医療用医薬品 詳細表示

アデホスコーワ腸溶錠20/アデホスコーワ腸溶錠60

処方せん医薬品以外の医薬品

添付文書番号
企業コード
作成又は改訂年月
日本標準商品分類番号
薬効分類名
承認等
一般的名称
3.組成・性状
3.1組成
3.2製剤の性状
4.効能又は効果
6.用法及び用量
9.特定の背景を有する患者に関する注意
9.5妊婦
9.6授乳婦
9.7小児等
9.8高齢者
10.相互作用
10.2併用注意(併用に注意すること)
11.副作用
11.2その他の副作用
14.適用上の注意
16.薬物動態
16.1血中濃度
17.臨床成績
17.1有効性及び安全性に関する試験
18.薬効薬理
18.1作用機序
18.2血管拡張・血流増加作用
18.3代謝賦活作用
18.4筋収縮力増強作用
18.5神経伝達効率化作用
19.有効成分に関する理化学的知見
20.取扱い上の注意
22.包装
23.主要文献
24.文献請求先及び問い合わせ先
26.製造販売業者等

アデホスコーワ腸溶錠20/アデホスコーワ腸溶錠60

添付文書番号

3992001F1084_1_18

企業コード

270072

作成又は改訂年月

**2025年11月改訂(第3版)
2025年1月改訂(第2版)

日本標準商品分類番号

873992

薬効分類名

代謝賦活剤

承認等

アデホスコーワ腸溶錠20

販売名コード

YJコード

3992001F1084

販売名英語表記

ADETPHOS KOWA ENTERIC COATED TABLETS 20

販売名ひらがな

あでほすこーわちょうようじょう20

承認番号等

承認番号

14500AMZ02758

販売開始年月

1972年2月

貯法・有効期間

貯法

室温保存

有効期間

3年

アデホスコーワ腸溶錠60

販売名コード

YJコード

3992001F3028

販売名英語表記

ADETPHOS KOWA ENTERIC COATED TABLETS 60

販売名ひらがな

あでほすこーわちょうようじょう60

承認番号等

承認番号

14500AMZ02934

販売開始年月

1972年2月

貯法・有効期間

貯法

室温保存

有効期間

3年

一般的名称

アデノシン三リン酸二ナトリウム水和物

3. 組成・性状

3.1 組成

アデホスコーワ腸溶錠20

有効成分1錠中
アデノシン三リン酸二ナトリウム水和物   20.0mg
添加剤結晶セルロース、カルメロースCa、ヒドロキシプロピルセルロース、ステアリン酸Mg、メタクリル酸コポリマーLD、ラウリル硫酸Na、ポリソルベート80、タルク、クエン酸トリエチル、酸化チタン、カルナウバロウ

アデホスコーワ腸溶錠60

有効成分1錠中
アデノシン三リン酸二ナトリウム水和物   60.0mg
添加剤結晶セルロース、カルメロースCa、ヒドロキシプロピルセルロース、ステアリン酸Mg、メタクリル酸コポリマーLD、ラウリル硫酸Na、ポリソルベート80、タルク、クエン酸トリエチル、酸化チタン、カルナウバロウ

3.2 製剤の性状

アデホスコーワ腸溶錠20

外形
直径約8.3mm
厚さ約4.4mm
重量220mg
識別コード 120
性状白色のフィルムコーティング錠(腸溶錠)である。

アデホスコーワ腸溶錠60

外形
直径約8.3mm
厚さ約4.4mm
重量220mg
識別コード 160
性状白色のフィルムコーティング錠(腸溶錠)である。

4. 効能又は効果

  • 下記疾患に伴う諸症状の改善
    頭部外傷後遺症
  • 心不全
  • 調節性眼精疲労における調節機能の安定化
  • 消化管機能低下のみられる慢性胃炎

6. 用法及び用量

アデノシン三リン酸二ナトリウム水和物として、1回40~60mgを1日3回経口投与する。
なお、症状により適宜増減する。

9. 特定の背景を有する患者に関する注意

9.5 妊婦

妊婦又は妊娠している可能性のある女性には、投与しないことが望ましい。

9.6 授乳婦

治療上の有益性及び母乳栄養の有益性を考慮し、授乳の継続又は中止を検討すること。

9.7 小児等

小児等を対象とした有効性及び安全性を指標とした臨床試験は実施していない。

9.8 高齢者

減量するなど注意すること。一般に生理機能が低下している。

10. 相互作用

    10.2 併用注意(併用に注意すること)

    薬剤名等臨床症状・措置方法機序・危険因子

    ジピリダモール

    ジピリダモールはアデノシン三リン酸(ATP)分解物であるアデノシンの血中濃度を上昇させ、心臓血管に対する作用を増強するとの報告があるので、併用にあたっては患者の状態を十分に観察するなど注意すること。

    ジピリダモールのアデノシン取り込み抑制作用により、ATP分解物であるアデノシンの血中濃度が上昇する。

    11. 副作用

    次の副作用があらわれることがあるので、観察を十分に行い、異常が認められた場合には投与を中止するなど適切な処置を行うこと。

    11.2 その他の副作用

    1.0%未満

    頻度不明

    消化器

    悪心、食欲不振、胃腸障害、便秘傾向、口内炎

    循環器

    全身拍動感

    過敏症

    そう痒感

    発疹

    精神神経系

    頭痛、眠気、気分が落ち着かない

    感覚器

    耳鳴

    その他

    脱力感

    注)発現頻度は再評価及び顆粒剤の効能追加時における集計に基づく。

    14. 適用上の注意

    14.1 薬剤調製時の注意

    本剤は腸溶性製剤のため、乳鉢等ですりつぶさないこと。

    14.2 薬剤交付時の注意

    PTP包装の薬剤はPTPシートから取り出して服用するよう指導すること。PTPシートの誤飲により、硬い鋭角部が食道粘膜へ刺入し、更には穿孔をおこして縦隔洞炎等の重篤な合併症を併発することがある。

    16. 薬物動態

    16.1 血中濃度

    1. 16.1.1 単回投与

      健康男性にアデホスコーワ腸溶錠20(アデノシン三リン酸二ナトリウム水和物(以下ATP-2Na)として120mg注)、n=5)を単回経口投与し、投与後30分、60分、120分、180分における血中ATP濃度を測定した結果、投与後60分で上昇の傾向を認めた1)
      注)本剤の承認された用法及び用量は「1回40~60mgを1日3回経口投与する」である。

    17. 臨床成績

    17.1 有効性及び安全性に関する試験

    • 〈心不全〉
      1. 17.1.1 国内二重盲検試験

        心不全患者にアデホスコーワ腸溶錠20(ATP-2Naとして180mg/日、n=153)又はプラセボ(n=143)を1日3回8週間経口投与した二重盲検試験の結果、本剤の有用性が認められた。副作用は、本剤群で7例(3.9%)認められ、主な副作用は胃腸障害3例であった2)

    • 〈頭部外傷後遺症に伴う諸症状の改善〉
      1. 17.1.2 国内二重盲検試験

        頭部外傷後遺症患者にアデホスコーワ腸溶錠60(ATP-2Naとして180mg/日)又はプラセボを1日3回4週間経口投与し、二重盲検クロスオーバー法(A群:アデホス→プラセボ(n=38)、B群:プラセボ→アデホス(n=29))にて検討した結果、本剤の有用性が認められた。副作用は認められなかった3)

    • 〈消化管機能低下のみられる慢性胃炎〉
      1. 17.1.3 国内二重盲検試験

        胃の下垂を伴う慢性胃炎患者にアデホスコーワ腸溶錠60(ATP-2Naとして180mg/日、n=84)又はプラセボ(n=77)を1日3回4週間経口投与した二重盲検試験の結果、本剤の有用性が認められた。副作用は認められなかった4)

    • 〈調節性眼精疲労における調節機能の安定化〉
      1. 17.1.4 国内二重盲検試験

        調節性眼精疲労患者にアデホスコーワ腸溶錠60(ATP-2Naとして180mg/日、n=19)又はプラセボ(n=30)を1日3回、日局リボフラビン錠1mgを併用して3週間経口投与した二重盲検試験の結果、本剤の有用性が認められた。副作用は認められなかった5)

    18. 薬効薬理

    18.1 作用機序

    ATPはその血行力学的並びに生化学的作用により各組織の代謝を賦活する。

    18.2 血管拡張・血流増加作用

    脳(イヌ6)、ネコ7))、心臓(イヌ8),9))、胃(イヌ10))の血流量を増加する。

    18.3 代謝賦活作用

    脳(モルモット in vitro11),12))、心臓(イヌ13)、ウサギ14))等の代謝活性を増加する。

    18.4 筋収縮力増強作用

    心筋(カエル in vitro15))、胃腸管平滑筋(ラット in vitro16)、健康人)の収縮力を増強する。

    18.5 神経伝達効率化作用

    神経伝達の効率化をはかる(ウシガエル in vitro17))。

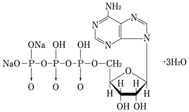
    19. 有効成分に関する理化学的知見

    一般的名称

    アデノシン三リン酸二ナトリウム水和物
    (Adenosine Triphosphate Disodium Hydrate)

    化学名

    Disodium adenosine-5́-triphosphate(ATP-2Na)

    分子式

    C10H14N5Na2O13P3・3H2O

    分子量

    605.19

    性状

    白色の結晶又は結晶性の粉末で、においはなく、わずかに酸味がある。水に溶けやすく、エタノール(95)又はジエチルエーテルにほとんど溶けない。

    化学構造式

    20. 取扱い上の注意

    アルミピロー包装開封後は湿気を避けて保存すること。

    22. 包装

    • **,*〈アデホスコーワ腸溶錠20〉

      PTP:100錠(10錠×10)、1000錠(10錠×100)

    • *〈アデホスコーワ腸溶錠60〉

      PTP:100錠(10錠×10)、1000錠(10錠×100)

    24. 文献請求先及び問い合わせ先

    興和株式会社 くすり相談センター

    〒103-8433 東京都中央区日本橋本町三丁目4-14

    電話 0120-508-514
    03-3279-7587
    受付時間 9:00~17:00(土・日・祝日・弊社休日を除く)

    26. 製造販売業者等

    26.1 製造販売元

    興和株式会社

    東京都中央区日本橋本町三丁目4-14

    〒100-0013 東京都千代田区霞が関3-3-2 新霞が関ビル

    画面を閉じる

    Copyright © Pharmaceuticals and Medical Devices Agency, All Rights reserved.