医療用医薬品 詳細表示

レミカットカプセル1mg/レミカットカプセル2mg

処方せん医薬品以外の医薬品

添付文書番号
企業コード
作成又は改訂年月
日本標準商品分類番号
薬効分類名
承認等
一般的名称
3.組成・性状
3.1組成
3.2製剤の性状
4.効能又は効果
6.用法及び用量
7.用法及び用量に関連する注意
8.重要な基本的注意
9.特定の背景を有する患者に関する注意
9.1合併症・既往歴等のある患者
9.3肝機能障害患者
9.5妊婦
9.6授乳婦
9.7小児等
9.8高齢者
10.相互作用
10.2併用注意(併用に注意すること)
11.副作用
11.2その他の副作用
12.臨床検査結果に及ぼす影響
14.適用上の注意
16.薬物動態
16.1血中濃度
16.2吸収
16.3分布
16.4代謝
16.5排泄
17.臨床成績
17.1有効性及び安全性に関する試験
18.薬効薬理
18.1作用機序
18.2抗アレルギー作用
18.3抗ヒスタミン作用
18.4抗原抗体反応によるケミカルメディエーター遊離抑制作用
18.5サブスタンスPによるヒスタミン遊離に対する抑制作用
18.6好酸球遊走阻止及び浸潤抑制作用
19.有効成分に関する理化学的知見
22.包装
23.主要文献
24.文献請求先及び問い合わせ先
26.製造販売業者等

レミカットカプセル1mg/レミカットカプセル2mg

添付文書番号

4490013M1038_1_12

企業コード

270072

作成又は改訂年月

2025年3月改訂(第2版)
2020年3月改訂(第1版)

日本標準商品分類番号

87449

薬効分類名

アレルギー性疾患治療剤

承認等

レミカットカプセル1mg

販売名コード

YJコード

4490013M1038

販売名英語表記

REMICUT CAPSULES 1mg

販売名ひらがな

れみかっとかぷせる1mg

承認番号等

承認番号

20500AMZ00144

販売開始年月

1993年8月

貯法・有効期間

貯法

室温保存

有効期間

3年

基準名

日本薬局方

エメダスチンフマル酸塩徐放カプセル

レミカットカプセル2mg

販売名コード

YJコード

4490013M2034

販売名英語表記

REMICUT CAPSULES 2mg

販売名ひらがな

れみかっとかぷせる2mg

承認番号等

承認番号

20500AMZ00145

販売開始年月

1993年8月

貯法・有効期間

貯法

室温保存

有効期間

3年

基準名

日本薬局方

エメダスチンフマル酸塩徐放カプセル

一般的名称

エメダスチンフマル酸塩

3. 組成・性状

3.1 組成

レミカットカプセル1mg

有効成分1カプセル中
エメダスチンフマル酸塩   1mg
添加剤トウモロコシデンプン、精製白糖球状顆粒、ヒドロキシプロピルセルロース、エチルセルロース、白糖、ステアリン酸Mg
(カプセル本体)ラウリル硫酸Na、ゼラチン、酸化チタン

レミカットカプセル2mg

有効成分1カプセル中
エメダスチンフマル酸塩   2mg
添加剤トウモロコシデンプン、精製白糖球状顆粒、ヒドロキシプロピルセルロース、エチルセルロース、白糖、ステアリン酸Mg
(カプセル本体)ラウリル硫酸Na、ゼラチン、酸化チタン

3.2 製剤の性状

レミカットカプセル1mg

識別コード 501
性状白色不透明の硬カプセル剤(キャップ:白、ボディ:白)で、内容物は白色の徐放性顆粒である。
外形
直径5.3mm、長さ14.5mm、重量195mg

レミカットカプセル2mg

識別コード 502
性状白色不透明の硬カプセル剤(キャップ:白、ボディ:白)で、内容物は白色の徐放性顆粒である。
外形
直径5.3mm、長さ14.5mm、重量195mg

4. 効能又は効果

  • アレルギー性鼻炎
  • じん麻疹
  • 湿疹・皮膚炎、皮膚そう痒症、痒疹

6. 用法及び用量

通常、成人にはエメダスチンフマル酸塩として1回1~2mgを1日2回、朝食後及び就寝前に経口投与する。

7. 用法及び用量に関連する注意

高齢者では、副作用の発現に注意し、1回1mgから投与するなどの配慮をすること。

8. 重要な基本的注意

  1. 8.1 眠気を催すことがあるので、本剤投与中の患者には自動車の運転等危険を伴う機械の操作には従事させないよう十分注意すること。更に、日常生活に支障がみられる場合があるので、本剤投与に際してはこのことを患者に十分説明しておくこと。
  2. 8.2 4mg/日投与は、2mg/日投与に比して高度の眠気を惹起する可能性が高いので留意すること。
  3. 8.3 本剤を季節性の患者に投与する場合は、好発季節を考えて、その直前から投与を開始し、好発季節終了時まで続けることが望ましい。

9. 特定の背景を有する患者に関する注意

9.1 合併症・既往歴等のある患者

  1. 9.1.1 長期ステロイド療法を受けている患者

    本剤投与によりステロイドの減量を図る場合には十分な管理下で徐々に行うこと。

9.3 肝機能障害患者

  1. 9.3.1 肝機能障害又はその既往歴のある患者

    肝機能異常があらわれるおそれがある。

9.5 妊婦

妊婦又は妊娠している可能性のある女性には、治療上の有益性が危険性を上回ると判断される場合にのみ投与すること。妊娠ラットにおいて胎児中への移行が認められている1)

9.6 授乳婦

治療上の有益性及び母乳栄養の有益性を考慮し、授乳の継続又は中止を検討すること。授乳期ラットにおいて乳汁中への移行が認められている1)

9.7 小児等

小児等を対象とした有効性及び安全性を指標とした臨床試験は実施していない。

9.8 高齢者

一般に生理機能が低下している。

10. 相互作用

    10.2 併用注意(併用に注意すること)

    薬剤名等臨床症状・措置方法機序・危険因子

    向精神薬

    • 鎮静剤
      催眠剤等

    抗ヒスタミン剤

    相互に作用を増強するおそれがある。

    本剤の中枢神経抑制作用により、作用が増強されると考えられる。

    アルコール

    本剤の中枢神経系での副作用(主に眠気)を増強するおそれがある。

    本剤の中枢神経抑制作用により、作用が増強されると考えられる。

    11. 副作用

    次の副作用があらわれることがあるので、観察を十分に行い、異常が認められた場合には投与を中止するなど適切な処置を行うこと。

    11.2 その他の副作用

    5~10%未満

    0.1~5%未満

    0.1%未満

    頻度不明

    精神神経系

    眠気

    倦怠・脱力感、頭痛・頭重感、頭がボーッとする、ふらつき

    しびれ感、耳鳴、こわばり、皮膚感覚異常

    舌のしびれ、一過性健忘

    消化器

    口渇、腹痛

    悪心・嘔吐、食欲不振、胃部不快感、胃もたれ感、腹部膨満感、下痢、便秘

    循環器

    動悸、血圧上昇

    過敏症

    発疹、そう痒

    血液

    白血球減少、血小板減少

    肝臓

    AST上昇、ALT上昇、LDH上昇、γ-GTP上昇

    総ビリルビン上昇、Al-P上昇、肝機能異常

    黄疸

    腎臓

    尿蛋白、尿潜血、血尿、頻尿、尿量減少

    眼のしょぼしょぼ感、眼痛

    その他

    浮腫、苦味、鼻乾燥

    息苦しさ、月経異常、胸痛、ほてり

    注)発現頻度は使用成績調査を含む。なお、男女別にみると女性の副作用症状発現率が高かった。

    12. 臨床検査結果に及ぼす影響

    本剤はアレルゲン皮内反応を抑制するため、アレルゲン皮内反応検査を実施する前は本剤を投与しないこと。

    14. 適用上の注意

    14.1 薬剤交付時の注意

    1. 14.1.1 本剤は徐放性製剤であるため、薬剤をかみ砕かないで服用させること。
    2. 14.1.2 PTP包装の薬剤はPTPシートから取り出して服用するよう指導すること。PTPシートの誤飲により、硬い鋭角部が食道粘膜へ刺入し、更には穿孔をおこして縦隔洞炎等の重篤な合併症を併発することがある。

    16. 薬物動態

    16.1 血中濃度

    1. 16.1.1 単回投与

      健康成人5例に本剤(エメダスチンフマル酸塩として2mg)を食後単回経口投与した場合、エメダスチンの最高血漿中濃度は1.26ng/mL、最高血漿中濃度到達時間は3.1時間、消失半減期は7.0時間であった2)

    2. 16.1.2 反復投与

      健康成人5例に本剤(エメダスチンフマル酸塩として2mg)を1日2回14日間反復経口投与した場合、血漿中濃度は5回目で定常状態に達し、定常状態における平均最低血漿中濃度は0.96ng/mL、平均最高血漿中濃度は1.87ng/mLであった2)

    16.2 吸収

    ラットに経口投与された14C-エメダスチンフマル酸塩は小腸から速やかに、かつほぼ完全に吸収された3)

    16.3 分布

    1. 16.3.1 体組織への分布

      ラットに経口投与された14C-エメダスチンフマル酸塩は特に肝臓及び腎臓に高い分布を認めたが、中枢系への移行は低かった4)

    2. 16.3.2 血清蛋白結合率

      ヒト血清に14C-エメダスチンフマル酸塩0.1μMを添加したin vitroの検討で、エメダスチンフマル酸塩の血清蛋白結合率は64.8%であった(平衡透析法)。

    16.4 代謝

    健康成人に経口投与したときのエメダスチンの主代謝経路はベンズイミダゾール環の水酸化とそれに引き続く抱合化であった5)。また、エメダスチンは主に肝臓において代謝された6),7)(ラット)。

    16.5 排泄

    健康成人5例に本剤(エメダスチンフマル酸塩として2mg)を食後単回経口投与した場合、投与後24時間までに尿中へ排泄された未変化体及び代謝物の合計は投与量の約44.1%であった。未変化体は投与量の3.6%を示した2),5)。なお尿中への排泄率は、ラットで約30%、モルモットで約40%、イヌで約70%であり、ラットにおいて胆汁中排泄及び腸肝循環が認められた3),8)

    17. 臨床成績

    17.1 有効性及び安全性に関する試験

    1. 17.1.1 国内臨床試験

      アレルギー性鼻炎、じん麻疹(主に慢性)、湿疹・皮膚炎、皮膚そう痒症、痒疹患者958例を対象に、本剤を1日1~4mg1)、7~93日間投与した臨床試験(二重盲検比較試験を含む)の成績は以下のとおりである。また、アレルギー性鼻炎、じん麻疹を対象とした二重盲検比較試験において本剤の有用性が認められた9),10),11),12)

      表 対象疾患別の改善率

      対象疾患名

      改善率2)

      中等度改善以上

      軽度改善以上

      アレルギー性鼻炎

      43.5%(111/255例)

      83.1%(212/255例)

      じん麻疹(主に慢性)

      69.6%(272/391例)

      85.4%(334/391例)

      湿疹・皮膚炎

      71.0%(115/162例)

      88.3%(143/162例)

      皮膚そう痒症

      72.5%(66/91例)

      91.2%(83/91例)

      痒疹

      74.6%(44/59例)

      93.2%(55/59例)

      1) 本剤の承認された用法及び用量は、「通常、成人にはエメダスチンフマル酸塩として1回1~2mgを1日2回、朝食後及び就寝前に経口投与する。」である。
      2) アレルギー性鼻炎、湿疹・皮膚炎、皮膚そう痒症、痒疹:全般改善度を5段階で評価
      じん麻疹:全般改善度を5段階又は7段階で評価

    18. 薬効薬理

    18.1 作用機序

    ヒスタミンH1受容体遮断作用と共に、抗原抗体反応に伴って起こる肥満細胞からのヒスタミンやロイコトリエンC4等のケミカルメディエーターの遊離を抑制することにより、アレルギー症状を緩和する。

    18.2 抗アレルギー作用

    モルモットでのアナフィラキシーショック及びモルモットやラットでのpassive cutaneous anaphylaxisを経口投与で抑制した13),14)。ラットでの実験的アレルギー性鼻炎を経口投与で抑制した15)

    18.3 抗ヒスタミン作用

    ヒスタミンによるモルモット摘出回腸収縮反応を抑制した(in vitro)。モルモットでのヒスタミン致死及び血管透過性亢進に対して抑制作用を示した16)

    18.4 抗原抗体反応によるケミカルメディエーター遊離抑制作用

    抗原抗体反応によるラット腹腔肥満細胞からのヒスタミン遊離反応13)、並びにヒト末梢白血球及び肺組織からのヒスタミン及びロイコトリエンC4遊離を濃度依存的に抑制した17)in vitro)。モルモットpassive peritoneal anaphylaxisによるヒスタミン遊離に対して抑制作用を示した18)

    18.5 サブスタンスPによるヒスタミン遊離に対する抑制作用

    サブスタンスPによるラット腹腔肥満細胞からのヒスタミン遊離を低濃度から抑制した(in vitro)。このヒスタミン遊離抑制作用は、細胞内Ca貯蔵部位からのCa2+放出抑制作用及び細胞内へのCa2+の流入抑制作用による18)

    18.6 好酸球遊走阻止及び浸潤抑制作用

    PAFによるモルモットの好酸球遊走を10-9M以上で濃度依存的に抑制した19)in vitro)。PAF、ロイコトリエンB4によるヒトの好酸球遊走を10-8M以上で濃度依存的に抑制した20)in vitro)。モルモット鼻アレルギーモデルにおいて、鼻粘膜への好酸球浸潤を経口投与で抑制した21)

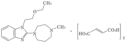
    19. 有効成分に関する理化学的知見

    一般的名称

    エメダスチンフマル酸塩(Emedastine Fumarate)

    化学名

    1-(2-Ethoxyethyl)-2-(4-methyl-1,4-diazepan-1-yl)-1H-benzimidazole difumarate

    分子式

    C17H26N4O・2C4H4O4

    分子量

    534.56

    性状

    白色~微黄色の結晶性の粉末である。水に溶けやすく、メタノールにやや溶けやすく、エタノール(99.5)にやや溶けにくく、酢酸(100)に溶けにくい。結晶多形が認められる。

    化学構造式

    融点

    149~152℃

    22. 包装

    • *〈レミカットカプセル1mg〉

      PTP:100カプセル(10カプセル×10)、500カプセル(10カプセル×50)

    • *〈レミカットカプセル2mg〉

      PTP:100カプセル(10カプセル×10)、500カプセル(10カプセル×50)

    24. 文献請求先及び問い合わせ先

    興和株式会社 くすり相談センター

    〒103-8433 東京都中央区日本橋本町三丁目4-14

    電話 0120-508-514
    03-3279-7587
    受付時間 9:00~17:00(土・日・祝日・弊社休日を除く)

    26. 製造販売業者等

    26.1 製造販売元

    興和株式会社

    東京都中央区日本橋本町三丁目4-14

    〒100-0013 東京都千代田区霞が関3-3-2 新霞が関ビル

    画面を閉じる

    Copyright © Pharmaceuticals and Medical Devices Agency, All Rights reserved.