医療用医薬品 詳細表示

カリメートドライシロップ92.59%

処方せん医薬品以外の医薬品

添付文書番号
企業コード
作成又は改訂年月
日本標準商品分類番号
薬効分類名
承認等
一般的名称
2.禁忌(次の患者には投与しないこと)
3.組成・性状
3.1組成
3.2製剤の性状
4.効能又は効果
6.用法及び用量
8.重要な基本的注意
9.特定の背景を有する患者に関する注意
9.1合併症・既往歴等のある患者
9.5妊婦
9.8高齢者
10.相互作用
10.2併用注意(併用に注意すること)
11.副作用
11.1重大な副作用
11.2その他の副作用
14.適用上の注意
15.その他の注意
15.1臨床使用に基づく情報
16.薬物動態
16.2吸収
16.5排泄
17.臨床成績
17.1有効性及び安全性に関する試験
18.薬効薬理
18.1作用機序
18.2カリウム交換容量
18.3血清カリウム値低下作用
18.4生物学的同等性試験
19.有効成分に関する理化学的知見
20.取扱い上の注意
22.包装
23.主要文献
24.文献請求先及び問い合わせ先
26.製造販売業者等

カリメートドライシロップ92.59%

添付文書番号

2190016R2021_1_10

企業コード

270072

作成又は改訂年月

**2025年6月改訂(第3版)
2024年9月改訂(第2版)

日本標準商品分類番号

87219

薬効分類名

血清カリウム抑制剤

承認等

カリメートドライシロップ92.59%

販売名コード

YJコード

2190016R2021

販売名英語表記

Kalimate Dry Syrup 92.59%

販売名ひらがな

かりめーとどらいしろっぷ92.59%

承認番号等

承認番号

22000AMX00476

販売開始年月

2002年7月

貯法・有効期間

貯法

室温保存

有効期間

3年

一般的名称

ポリスチレンスルホン酸カルシウム

2. 禁忌(次の患者には投与しないこと)

腸閉塞の患者[腸管穿孔を起こすおそれがある。]

3. 組成・性状

3.1 組成

カリメートドライシロップ92.59%

有効成分1g中 日局ポリスチレンスルホン酸カルシウム   925.9mg
添加剤カルメロースNa、アスパルテーム(L-フェニルアラニン化合物)、メチルセルロース、ヒドロキシプロピルセルロース

3.2 製剤の性状

カリメートドライシロップ92.59%

性状微黄白色~淡黄色の顆粒状(ドライシロップ)である。

4. 効能又は効果

急性及び慢性腎不全に伴う高カリウム血症

6. 用法及び用量

通常成人1日16.2~32.4g(ポリスチレンスルホン酸カルシウムとして1日15~30g)を2~3回に分け、その1回量を水30~50mLに懸濁し、経口投与する。なお、症状により適宜増減する。

8. 重要な基本的注意

  1. 8.1 腸管穿孔、腸閉塞、大腸潰瘍があらわれることがあるので、高度の便秘、持続する腹痛、嘔吐、下血等の異常が認められた場合には、投与を中止し、適切な処置を行うこと。,,,,
  2. 8.2 本剤を経口投与するにあたっては、患者に排便状況を確認させ、便秘に引き続き腹痛、腹部膨満感、嘔吐等の症状があらわれた場合には、医師等に相談するよう指導すること。
  3. 8.3 過量投与を防ぐため、規則的に血清カリウム値及び血清カルシウム値を測定しながら投与すること。また異常を認めた場合には、減量又は休薬等の適切な処置を行うこと。

9. 特定の背景を有する患者に関する注意

9.1 合併症・既往歴等のある患者

  1. 9.1.1 便秘を起こしやすい患者

    腸閉塞、腸管穿孔を起こすおそれがある。,

  2. 9.1.2 腸管狭窄のある患者

    腸閉塞、腸管穿孔を起こすおそれがある。,

  3. 9.1.3 消化管潰瘍のある患者

    症状を増悪させるおそれがある。,

  4. 9.1.4 副甲状腺機能亢進症の患者

    イオン交換で血中カルシウム濃度が上昇するおそれがある。

  5. 9.1.5 多発性骨髄腫の患者

    イオン交換で血中カルシウム濃度が上昇するおそれがある。

9.5 妊婦

妊婦又は妊娠している可能性のある女性には、治療上の有益性が危険性を上回ると判断される場合にのみ投与すること。

9.8 高齢者

減量するなど注意すること。一般に生理機能が低下している。

10. 相互作用

    10.2 併用注意(併用に注意すること)

    薬剤名等臨床症状・措置方法機序・危険因子

    ジギタリス剤

    • ジゴキシン等

    ジギタリス中毒作用が増強されることがある。

    本剤の血清カリウム値低下作用による。

    アルミニウム、マグネシウム又はカルシウムを含有する制酸剤又は緩下剤

    • 乾燥水酸化アルミニウムゲル
      水酸化マグネシウム
      沈降炭酸カルシウム等

    本剤の効果が減弱するおそれがある。

    非選択的に左記薬剤の陽イオンと交換する可能性がある。

    アルミニウム、マグネシウム又はカルシウムを含有する制酸剤又は緩下剤

    • 乾燥水酸化アルミニウムゲル
      水酸化マグネシウム
      沈降炭酸カルシウム等

    全身性アルカローシスなどの症状があらわれたとの報告がある1),2),3)

    腸管内に分泌された重炭酸塩の中和を妨げる1)

    甲状腺ホルモン製剤

    • レボチロキシン等

    左記薬剤の効果が減弱することがあるので、服用時間をずらすなど注意すること。

    本剤が消化管内で左記薬剤を吸着することにより、これらの薬剤の吸収を阻害すると考えられる。

    11. 副作用

    次の副作用があらわれることがあるので、観察を十分に行い、異常が認められた場合には投与を中止するなど適切な処置を行うこと。

    11.1 重大な副作用

    1. 11.1.1 腸管穿孔、腸閉塞、大腸潰瘍(いずれも頻度不明)

      これらの病態を疑わせる高度の便秘、持続する腹痛、嘔吐、下血等の異常が認められた場合には、投与を中止し、聴診、触診、画像診断等を実施し、適切な処置を行うこと4),,,

    11.2 その他の副作用

    5%以上

    0.1~5%未満

    頻度不明

    過敏症

    発疹

    **消化器

    便秘注)

    食欲不振

    悪心、嘔気、胃部不快感、下痢

    電解質

    低カリウム血症

    注)

    14. 適用上の注意

    14.1 薬剤交付時の注意

    消化管への蓄積を避けるため、便秘を起こさせないように注意すること。

    15. その他の注意

    15.1 臨床使用に基づく情報

    1. 15.1.1 ポリスチレンスルホン酸カルシウムのソルビトール懸濁液を経口投与し、結腸狭窄、結腸潰瘍等を起こした症例が報告されている。
    2. 15.1.2 類薬(ポリスチレンスルホン酸ナトリウム)で、そのソルビトール懸濁液を経口投与し、小腸の穿孔、腸粘膜壊死、大腸潰瘍、結腸壊死等を起こした症例が報告されている。
    3. 15.1.3 ポリスチレンスルホン酸カルシウムとアルギン酸ナトリウムとの併用により、消化管内に不溶性のゲルを生じたとの報告がある。

    16. 薬物動態

    16.2 吸収

    ポリスチレンスルホン酸カルシウムは吸収されないと考えられる5)(家兎 in vitro)。ただし、5μm以下の微粒子は粘膜を経由して吸収され、細網内皮系組織等に沈着することが仔牛による実験で報告6)されているので、ポリスチレンスルホン酸カルシウムは5μm以下の微粒子を0.1%以下に規制している。

    16.5 排泄

    ポリスチレンスルホン酸カルシウム1g/kg及び3g/kg投与群における経過時間ごとの糞便排泄率を測定した結果、両投与群とも投与後24時間で75%以上、72時間で90%以上が糞便中に排泄された5)(ラット)。

    17. 臨床成績

    17.1 有効性及び安全性に関する試験

    1. 17.1.1 カリメート散を対照とした国内クロスオーバー比較試験

      腎不全に伴う高カリウム血症患者24例を対象に、本剤及び対照薬(ポリスチレンスルホン酸カルシウムとして各々20.0g/日)を1日3回、12日間経口投与した。両薬剤の血清カリウム濃度の平均値の差の90%信頼区間は-0.01~0.35であり、対照薬投与群の平均値に対して-0.21~7.43%に相当し、両薬剤の臨床効果に差がないことが示された。
      本剤投与時に認められた副作用は、便秘2/24例(8.3%)、食欲不振1/24例(4.2%)、心拍数減少1/24例(4.2%)であった7)

    18. 薬効薬理

    18.1 作用機序

    経口投与後、ポリスチレンスルホン酸カルシウムは消化・吸収されることなく、腸管内、特に結腸付近で、本剤のカルシウムイオンと腸管内のカリウムイオンが交換され、ポリスチレンスルホン酸樹脂としては何ら変化を受けることなしに、そのまま糞便中に排泄される。その結果腸管内のカリウムは体外へ除去される。

    18.2 カリウム交換容量

    本剤は試験管内においてポリスチレンスルホン酸カルシウム1gあたり平均すると64.2mg(1.64mEq)のカリウムと交換した8)in vitro)。

    18.3 血清カリウム値低下作用

    全腎摘出高カリウム血症ラットを用いて、本剤投与群、非投与群の比較を行った結果、本剤投与群に有意(p<0.01)な血清カリウム値低下作用が認められた8)

    18.4 生物学的同等性試験

    1. 18.4.1 カリウム交換容量比較試験

      本剤とカリメート散のカリウム交換容量の平均値に有意差を認めず、両製剤は同等と判断された8)in vitro)。

    2. 18.4.2 全腎摘出高カリウム血症ラットを用いた薬力学的試験

      本剤とカリメート散は全腎摘出高カリウム血症ラットに対する血清カリウム値の低下作用において、生物学的に同等であると判断された8)

    19. 有効成分に関する理化学的知見

    一般的名称

    ポリスチレンスルホン酸カルシウム(Calcium Polystyrene Sulfonate)

    性状

    微黄白色~淡黄色の粉末で、におい及び味はない。
    水、エタノール(95)又はジエチルエーテルにほとんど溶けない。

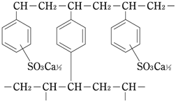
    化学構造式

    不規則に入り乱れた複雑な立体構造を有するが、その構造は部分的には下記のとおりである。

    20. 取扱い上の注意

    開封後は湿気を避けて保存すること。

    22. 包装

    *分包:5.4g×126包(21包×6)

    24. 文献請求先及び問い合わせ先

    興和株式会社 くすり相談センター

    〒103-8433 東京都中央区日本橋本町三丁目4-14

    電話 0120-508-514
    03-3279-7587
    受付時間 9:00~17:00(土・日・祝日・弊社休日を除く)

    26. 製造販売業者等

    26.1 製造販売元

    興和株式会社

    東京都中央区日本橋本町三丁目4-14

    〒100-0013 東京都千代田区霞が関3-3-2 新霞が関ビル

    画面を閉じる

    Copyright © Pharmaceuticals and Medical Devices Agency, All Rights reserved.