障害患者(クレアチニンクリアランス:10~29mL/min/1.73m2)でt1/2に55%の延長及びAUCに2.6倍の増大、高齢者でt1/2に30%の延長及びAUCに1.4倍の増大が認められた16)(外国人データ)。,,,

16.7 薬物相互作用

健康成人、健康高齢者又は患者(統合失調症、統合失調感情障害、双極性障害、精神病)を対象とした薬物相互作用の検討結果を以下に示す(外国人データ)。

  1. 16.7.1 リスペリドンの薬物動態に対する他剤の影響
    1. (1) カルバマゼピン

      CYP3A4誘導作用を有するカルバマゼピン(反復投与)とリスペリドン(6mg/日反復投与)を21日間併用したときの活性成分(リスペリドン+9-ヒドロキシリスペリドン)の血漿中濃度は約50%減少した17)

    2. (2) シメチジン及びラニチジン

      健康成人にCYP3A4及びCYP2D6阻害作用を有するシメチジン(400 mg/回、2回/日反復投与)とリスペリドン(1 mg 単回投与)を併用したときの活性成分のCmax及びAUCはそれぞれ1.3及び1.1倍増加した。また、ラニチジン(150 mg/回、2回/日反復投与 )と併用したとき、それぞれ1.4及び1.2倍増加した。18)

    3. (3) パロキセチン

      統合失調症患者12例にCYP2D6阻害作用を有するパロキセチン(10、20及び40mg/日反復投与)とリスペリドン(4mg/日反復投与)を併用したとき、活性成分の定常状態におけるトラフ値がそれぞれ1.3、1.6及び1.8倍上昇した2)

    4. (4) セルトラリン

      統合失調症又は統合失調感情障害患者11例にCYP2D6阻害作用を有するセルトラリン(50mg/日反復投与)とリスペリドン(4~6mg/日反復投与)を併用したとき、活性成分の血漿中濃度に併用薬は影響を及ぼさなかった。また、セルトラリンを100mg/日に増量した患者では、活性成分の定常状態におけるトラフ値が15%上昇し、150mg/日に増量した2例では、それぞれ36%及び52%上昇した。19)

    5. (5) フルボキサミン

      統合失調症患者11例にCYP3A4及びCYP2D6阻害作用を有するフルボキサミン(100mg/日反復投与)とリスペリドン(3~6mg/日反復投与)を併用したとき、活性成分の血漿中濃度に併用薬は影響を及ぼさなかった。また、フルボキサミンを200mg/日に増量した患者では、リスペリドンの定常状態におけるトラフ値が86%上昇したが、9-ヒドロキシリスペリドンの血漿中濃度に影響を及ぼさなかった。20)

    6. (6) イトラコナゾール

      統合失調症患者19例にCYP3A4阻害作用を有するイトラコナゾール(200mg/日反復投与)とリスペリドン(2~8mg/日反復投与)を併用したときの活性成分の定常状態におけるトラフ値は65%上昇した5)

    7. (7) ベラパミル

      健康男性成人にP糖蛋白阻害作用を有するベラパミル(240mg反復投与)とリスペリドン(1mg単回投与)を併用したときの活性成分のCmax及びAUCはそれぞれ1.3倍及び1.4倍増加した21)

    8. (8) その他

      統合失調症患者にCYP2D6の基質であるアミトリプチリンとリスペリドンを併用したとき、健康成人にCYP3A4阻害作用を有するエリスロマイシンとリスペリドンを併用したとき、双極性障害患者にCYP3A4の基質であるトピラマートとリスペリドンを併用したとき、健康高齢者にCYP2D6及びCYP3A4の基質であるガランタミンとリスペリドンを併用したとき、健康成人にCYP2D6及びCYP3A4の基質であるドネペジルとリスペリドンを併用したとき、それぞれ活性成分の薬物動態に併用薬の影響は認められなかった18)

  2. 16.7.2 他剤の薬物動態に対するリスペリドンの影響

    健康高齢者にジゴキシンとリスペリドン(0.25 mg/回 2回/日反復投与)を併用したとき、双極I型障害患者にバルプロ酸(1000 mg/日反復投与)とリスペリドン(4 mg/日反復投与)を併用したとき、リチウムとリスペリドン(3 mg/回 2回/日反復投与)を併用したとき、それぞれの薬剤の薬物動態に併用の影響は認められなかった。リスペリドンはカルバマゼピン、エリスロマイシン、トピラマート、ガランタミン及びドネペジルの血漿中濃度に影響を及ぼさなかった18)

17. 臨床成績

17.1 有効性及び安全性に関する試験

    1. 17.1.1 国内臨床試験

      国内で実施された二重盲検比較試験を含む総計727例における臨床試験の結果、有効性評価対象症例722例に対する中等度改善以上の改善率は51.5%(372/722例)であった。また、二重盲検比較試験によって統合失調症に対するリスペリドンの有用性が認められている。
      安全性評価対象症例723注)例中420例(58.1%)に副作用が認められた。主なものは、アカシジア126例(17.4%)、振戦95例(13.1%)、易刺激性92例(12.7%)、不眠症87例(12.0%)、筋固縮85例(11.8%)、流涎過多81例(11.2%)であった。22),23),24),25),26),27),28),29),30),31)

      注)承認用量外のリスペリドンを投与された患者20例を含む。

18. 薬効薬理

18.1 作用機序

行動薬理並びに神経化学的実験の結果より、主としてドパミンD2受容体拮抗作用及びセロトニン5-HT2受容体拮抗作用に基づく、中枢神経系の調節によるものと考えられる32),33)

18.2 薬理作用

  1. 18.2.1 抗ドパミン作用

    ドパミンD2受容体拮抗作用を有し、ラットでアンフェタミン又はアポモルフィンにより誘発される興奮や常同行動等の行動変化を用量依存的に抑制した。その程度はハロペリドールと同等若しくはやや弱いことが示された。32)

  2. 18.2.2 抗セロトニン作用

    セロトニン5-HT2受容体拮抗作用を有し、ラットでトリプタミン及びメスカリンにより誘発される振戦や首振り運動等の行動変化を抑制した32)

  3. 18.2.3 カタレプシー惹起作用

    ラットでのカタレプシー惹起作用は、ハロペリドールより弱い。また、ラットの中脳-辺縁系(嗅結節)でのドパミンD2受容体に対する結合親和性は、錐体外路症状との関連が深いとされている線条体での親和性より高い。しかしハロペリドールでは線条体における結合親和性の方が高い。なお、セロトニン5-HT2受容体拮抗作用が線条体におけるドパミン伝達の遮断を緩和している可能性がある。32),33),34),35)

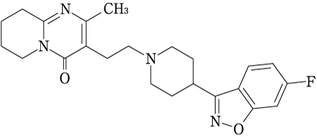
19. 有効成分に関する理化学的知見

一般的名称

リスペリドン(risperidone)

化学名

3-{2-[4-(6-Fluoro-1,2-benzoisoxazol-3-yl)piperidin-1-yl]ethyl}-2-methyl-6,7,8,9-tetrahydro-4H-pyrido[1,2-a]pyrimidin-4-one

分子式

C23H27FN4O2

分子量

410.48

性状

本品は白色~微黄白色の結晶性の粉末であり、メタノール又はエタノール(99.5)にやや溶けにくく、2-プロパノールに極めて溶けにくく、水にほとんど溶けない。

化学構造式

融点

169~173℃

20. 取扱い上の注意

  1. 20.1 湿気を避けて保管すること。
  2. 20.2 小児の手の届かない所に保管すること。

22. 包装

リスペリドン錠0.5mg「クニヒロ」:

  • 100錠(PTP:10錠×10) 
  • 500錠(バラ)

リスペリドン錠1mg「クニヒロ」:

  • 100錠(PTP:10錠×10)  
  • 500錠(バラ)

リスペリドン錠2mg「クニヒロ」:

  • 100錠(PTP:10錠×10)  
  • 500錠(バラ)

リスペリドン錠3mg「クニヒロ」:

  • 100錠(PTP:10錠×10)

23. 主要文献

1) Hill RC, et al.:J Clin Psychopharmacol. 2000; 20: 285-286

2) Saito M, et al.:J Clin Psychopharmacol. 2005; 25: 527

3) Spina E, et al.:Ther Drug Monit. 2000; 22: 481-485

4) Mahatthanatrakul W, et al.:J Clin Pharm Ther. 2007; 32: 161-167

5) Jung SM, et al.:Clin Pharmacol Ther. 2005; 78: 520

6) がん原性試験(リスパダール コンスタ筋注用:2009/4/22承認申請資料CTD2.6.6.5)

7) 皇漢堂製薬株式会社:社内資料

8) Van Beijsterveldt, L, 山下知寛, 他:基礎と臨床. 1993; 27: 3053 -3062

9) 胎盤移行の検討(リスパダール コンスタ筋注用:2009/4/22承認申請資料CTD2.6.4.4)

10) Nyberg S, et al.:Psychopharmacol. 1993; 110: 265-272

11) Mannens G, et al.:Psychopharmacol. 1994; 114: 566-572

12) Mannens G, et al.:Drug Metab and Dispos. 1993; 21: 1134-1141

13) Schotte A, et al.:Jpn J Pharmacol. 1995; 69: 399-412

14) Fang, J. et al.:Naunyn-Schmiedeberg’s Arch. Pharmacol., 1999;359:147-151

15) 石郷岡純, 他:臨床評価. 1991; 19: 93-163

16) Snoeck E, et al.:Psychopharmacol. 1995; 122: 223-229

17) グッドマン・ギルマン薬理書(第13版). 廣川書店. 2022;451-454

18) 外国における使用状況等に関する資料(リスパダール錠:2016年2月29日承認申請資料、CTD1.6)

19) Spina E, et al.:Ther Drug Monit. 2004; 26: 386

20) D’Arrigo C, et al.:Pharmacol Res. 2005; 52: 497

21) Nakagami T, et al.:Clin Pharmacol Ther. 2005; 78: 43

22) 八木剛平, 他:臨床精神医学. 1991; 20: 529-542

23) 八木剛平, 他:臨床精神医学. 1993; 22: 1059-1074

24) 藤井康男, 他:臨床精神医学. 1993; 22: 101-116

25) 稲永和豊, 他:神経精神薬理. 1993; 15: 617-631

26) 八木剛平, 他:臨床医薬. 1993; 9: 2725-2739

27) 平林良登, 他:臨床医薬. 1993; 9: 1453-1470

28) 水木 泰, 他:神経精神薬理. 1993; 15: 749-762

29) 石郷岡純, 他:臨床精神医学. 1994; 23: 507-522

30) 村崎光邦, 他:臨床評価. 1993; 21: 221-259

31) 工藤義雄, 他:臨床精神医学. 1994; 23: 233-294

32) Janssen PAJ, et al.:J Pharmacol Exp Ther. 1988; 244: 685-693

33) Leysen JE, et al.:Mol Pharmacol. 1992; 41: 494-508

34) Megens A, et al.:J Pharmacol Exp Ther. 1992; 260: 146-159

35) 菊本修, 他:薬物・精神・行動. 1993; 13: 39-42

24. 文献請求先及び問い合わせ先

皇漢堂製薬株式会社 学術担当

〒660-0803 兵庫県尼崎市長洲本通2丁目8番27号

TEL 0120-023706

FAX 06-6482-7492
受付時間 平日 9時~17時(土、日、祝日を除く)

26. 製造販売業者等

26.1 製造販売元

皇漢堂製薬株式会社

〒660-0803 兵庫県尼崎市長洲本通2丁目8番27号

〒100-0013 東京都千代田区霞が関3-3-2 新霞が関ビル

画面を閉じる

Copyright © Pharmaceuticals and Medical Devices Agency, All Rights reserved.