医療用医薬品 詳細表示

アムロジピン錠2.5mg「クニヒロ」/アムロジピン錠5mg「クニヒロ」/アムロジピン錠10mg「クニヒロ」

処方せん医薬品

添付文書番号
企業コード
作成又は改訂年月
日本標準商品分類番号
薬効分類名
承認等
一般的名称
2.禁忌(次の患者には投与しないこと)
3.組成・性状
3.1組成
3.2製剤の性状
4.効能又は効果
5.効能又は効果に関連する注意
6.用法及び用量
7.用法及び用量に関連する注意
8.重要な基本的注意
9.特定の背景を有する患者に関する注意
9.1合併症・既往歴等のある患者
9.2腎機能障害患者
9.3肝機能障害患者
9.5妊婦
9.6授乳婦
9.7小児等
9.8高齢者
10.相互作用
10.2併用注意(併用に注意すること)
11.副作用
11.1重大な副作用
11.2その他の副作用
13.過量投与
14.適用上の注意
15.その他の注意
15.1臨床使用に基づく情報
16.薬物動態
16.1血中濃度
16.2吸収
16.3分布
16.4代謝
16.5排泄
16.6特定の背景を有する患者
16.8その他
17.臨床成績
17.1有効性及び安全性に関する試験
17.3その他
18.薬効薬理
18.1作用機序
19.有効成分に関する理化学的知見
22.包装
23.主要文献
24.文献請求先及び問い合わせ先
26.製造販売業者等

アムロジピン錠2.5mg「クニヒロ」/アムロジピン錠5mg「クニヒロ」/アムロジピン錠10mg「クニヒロ」

添付文書番号

2171022F1452_1_09

企業コード

270029

作成又は改訂年月

2024年10月改訂(第2版)
2024年3月改訂(第1版)

日本標準商品分類番号

872171

薬効分類名

高血圧症・狭心症治療薬
持続性Ca拮抗薬

承認等

アムロジピン錠2.5mg「クニヒロ」

販売名コード

YJコード

2171022F1452

販売名英語表記

Amlodipine Tablets 2.5mg「KUNIHIRO」

販売名ひらがな

あむろじぴんじょう2.5mg「くにひろ」

承認番号等

承認番号

22200AMX00500000

販売開始年月

2015年6月

貯法・有効期間

貯法

室温保存

有効期間

3年

基準名

日本薬局方

アムロジピンベシル酸塩錠

規制区分

劇薬(劇薬)

処方箋医薬品(処方箋医薬品注)))

) 注意―医師等の処方箋により使用すること

アムロジピン錠5mg「クニヒロ」

販売名コード

YJコード

2171022F2459

販売名英語表記

Amlodipine Tablets 5mg「KUNIHIRO」

販売名ひらがな

あむろじぴんじょう5mg「くにひろ」

承認番号等

承認番号

22000AMX00501000

販売開始年月

2015年6月

貯法・有効期間

貯法

室温保存

有効期間

3年

基準名

日本薬局方

アムロジピンベシル酸塩錠

アムロジピン錠10mg「クニヒロ」

販売名コード

YJコード

2171022F5369

販売名英語表記

Amlodipine Tablets 10mg「KUNIHIRO」

販売名ひらがな

あむろじぴんじょう10mg「くにひろ」

承認番号等

承認番号

22400AMX01232000

販売開始年月

2015年6月

貯法・有効期間

貯法

室温保存

有効期間

3年

基準名

日本薬局方

アムロジピンベシル酸塩錠

一般的名称

日本薬局方 アムロジピンべシル酸塩錠

2. 禁忌(次の患者には投与しないこと)

ジヒドロピリジン系化合物に対し過敏症の既往歴のある患者

3. 組成・性状

3.1 組成

アムロジピン錠2.5mg「クニヒロ」

有効成分日本薬局方アムロジピンべシル酸塩3.47mg(アムロジピンとして2.5mg)  
添加剤結晶セルロース、無水リン酸水素カルシウム、デンプングリコール酸ナトリウム、ステアリン酸マグネシウム、ヒプロメロース、タルク、酸化チタン、カルナウバロウ

アムロジピン錠5mg「クニヒロ」

有効成分日本薬局方アムロジピンべシル酸塩6.93mg(アムロジピンとして5mg)  
添加剤結晶セルロース、無水リン酸水素カルシウム、デンプングリコール酸ナトリウム、ステアリン酸マグネシウム、ヒプロメロース、タルク、酸化チタン、カルナウバロウ

アムロジピン錠10mg「クニヒロ」

有効成分日本薬局方アムロジピンべシル酸塩13.87mg(アムロジピンとして10mg)  
添加剤結晶セルロース、無水リン酸水素カルシウム、デンプングリコール酸ナトリウム、ステアリン酸マグネシウム、ヒプロメロース、タルク、酸化チタン、カルナウバロウ

3.2 製剤の性状

アムロジピン錠2.5mg「クニヒロ」

剤形白色のフィルム
コーティング錠
外形表面
裏面
側面
大きさ直径6.0mm
厚さ3.0mm
質量103mg
識別コードKSK
321

アムロジピン錠5mg「クニヒロ」

剤形白色の割線入りフィルム
コーティング錠
外形表面
裏面
側面
大きさ直径8.0mm
厚さ3.3mm
質量206mg
識別コードKSK
322

アムロジピン錠10mg「クニヒロ」

剤形白色の割線入りフィルム
コーティング錠
外形表面
裏面
側面
大きさ直径8.4mm
厚さ3.8mm
質量257mg
識別コードKSK
327

4. 効能又は効果

  • 高血圧症
  • 狭心症

5. 効能又は効果に関連する注意

本剤は効果発現が緩徐であるため、緊急な治療を要する不安定狭心症には効果が期待できない。

6. 用法及び用量

  • 〈錠2.5mg、錠5mg〉
    • 高血圧症

      通常、成人にはアムロジピンとして2.5~5mgを1日1回経口投与する。なお、症状に応じ適宜増減するが、効果不十分な場合には1日1回10mgまで増量することができる。

      通常、6歳以上の小児には、アムロジピンとして2.5mgを1日1回経口投与する。なお、年齢、体重、症状により適宜増減する。

    • 狭心症

      通常、成人にはアムロジピンとして5mgを1日1回経口投与する。なお、症状に応じ適宜増減する。

  • 〈錠10mg〉
    • 高血圧症

      通常、成人にはアムロジピンとして2.5~5mgを1日1回経口投与する。なお、症状に応じ適宜増減するが、効果不十分な場合には1日1回10mgまで増量することができる。

    • 狭心症

      通常、成人にはアムロジピンとして5mgを1日1回経口投与する。なお、症状に応じ適宜増減する。

7. 用法及び用量に関連する注意

  • 〈錠2.5mg、錠5mg〉

    6歳以上の小児への投与に際しては、1日5mgを超えないこと。

8. 重要な基本的注意

  1. 8.1 降圧作用に基づくめまい等があらわれることがあるので、高所作業、自動車の運転等危険を伴う機械を操作する際には注意させること。
  2. 8.2 本剤は血中濃度半減期が長く投与中止後も緩徐な降圧効果が認められるので、本剤投与中止後に他の降圧剤を使用するときは、用量並びに投与間隔に留意するなど慎重に投与すること。

9. 特定の背景を有する患者に関する注意

9.1 合併症・既往歴等のある患者

  1. 9.1.1 過度に血圧の低い患者

    さらに血圧が低下するおそれがある。

  2. 9.1.2 *心不全のある患者

    *非虚血性心筋症による重度心不全患者注)を対象とした海外臨床試験において、プラセボ群と比較して本剤投与群で肺水腫の発現頻度が高かったとの報告がある1)

    注)本剤の承認された効能又は効果は「高血圧症」及び「狭心症」である。

9.2 腎機能障害患者

  1. 9.2.1 重篤な腎機能障害のある患者

    降圧に伴い腎機能が低下することがある。

9.3 肝機能障害患者

*増量時には慎重に投与すること。高用量(10mg)において副作用の発現頻度が高くなる可能性がある。本剤は主として肝臓で代謝されるため、血中濃度半減期の延長及び血中濃度-時間曲線下面積(AUC)が増大することがある。,

9.5 妊婦

妊婦又は妊娠している可能性のある女性に投与する場合には、治療上の有益性が危険性を上回ると判断される場合にのみ投与すること。動物実験で妊娠末期に投与すると妊娠期間及び分娩時間が延長することが認められている2)

9.6 授乳婦

治療上の有益性及び母乳栄養の有益性を考慮し、授乳の継続又は中止を検討すること。ヒト母乳中へ移行することが報告されている3)

9.7 小児等

低出生体重児、新生児、乳児又は6歳未満の幼児を対象とした臨床試験は実施していない。

9.8 高齢者

低用量(2.5mg/日)から投与を開始するなど慎重に投与すること。一般に過度の降圧は好ましくないとされている。体内動態試験で血中濃度が高く、血中濃度半減期が長くなる傾向が認められている4)

10. 相互作用

  • 本剤の代謝には主として薬物代謝酵素CYP3A4が関与していると考えられている。

10.2 併用注意(併用に注意すること)

薬剤名等臨床症状・措置方法機序・危険因子

降圧作用を有する薬剤

降圧作用が増強されるおそれがある。

相互に作用を増強するおそれがある。

*CYP3A4阻害剤

  • *エリスロマイシン
    ジルチアゼム
    リトナビル
  • *イトラコナゾール等

エリスロマイシン及びジルチアゼムとの併用により、本剤の血中濃度が上昇したとの報告がある。

本剤の代謝が競合的に阻害される可能性が考えられる。

CYP3A4誘導剤

  • リファンピシン等

本剤の血中濃度が低下するおそれがある。

本剤の代謝が促進される可能性が考えられる。

グレープフルーツジュース

本剤の降圧作用が増強されるおそれがある。

グレープフルーツに含まれる成分が本剤の代謝を阻害し、本剤の血中濃度が上昇する可能性が考えられる。

シンバスタチン

シンバスタチン80mg(国内未承認の高用量)との併用により、シンバスタチンのAUCが77%上昇したとの報告がある。

機序は不明である。

タクロリムス

併用によりタクロリムスの血中濃度が上昇し、腎障害等のタクロリムスの副作用が発現するおそれがある。併用時にはタクロリムスの血中濃度をモニターし、必要に応じてタクロリムスの用量を調整すること。

本剤とタクロリムスは、主としてCYP3A4により代謝されるため、併用によりタクロリムスの代謝が阻害される可能性が考えられる。

11. 副作用

次の副作用があらわれることがあるので、観察を十分に行い、異常が認められた場合には投与を中止するなど適切な処置を行うこと。

11.1 重大な副作用

  1. 11.1.1 劇症肝炎(頻度不明)、肝機能障害、黄疸(0.1%未満)

    AST、ALT、γ-GTPの上昇等を伴う肝機能障害があらわれることがある。

  2. 11.1.2 無顆粒球症(頻度不明)、白血球減少(0.1%未満)、血小板減少(頻度不明)
  3. 11.1.3 房室ブロック(0.1%未満)

    徐脈、めまい等の初期症状があらわれることがある。

  4. 11.1.4 横紋筋融解症(頻度不明)

    筋肉痛、脱力感、CK上昇、血中及び尿中ミオグロビン上昇等があらわれた場合には、投与を中止し、適切な処置を行うこと。また、横紋筋融解症による急性腎障害の発症に注意すること。

11.2 その他の副作用

0.1~1%未満注2)

0.1%未満注2)

頻度不明

肝臓

*ALT、ASTの上昇、肝機能障害、ALP、LDHの上昇

γ-GTP上昇、黄疸

腹水

循環器

浮腫注1)、ほてり(熱感、顔面潮紅等)、動悸、血圧低下

胸痛、期外収縮、洞房又は房室ブロック、洞停止、心房細動、失神、頻脈

徐脈

精神・神経系

めまい・ふらつき、頭痛・頭重

眠気、振戦、末梢神経障害

気分動揺、不眠、錐体外路症状

消化器

心窩部痛、便秘、嘔気・嘔吐

口渇、消化不良、下痢・軟便、排便回数増加、口内炎、腹部膨満、胃腸炎

膵炎

筋・骨格系

筋緊張亢進、筋痙攣、背痛

関節痛、筋肉痛

泌尿・生殖器

BUN上昇

クレアチニン上昇、頻尿・夜間頻尿、尿管結石、尿潜血陽性、尿中蛋白陽性

勃起障害、排尿障害

代謝異常

血清コレステロール上昇、CK上昇、高血糖、糖尿病、尿中ブドウ糖陽性

血液

赤血球、ヘモグロビン、白血球の減少、白血球増加、紫斑

血小板減少

過敏症

発疹

そう痒、じん麻疹、光線過敏症

多形紅斑、血管炎、血管浮腫

口腔

(連用により)歯肉肥厚

その他

全身倦怠感

しびれ、脱力感、耳鳴、鼻出血、味覚異常、疲労、咳、発熱、視力異常、呼吸困難、異常感覚、多汗、血中カリウム減少

女性化乳房、脱毛、鼻炎、体重増加、体重減少、疼痛、皮膚変色

*注1)増量して10mgを投与した場合に、高い頻度で認められた。,注2)発現頻度は使用成績調査を含む。

13. 過量投与

  1. 13.1 *症状

    *過度の末梢血管拡張により、ショックを含む著しい血圧低下と反射性頻脈を起こすことがある。
    また、非心原性肺水腫が、本剤の過量投与の24~48 時間後に発現することがある。なお、循環動態、心拍出量維持を目的とした救急措置(輸液の過負荷等)が要因となる可能性もある。

  2. 13.2 処置

    特異的な解毒薬はない。本剤は蛋白結合率が高いため、透析による除去は有効ではない。
    また、本剤服用直後に活性炭を投与した場合、本剤のAUCは99%減少し、服用2時間後では49%減少したことから、本剤過量投与時の吸収抑制処置として活性炭投与が有効であると報告されている5)

14. 適用上の注意

14.1 薬剤調製時の注意

分割後は早めに使用すること。分割後に使用する場合には、遮光の上30日以内に使用すること。

14.2 薬剤交付時の注意

PTP包装の薬剤はPTPシートから取り出して服用するよう指導すること。PTPシートの誤飲により、硬い鋭角部が食道粘膜へ刺入し、更には穿孔をおこして縦隔洞炎等の重篤な合併症を併発することがある。

15. その他の注意

15.1 臨床使用に基づく情報

因果関係は明らかでないが、本剤による治療中に心筋梗塞や不整脈(心室性頻拍を含む)がみられたとの報告がある。

16. 薬物動態

16.1 血中濃度

  1. 16.1.1 単回投与

    健康成人20例にアムロジピンとして10mgを単回投与した時の血漿中濃度のTmax(中央値)、Cmax、AUC0-last及びt1/2は、それぞれ8.0時間、5.84ng/mL、278ng・hr/mL及び35.1時間であり、外国人と比較した結果、同様であった6)

  2. 16.1.2 反復投与

    健康成人6例(平均年齢33.5歳)にアムロジピンとして2.5mgを1日1回14日間反復投与した場合の血清中アムロジピン濃度は、投与6~8日後に定常状態に達し、以後の蓄積は認められなかった。最終投与日(14日目)のCmax及びAUC0-24hrはそれぞれ3.5ng/mL及び61.8ng・hr/mLであり、初回投与時(1.4ng/mL及び19.3ng・hr/mL)の約3倍であった。投与中止後、血清中濃度は漸減し、投与中止5日目には0.24ng/mLとなった7)

  3. 16.1.3 生物学的同等性試験

    アムロジピン錠2.5mg「クニヒロ」、アムロジピン錠5mg「クニヒロ」とノルバスク錠2.5mg、ノルバスク錠5mgを、クロスオーバー法によりそれぞれ1錠(アムロジピンとして2.5mg又は5mg)を健康成人男子に絶食下単回経口投与して血漿中未変化体濃度を測定し、得られた濃度推移及び薬物動態パラメータは図及び表の通りである。血漿中アムロジピン濃度は用量に比例して推移し、血漿中濃度半減期は長かった。また、薬物動態パラメータ(AUC0-72hr、Cmax)について90%信頼区間法にて統計解析を行った結果、log(0.8)~log(1.25)の範囲内であり、各用量の両剤の生物学的同等性が確認された8)

    血漿中アムロジピン濃度の推移 (2.5mg)
    血漿中アムロジピン濃度の推移 (5mg)
    アムロジピン薬物動態パラメータ
      • 判定パラメータ
      • 参考パラメータ
      • AUC0-72hr
      • (ng・hr/mL)
      • Cmax
      • (ng/mL)
      • Tmax
      • (hr)
      • t1/2
      • (hr)
      • アムロジピン錠
      • 2.5mg
      • 「クニヒロ」
      • 45.8±12.4
      • 1.4±0.4
      • 7.7±2.7
      • 65.0±138.0
        • ノルバスク

          2.5mg

      • 44.5±11.4
      • 1.3±0.3
      • 7.3±1.6
      • 35.2±11.0
        • アムロジピン錠

          5mg

          「クニヒロ」

      • 65.8±18.7
      • 2.1±0.5
      • 7.3±1.9
      • 37.2±12.1
      • ノルバスク錠
      • 5mg
      • 72.9±23.4
      • 2.3±0.6
      • 7.4±1.6
      • 37.9±9.3

      (Mean±S.D., n=20)

      血漿中濃度並びにAUC、Cmax等のパラメータは、被験者の選択、体液の採取回数・時間等の試験条件によって異なる可能性がある。

    16.2 吸収

    1. 16.2.1 食事の影響

      健康成人にアムロジピンとして5mgをクロスオーバー法により空腹時又は食後に単回経口投与した場合の薬物動態パラメータに有意差は認められず、アムロジピンの吸収に及ぼす食事の影響は少ないものと考えられる9)

    16.3 分布

    1. 16.3.1 血漿蛋白結合率

      ヒト血漿蛋白との結合率は97.1%(in vitro、平衡透析法)であった10)

    16.4 代謝

    主たる尿中代謝体はジヒドロピリジン環の酸化したピリジン環体及びその酸化的脱アミノ体であった11)

    16.5 排泄

    1. 16.5.1 尿中排泄

      健康成人6例にアムロジピンとして2.5mg又は5mgを単回経口投与した場合、尿中に未変化体として排泄される割合は小さく、いずれの投与量においても尿中未変化体排泄率は投与後24時間までに投与量の約3%、144時間までに約8%であった。また2.5mgを1日1回14日間連続投与した場合の尿中排泄率は投与開始6日目でほぼ定常状態に達し、6日目以降の1日当たりの未変化体の尿中排泄率は6.3~7.4%であった7),11)
      健康成人2例に14C-標識アムロジピン15mgを単回経口投与した場合、投与12日目までに投与放射能の59.3%は尿中、23.4%は糞中に排泄され、投与後72時間までの尿中放射能の9%が未変化体であった。その他に9種の代謝物が認められた(外国人データ)。
      なお、これら代謝物にはアムロジピンをしのぐ薬理作用は認められていない11)

    16.6 特定の背景を有する患者

    1. 16.6.1 肝機能障害患者

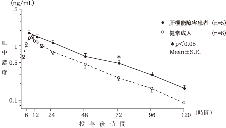
      成人肝硬変患者(Child分類A、B)5例にアムロジピンとして2.5mgを単回投与した場合の血中濃度推移並びに薬物動態パラメータは図及び表の通りである。健康成人に比し、投与72時間後の血中濃度が有意に上昇し、t1/2、AUCはやや高値を示したが有意差は認められなかった12)

      血中濃度推移
      薬物動態パラメータ
        • Tmax
          (hr)
        • Cmax
          (ng/mL)
        • AUC0-∞
          (ng・hr/mL)
        • t1/2
          (hr)
        • 肝機能障害患者
        • 7.2±1.2
        • 1.9±0.2
        • 104.0±15.5
        • 43.0±8.0
        • 健康成人6)
        • 7.3±0.4
        • 1.64±0.07
        • 68.1±5.4
        • 33.3±2.2

        (有意差検定:n.s.、Mean±S.E.)

      • 16.6.2 小児

        高血圧症患者にアムロジピンとして1日1.3~20mgを連続投与した母集団薬物動態試験の結果、クリアランス(平均値)は、6~12歳(34例)で24.9L/hr、13~17歳(28例)で27.9L/hrと推定され、成人における値と同様であった13)(外国人データ)。

        注)小児患者において本剤の承認された1日通常用量は2.5mgである。

      • 16.6.3 高齢者

        老年高血圧症患者6例(男2、女4、平均年齢79.7歳)にアムロジピンとして5mgを単回、及び8日間反復投与した場合の薬物動態パラメータは表の通りである。単回投与した場合、若年健康成人(男6、平均年齢22.3歳)に比し、Cmax、AUCは有意に高値を示したが、t1/2に有意差は認められなかった。反復投与時には老年者の血清中アムロジピン濃度は若年者よりも高く推移したが、そのパターンは若年者に類似しており、老年者でその蓄積が増大する傾向は認められなかった4)

        薬物動態パラメータ

          老年高血圧症患者

          若年健康成人

          単回投与時

          反復投与時

          単回投与時

          反復投与時

          Cmax
          (ng/mL)

          4.24
          ±0.08注1)

          14.9
          ±2.2注2)

          2.63
          ±0.35

          7.51
          ±0.32

          Tmax(hr)

          7.2±0.49

          8.0±1.8

          6.7±0.42

          8.0±0.7

          t1/2(hr)

          37.5±6.0

          47.4±11.3

          27.7±4.6

          34.7±2.7

          AUC
          (ng・hr/mL)

          116.9
          ±8.4注1)

          63.2±5.5

          (Mean±S.E.、AUC:0~48時間値)

          注1)p<0.01(vs健康者)

          注2)p<0.05(vs健康者)

        16.8 その他

        1. 16.8.1 生物学的同等性試験

          アムロジピン錠10mg「クニヒロ」は、「含量が異なる経口固形製剤の生物学的同等性試験ガイドライン(平成18年11月24日 薬食審査発第1124004号)」に基づき、アムロジピン錠5mg「クニヒロ」を標準製剤としたとき、溶出挙動が等しく、生物学的に同等とみなされた14)

        17. 臨床成績

        17.1 有効性及び安全性に関する試験

          • 〈高血圧症〉
        1. 17.1.1 国内臨床試験

          本態性高血圧症に対する二重盲検比較試験を含む臨床試験において、アムロジピンの有用性が認められた15),16),17),18)。また、腎障害を伴う高血圧症に対しては80.0%(28/35例)の有効率を示し、重症高血圧症に対しても有効性が認められた19),20)

        2. 17.1.2 国内第Ⅲ相試験

          アムロジピンとして5mgを1日1回8週間投与後に、収縮期血圧が140mmHg以上を示す患者305例を二群に分けて、アムロジピンとして10mg又は5mgを1日1回8週間投与したときの収縮期血圧のベースラインからの変化量の平均値は、10mg群で13.7mmHgの低下、5mg群で7.0mmHgの低下であり、両群間に統計的に有意な差がみられた。
          臨床検査値異常を含む副作用の発現率は、5mg群では3.9%(6/154例)に、10mg群では9.9%(15/151例)に認められた。高用量(10mg)投与時に浮腫が高い頻度で認められ、5mg群で0.6%、10mg群で3.3%であった21)
          さらに、継続試験として実施した長期投与試験でアムロジピンとして10mgを1日1回通算して52週間投与した際、収縮期血圧のベースラインからの変化量の平均値は、15.6mmHgの低下を示した22)。臨床検査値異常を含む副作用の発現率は24.6%(33例)に認められた。主な副作用は浮腫10.4%、めまい・ふらつき3.0%等であった23)

          • 〈狭心症〉
        3. 17.1.3 国内臨床試験

          狭心症に対する有効率(「改善」以上、判定不能例は除く)は74.0%(108/146例)であった。病型別の有効率は労作性狭心症82.0%(73/89例)、労作兼安静狭心症61.4%(35/57例)であった24),25),26),27),28),29)

          • 〈効能共通〉
        4. 17.1.4 国内臨床試験

          アムロジピンベシル酸塩錠を投与した高齢者(70歳以上)における高血圧症に対する有効率は86.5%(45/52例)、狭心症に対しての有効率は82.8%(24/29例)であった。

          副作用の発現頻度は3.8%(5/133例)、臨床検査値の異常変動は3.0%(4/133例)であった。主な副作用はめまい・ふらつきであり、臨床検査値の異常変動はAST、ALT及びALPの上昇等であった23)

        17.3 その他

        1. 17.3.1 糖代謝に及ぼす影響

          糖尿病合併例を含む本態性高血圧症患者43例(39歳以下から70歳以上)にアムロジピンとして1日1回2.5~5mg(一部の症例には7.5mgまで増量)を12週間投与しても糖代謝にはほとんど影響を与えなかった30)

        18. 薬効薬理

        18.1 作用機序

        細胞膜の膜電位依存性カルシウムチャンネルに特異的に結合し、細胞内へのCa2+の流入を減少させることにより、冠血管や末梢血管の平滑筋を弛緩させる。
        カルシウム拮抗作用の発現は緩徐であり、持続的である。また、心抑制作用は弱く、血管選択性が認められている10),31),32),33)

        18.2 降圧作用

        各種高血圧病態モデル(高血圧自然発症ラット、腎性高血圧イヌ)において、単回投与で血圧下降の発現が緩徐で作用持続時間が長いことが認められており、連続投与でも耐性の発言しないことが認められている34)。また、麻酔又は無麻酔イヌで大腿動脈、冠動脈及び椎骨動脈の血流量を持続的に増加させるとともに、持続的に全末梢血管抵抗を減少させ血圧を下降させることが認められている23)

        18.3 高血圧に伴う心血管障害への作用

        食塩感受性Dahlラットにアムロジピンを10週間以上連続投与することにより、加齢に伴う血圧上昇及び腸間膜動脈の石灰沈着、フィブリン沈着等の血管病変が抑制された35)
        脳卒中易発症高血圧ラットにアムロジピン3mg/kg/日を連続投与することにより、血圧上昇の抑制及び延命効果が認められた。また、心筋の線維化、腎の増殖性動脈炎、糸球基底膜肥厚、尿細管萎縮等の病変の発生も明らかに抑制された36)

        18.4 抗狭心症作用

        麻酔モルモットにおいて、セファデックス冠動脈塞栓による心筋虚血性心電図変化を改善(ST上昇を抑制)することが認められている。また、摘出ラット心臓において、虚血/再灌流時の心筋保護作用を調べた結果、アムロジピン投与群では対照群に比べて心収縮力の回復が促進され、組織内Ca2+量の増加が抑制された。組織内ATP量及びクレアチンリン酸量の回復も促進され、心筋保護作用が認められている37)
        ネコ血液灌流摘出心臓において、左室dp/dt及び左室収縮期圧は低下し、心筋酸素消費量も減少した38)

        19. 有効成分に関する理化学的知見

        一般的名称

        一般的名称:アムロジピンベシル酸塩(Amlodipine Besilate)

        化学名

        化学名:3-Ethyl 5-methyl(4RS)-2-[(2-aminoethoxy)methyl]-4-(2-chlorophenyl)-6-methyl-1,4-dihydropyridine-3,5-dicarboxylate monobenzenesulfonate

        分子式

        分子式:C20H25ClN2O5・C6H6O3S

        分子量

        分子量:567.05

        性状

        性状:白色~帯黄白色の結晶性の粉末である。

        メタノールに溶けやすく、エタノール(99.5)にやや溶けにくく、水に溶けにくい。

        メタノール溶液(1→100)は旋光性を示さない。

        化学構造式

        化学構造式:

        融点

        融点:約198℃(分解)

        22. 包装

        アムロジピン錠2.5mg「クニヒロ」:

        100錠(PTP:10錠×10)

        1000錠(PTP:10錠×100)

        500錠(バラ)

        アムロジピン錠5mg「クニヒロ」:

        100錠(PTP:10錠×10)

        1000錠(PTP:10錠×100)

        500錠(バラ)

        アムロジピン錠10mg「クニヒロ」:

        100錠(PTP:10錠×10)

        500錠(PTP:10錠×50)

        500錠(バラ)

        23. 主要文献

        1) *Packer M., et al.: JACC Heart Fail. 2013; 1(4): 308-314

        2) 堀本政夫ほか:応用薬理. 1991;42(2):167-176

        3) Naito, T. et al.:J Hum Lact. 2015;31(2):301-306

        4) 桑島巌ほか:Geriatric Medicine. 1991;29(6):899-902

        5) Laine, K. et al.:Br J Clin Pharmacol. 1997;43(1):29-33

        6) 健康成人におけるアムロジピン10mg単回投与時の安全性と薬物動態(ノルバスク錠/OD錠:2009年2月23日承認、審査報告書)

        7) 中島光好ほか:臨床医薬. 1991;7(7):1407-1435

        8) 皇漢堂製薬株式会社 社内資料

        9) 浦江隆次ほか:薬理と治療. 1991;19(7):2933-2942

        10) 第十八改正日本薬局方解説書 廣川書店2021:C-306-311

        11) Beresford A. P., et al.:Xenobiotica. 1988;18(2): 245-254

        12) 足立幸彦ほか:薬理と治療. 1991;19(7):2923-2932

        13) Flynn J. T., et al.:J. Clin. Pharmacol. 2006;46:905-916

        14) 皇漢堂製薬株式会社 社内資料

        15) 増山善明ほか:薬理と治療. 1991;19(7):2853-2871

        16) 増山善明ほか:薬理と治療. 1991;19(7):2873-2893

        17) 増山善明ほか:薬理と治療. 1991;19(7):2895-2908

        18) 増山善明ほか:臨床評価. 1991;19(2):213-241

        19) 猿田享男ほか:薬理と治療. 1993;21(2):505-526

        20) 山田和生ほか:薬理と治療. 1991;19(8):3189-3203

        21) Fujiwara T., et al.:J. Hum. Hypertens. 2009;23:521-529

        22) アムロジピン5mgで効果不十分な患者に対するアムロジピン10mgの長期投与時の有効性(ノルバスク錠/OD錠:2009年2月23日承認、審査報告書)

        23) アムロジピンの高血圧症に対する有効性および安全性(カデュエット配合錠:2009年7月7日承認、申請資料概要2.7.3.4)

        24) 加藤和三ほか:基礎と臨床. 1991;25(11):3441-3455

        25) 加藤和三ほか:臨床評価. 1991;19(3):355-378

        26) 加藤和三ほか:臨床評価. 1991;19(3):379-404

        27) 加藤和三ほか:基礎と臨床. 1992;26(2):683-702

        28) 安倍成彰ほか:薬理と治療. 1991;19(8):3221-3232

        29) 渡邊賢一ほか:薬理と治療. 1991;19(7):2909-2922

        30) 中島 譲ほか:薬理と治療 1991;19(8):3205-3219

        31) 山中教造ほか:日薬理誌. 1991;97:167-178

        32) Yamada,S.et al.:J Cardiovasc Pharmacol.1994;23(3):466-472

        33) Burges,R.A.et al.:J Cardiovasc Pharmacol.1987;9(1):110-119

        34) 山中教造ほか:日薬理誌. 1991;97:115-126

        35) Fleckenstein, A. et al.:Am J Cardiol. 1989;64:21I-34I

        36) Suzuki, M. et al.:Eur J Pharmacol. 1993;228(5-6):269-274

        37) Nayler W. G.:Am. J. Cardiol. 1989;64:65I-70I

        38) 田村裕男ほか:薬理と治療. 1990;18(Suppl.2):S339-S345

        24. 文献請求先及び問い合わせ先

        皇漢堂製薬株式会社 学術担当

        〒660-0803 兵庫県尼崎市長洲本通2丁目8番27号

        TEL 0120-023706

        FAX 06-6482-7492

        受付時間 平日 9時~17時(土、日、祝日を除く)

        26. 製造販売業者等

        26.1 製造販売元

               皇漢堂製薬株式会社

        〒660-0803 兵庫県尼崎市長洲本通2丁目8番27号

        〒100-0013 東京都千代田区霞が関3-3-2 新霞が関ビル

        画面を閉じる

        Copyright © Pharmaceuticals and Medical Devices Agency, All Rights reserved.