医療用医薬品 詳細表示

パンテチン注200mg「KCC」

添付文書番号

3133400A3091_1_03

企業コード

270173

作成又は改訂年月

2023年12月改訂(第1版)

日本標準商品分類番号

873133

薬効分類名

パントテン酸系製剤

承認等

パンテチン注200mg「KCC」

販売名コード

YJコード

3133400A3091

販売名英語表記

PANTETHINE Injection

販売名ひらがな

ぱんてちんちゅう200mg「KCC」

承認番号等

承認番号

30200AMX00530

販売開始年月

1981年9月

貯法・有効期間

貯法

室温保存

有効期間

3年

一般的名称

パンテチン

3. 組成・性状

3.1 組成

パンテチン注200mg「KCC」

有効成分1管(2mL)中
日局パンテチン1)   250mg
(パンテチンとして   200mg )
添加剤酢酸ナトリウム水和物   9.54mg
氷酢酸   7.80mg
pH調節剤   適量

1) 日本薬局方パンテチン:パンテチン80%を含む水溶液

3.2 製剤の性状

パンテチン注200mg「KCC」

剤形水性注射剤
色調無色澄明の液
pH4.2~5.2
浸透圧比1.0~1.6(生理食塩液に対する比)

4. 効能又は効果

  • パントテン酸欠乏症の予防および治療
  • パントテン酸の需要が増大し、食事からの摂取が不十分な際の補給(消耗性疾患、甲状腺機能亢進症、妊産婦、授乳婦など)
  • 下記疾患のうち、パントテン酸の欠乏または代謝障害が関与すると推定される場合
    • ・高脂血症
      ・術後腸管麻痺
      ・ストレプトマイシンおよびカナマイシンによる副作用の予防および治療
      ・急・慢性湿疹
      ・血液疾患の血小板数ならびに出血傾向の改善

    なお、上記の適応に対して、効果がないのに月余にわたって漫然と使用すべきでない。

6. 用法及び用量

通常、成人にはパンテチンとして1日20~100mg、血液疾患、術後腸管麻痺には1日200mgを1~2回に分けて、皮下、筋肉内または静脈内注射する。
なお、年齢、症状により適宜増減する。

11. 副作用

次の副作用があらわれることがあるので、観察を十分に行い、異常が認められた場合には投与を中止するなど適切な処置を行うこと。

11.2 その他の副作用

0.1~5%未満

0.1%未満

消化器

腹部膨満、腹痛

下痢・軟便、悪心

注)発現頻度は文献集計に基づく。

14. 適用上の注意

14.1 薬剤投与時の注意

筋肉内注射にあたっては、組織・神経等への影響を避けるため下記の点に注意すること。

  • 注射部位については、神経走行部位を避けて慎重に投与すること。
  • くりかえし注射する場合には、左右交互に注射するなど、同一部位を避けること。なお、小児等には特に注意すること。
  • 注射針を刺入したとき、激痛を訴えたり、血液の逆流をみた場合は、直ちに針を抜き、部位をかえて注射すること。

18. 薬効薬理

18.1 作用機序

パンテチンは、パンテテインのdisulfide型で、CoAの前駆物質である1)

18.2 腸管運動促進作用

無麻酔マウスにパンテチンを経口投与すると胃腸管輸送能の亢進がみられ、さらに麻酔下ウサギ及びイヌに静脈内投与すると腸管運動の亢進がみられる2)

18.3 血清HDL-コレステロールの増加作用

高コレステロール食飼育ウサギにおいて減少したHDL2及びHDL3を増加させる。この作用は、LDL及びVLDLの異化排泄を促進し、組織リポ蛋白リパーゼ活性の増加及び血中LCAT活性の増加により、VLDL→HDL産生を高めることが認められている1),3)

18.4 血管壁コレステロール代謝促進作用

高コレステロール食飼育ラットにおける血管壁ライソゾームのコレステロールエステラーゼ活性を有意に高め、血管壁へのコレステロールエステルの沈着を抑制することが認められている4)

18.5 血小板数の改善作用

抗ラット血小板ウサギ血清及び乏血小板血輸血による実験的血小板減少症に対して、パンテチンは血小板減少の抑制あるいは回復促進作用を示す。この作用は血小板産生系に直接作用するものと考えられている5)

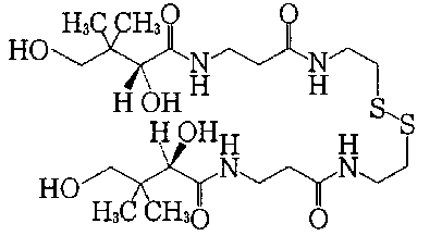
19. 有効成分に関する理化学的知見

一般的名称

パンテチン(Pantethine)

化学名

Bis(2-{3-[(2R)-2,4-dihydroxy-3,3-dimethylbutanoylamino]propanoylamino}ethyl)disulfide

分子式

C22H42N4O8S2

分子量

554.72

性状

無色~微黄色澄明の粘性の液である。水、メタノール又はエタノール(95)と混和する。光によって分解する。

化学構造式

22. 包装

2mL×50管

24. 文献請求先及び問い合わせ先

ネオクリティケア製薬株式会社 学術情報フリーダイヤル

〒112-0006 東京都文京区小日向4-2-8

TEL 0120-265-321
FAX 03-5840-5145

26. 製造販売業者等

26.1 製造販売元

ネオクリティケア製薬株式会社

神奈川県厚木市旭町四丁目18番29号

〒100-0013 東京都千代田区霞が関3-3-2 新霞が関ビル

画面を閉じる

Copyright © Pharmaceuticals and Medical Devices Agency, All Rights reserved.