医療用医薬品 詳細表示

ヒアルロン酸Na0.4眼粘弾剤1%「コーワ」/ヒアルロン酸Na0.6眼粘弾剤1%「コーワ」/ヒアルロン酸Na0.85眼粘弾剤1%「コーワ」

処方せん医薬品以外の医薬品

2026年3月1日 に掲載削除されます。
削除理由「製造販売中止に伴う経過措置期間を満了し、最終出荷製品の使用期限が終了するため。」
添付文書番号
企業コード
作成又は改訂年月
日本標準商品分類番号
薬効分類名
承認等
一般的名称
3.組成・性状
3.1組成
3.2製剤の性状
4.効能又は効果
6.用法及び用量
8.重要な基本的注意
9.特定の背景を有する患者に関する注意
9.1合併症・既往歴等のある患者
11.副作用
11.2その他の副作用
14.適用上の注意
18.薬効薬理
18.1作用機序
19.有効成分に関する理化学的知見
20.取扱い上の注意
22.包装
23.主要文献
24.文献請求先及び問い合わせ先
25.保険給付上の注意
26.製造販売業者等

ヒアルロン酸Na0.4眼粘弾剤1%「コーワ」/ヒアルロン酸Na0.6眼粘弾剤1%「コーワ」/ヒアルロン酸Na0.85眼粘弾剤1%「コーワ」

添付文書番号

1319720Q1130_1_04

企業コード

270072

作成又は改訂年月

2024年3月改訂(第1版)

日本標準商品分類番号

871319

薬効分類名

眼科手術補助剤

承認等

ヒアルロン酸Na0.4眼粘弾剤1%「コーワ」

販売名コード

YJコード

1319720Q1130

販売名英語表記

Sodium Hyaluronate 0.4 Ophthalmic Viscoelastic Preparation 1%“KOWA”

販売名ひらがな

ひあるろんさんなとりうむ0.4がんねんだんざい1%「こーわ」

承認番号等

承認番号

22300AMX00382

販売開始年月

2011年8月

貯法・有効期間

貯法

2~8℃保存(凍結を避けること)

有効期間

3年

ヒアルロン酸Na0.6眼粘弾剤1%「コーワ」

販売名コード

YJコード

1319720Q7189

販売名英語表記

Sodium Hyaluronate 0.6 Ophthalmic Viscoelastic Preparation 1%“KOWA”

販売名ひらがな

ひあるろんさんなとりうむ0.6がんねんだんざい1%「こーわ」

承認番号等

承認番号

22300AMX00383

販売開始年月

2011年8月

貯法・有効期間

貯法

2~8℃保存(凍結を避けること)

有効期間

3年

ヒアルロン酸Na0.85眼粘弾剤1%「コーワ」

販売名コード

YJコード

1319720Q8193

販売名英語表記

Sodium Hyaluronate 0.85 Ophthalmic Viscoelastic Preparation 1%“KOWA”

販売名ひらがな

ひあるろんさんなとりうむ0.85がんねんだんざい1%「こーわ」

承認番号等

承認番号

22300AMX00384

販売開始年月

2011年8月

貯法・有効期間

貯法

2~8℃保存(凍結を避けること)

有効期間

3年

一般的名称

精製ヒアルロン酸ナトリウム

3. 組成・性状

3.1 組成

ヒアルロン酸Na0.4眼粘弾剤1%「コーワ」

有効成分1シリンジ(0.4mL)中
精製ヒアルロン酸ナトリウム   4mg
添加剤リン酸水素Na水和物、無水リン酸二水素Na、塩化Na

ヒアルロン酸Na0.6眼粘弾剤1%「コーワ」

有効成分1シリンジ(0.6mL)中
精製ヒアルロン酸ナトリウム   6mg
添加剤リン酸水素Na水和物、無水リン酸二水素Na、塩化Na

ヒアルロン酸Na0.85眼粘弾剤1%「コーワ」

有効成分1シリンジ(0.85mL)中
精製ヒアルロン酸ナトリウム   8.5mg
添加剤リン酸水素Na水和物、無水リン酸二水素Na、塩化Na

3.2 製剤の性状

ヒアルロン酸Na0.4眼粘弾剤1%「コーワ」

pH7.0~7.5
浸透圧比0.9~1.3(生理食塩液に対する比)
極限粘度25~45dL/g
性状無色澄明の粘稠な液(無菌製剤)である。

ヒアルロン酸Na0.6眼粘弾剤1%「コーワ」

pH7.0~7.5
浸透圧比0.9~1.3(生理食塩液に対する比)
極限粘度25~45dL/g
性状無色澄明の粘稠な液(無菌製剤)である。

ヒアルロン酸Na0.85眼粘弾剤1%「コーワ」

pH7.0~7.5
浸透圧比0.9~1.3(生理食塩液に対する比)
極限粘度25~45dL/g
性状無色澄明の粘稠な液(無菌製剤)である。

4. 効能又は効果

白内障手術・眼内レンズ挿入術・全層角膜移植術における手術補助

6. 用法及び用量

  • 〈白内障手術・眼内レンズ挿入術〉

    白内障手術・眼内レンズ挿入術を連続して施行する場合には、通常0.2~0.75mLを前房内へ注入する。また、眼内レンズのコーティングに約0.1mL使用する。ただし、白内障手術又は眼内レンズ挿入術のみを施行する場合には、以下のとおりとする。

    • 白内障手術:通常0.1~0.4mLを前房内へ注入する。
    • 眼内レンズ挿入術:眼内レンズ挿入前に、通常0.1~0.5mLを前房内へ注入する。また、眼内レンズのコーティングに約0.1mL使用する。
  • 〈全層角膜移植術〉

    移植眼の角膜片を除去後に、通常0.1~0.6mLを前房内へ注入し、移植片角膜を本剤上に浮遊させて縫合を行う。また、提供眼の移植片角膜のコーティングに約0.1mL使用する。

8. 重要な基本的注意

  1. 8.1 注意深く、ゆっくりと注入すること。
  2. 8.2 過量に注入しないこと。術後の眼圧上昇の原因となる可能性がある。
  3. 8.3 超⾳波乳化吸引術を行う前に吸引灌流を行い、水晶体と本剤との間に灌流液で満たした空間を作ること。空間が不十分なまま超⾳波乳化吸引を行うとチップの閉塞により、灌流不全となり角膜熱傷を起こすことがある。
  4. 8.4 特に手術直後は、注意深く眼圧を観察すること。もし眼圧上昇があらわれた場合は適切な処置を行うこと。
  5. 8.5 手術後、できるだけ洗浄等により本剤を除去することが望ましい。

9. 特定の背景を有する患者に関する注意

9.1 合併症・既往歴等のある患者

  1. 9.1.1 本剤の成分又は蛋白系薬剤に対し過敏症の既往歴のある患者

    治療上やむを得ないと判断される場合を除き、投与しないこと。

11. 副作用

次の副作⽤があらわれることがあるので、観察を⼗分に⾏い、異常が認められた場合には投与を中⽌するなど適切な処置を⾏うこと。

11.2 その他の副作用

頻度不明

眼圧上昇、炎症反応、嚢胞様⻩斑浮腫、⾓膜浮腫、⾓膜混濁、前房出⾎、虹彩新⽣⾎管、虹彩後癒着、結膜癒着不全、散瞳、⽔晶体混濁、浅前房、疼痛、霧視、かゆみ

その他

眼内レンズ表⾯の混濁

14. 適用上の注意

14.1 薬剤使用時の注意

  1. 14.1.1 本剤は冷所に保存するので、使用に先立って室温に30分以上保つことが望ましい。
  2. 14.1.2 本剤の使用にあたっては、ルアーロック式のカニューレを使用し、カニューレがシリンジに完全に装着したことを確認してから使用すること。装着が完全でないと、使用中にカニューレが外れ重大な事故が起こるおそれがある。
  3. 14.1.3 本剤の有効成分である精製ヒアルロン酸ナトリウムは、ベンザルコニウム塩化物等の第4級アンモニウム塩及びクロルヘキシジンにより沈殿を生じることがあるので十分注意すること。
  4. 14.1.4 本剤の開封後の使用は1回限りとし、残液は容器とともに廃棄すること。
  5. 14.1.5 *輸送中の振動等でプランジャーが緩む場合があるため、緩みを確認の上、巻き締めし直して使用すること。

18. 薬効薬理

18.1 作用機序

前房形成効果についてはヒアルロン酸ナトリウムの高い粘稠性に基づくと考えられ、また角膜内皮保護効果についてもその高い粘稠性が一種の潤滑剤として働いていることに基づくと考えられる1)

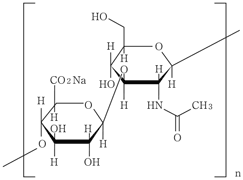
19. 有効成分に関する理化学的知見

一般的名称

精製ヒアルロン酸ナトリウム(Purified Sodium Hyaluronate)

分子式

(C14H20NNaO11)n

分子量

平均分子量 150万~390万

性状

白色の粉末、粒又は繊維状の塊である。水にやや溶けにくく、エタノール(99.5)にほとんど溶けない。吸湿性である。

化学構造式

20. 取扱い上の注意

外箱開封後は遮光して保存すること。

22. 包装

  • 〈ヒアルロン酸Na0.4眼粘弾剤1%「コーワ」〉

    0.4mL×1シリンジ

  • 〈ヒアルロン酸Na0.6眼粘弾剤1%「コーワ」〉

    0.6mL×1シリンジ

  • 〈ヒアルロン酸Na0.85眼粘弾剤1%「コーワ」〉

    0.85mL×1シリンジ

24. 文献請求先及び問い合わせ先

興和株式会社 くすり相談センター

〒103-8433 東京都中央区日本橋本町三丁目4-14

電話 0120-508-514
03-3279-7587
受付時間 9:00~17:00(土・日・祝日・弊社休日を除く)

25. 保険給付上の注意

  • 〈ヒアルロン酸Na0.85眼粘弾剤1%「コーワ」〉

    本剤は、連続して行われる白内障手術及び眼内レンズ挿入術に伴って使用される場合に限り算定できるものである。(平成23年6月24日付保医発0624第2号厚生労働省保険局医療課長通知)

26. 製造販売業者等

26.1 製造販売元

興和株式会社

東京都中央区日本橋本町三丁目4-14



〒100-0013 東京都千代田区霞が関3-3-2 新霞が関ビル

画面を閉じる

Copyright © Pharmaceuticals and Medical Devices Agency, All Rights reserved.