医療用医薬品 詳細表示

ドネペジル塩酸塩OD錠3mg「サンド」/ドネペジル塩酸塩OD錠5mg「サンド」/ドネペジル塩酸塩OD錠10mg「サンド」

処方せん医薬品

添付文書番号
企業コード
作成又は改訂年月
日本標準商品分類番号
薬効分類名
承認等
一般的名称
2.禁忌(次の患者には投与しないこと)
3.組成・性状
3.1組成
3.2製剤の性状
4.効能又は効果
5.効能又は効果に関連する注意
6.用法及び用量
7.用法及び用量に関連する注意
8.重要な基本的注意
9.特定の背景を有する患者に関する注意
9.1合併症・既往歴等のある患者
9.5妊婦
9.6授乳婦
9.7小児等
10.相互作用
10.2併用注意(併用に注意すること)
11.副作用
11.1重大な副作用
11.2その他の副作用
13.過量投与
14.適用上の注意
15.その他の注意
15.1臨床使用に基づく情報
15.2非臨床試験に基づく情報
16.薬物動態
16.1血中濃度
16.2吸収
16.3分布
16.4代謝
16.5排泄
16.6特定の背景を有する患者
16.8その他
17.臨床成績
17.1有効性及び安全性に関する試験
17.2製造販売後調査等
18.薬効薬理
18.1作用機序
18.2AChE阻害作用及びAChEに対する選択性
18.3脳内AChE阻害作用及びACh増加作用
18.4学習障害改善作用
19.有効成分に関する理化学的知見
20.取扱い上の注意
22.包装
23.主要文献
24.文献請求先及び問い合わせ先
26.製造販売業者等

ドネペジル塩酸塩OD錠3mg「サンド」/ドネペジル塩酸塩OD錠5mg「サンド」/ドネペジル塩酸塩OD錠10mg「サンド」

添付文書番号

1190012F3312_1_13

企業コード

270428

作成又は改訂年月

**2024年9月改訂(第2版)
2023年5月改訂(第1版)

日本標準商品分類番号

87119

薬効分類名

アルツハイマー型、レビー小体型認知症治療剤

承認等

ドネペジル塩酸塩OD錠3mg「サンド」

販売名コード

YJコード

1190012F3312

販売名英語表記

Donepezil Hydrochloride OD Tablets 3mg[SANDOZ]

販売名ひらがな

どねぺじるえんさんえんODじょう3mg「さんど」

承認番号等

承認番号

22400AMX01184

販売開始年月

2012年12月

貯法・有効期間

貯法

室温保存

有効期間

3年

ドネペジル塩酸塩OD錠5mg「サンド」

販売名コード

YJコード

1190012F4319

販売名英語表記

Donepezil Hydrochloride OD Tablets 5mg[SANDOZ]

販売名ひらがな

どねぺじるえんさんえんODじょう5mg「さんど」

承認番号等

承認番号

22400AMX01185

販売開始年月

2012年12月

貯法・有効期間

貯法

室温保存

有効期間

3年

ドネペジル塩酸塩OD錠10mg「サンド」

販売名コード

YJコード

1190012F6206

販売名英語表記

Donepezil Hydrochloride OD Tablets 10mg[SANDOZ]

販売名ひらがな

どねぺじるえんさんえんODじょう10mg「さんど」

承認番号等

承認番号

22500AMX01501

販売開始年月

2013年12月

貯法・有効期間

貯法

室温保存

有効期間

3年

一般的名称

ドネペジル塩酸塩口腔内崩壊錠

2. 禁忌(次の患者には投与しないこと)

本剤の成分又はピペリジン誘導体に対し過敏症の既往歴のある患者

3. 組成・性状

3.1 組成

ドネペジル塩酸塩OD錠3mg「サンド」

有効成分1錠中
日局 ドネペジル塩酸塩   3.0mg
添加剤D-マンニトール、結晶セルロース、アスパルテーム(L-フェニルアラニン化合物)、軽質無水ケイ酸、デンプングリコール酸ナトリウム、黄色三二酸化鉄、トウモロコシデンプン、香料、デキストリン、アラビアゴム末、トリアセチン、マルトール、ステアリン酸マグネシウム

ドネペジル塩酸塩OD錠5mg「サンド」

有効成分1錠中
日局 ドネペジル塩酸塩   5.0mg
添加剤D-マンニトール、結晶セルロース、アスパルテーム(L-フェニルアラニン化合物)、軽質無水ケイ酸、デンプングリコール酸ナトリウム、トウモロコシデンプン、香料、デキストリン、アラビアゴム末、トリアセチン、マルトール、ステアリン酸マグネシウム

ドネペジル塩酸塩OD錠10mg「サンド」

有効成分1錠中
日局 ドネペジル塩酸塩   10.0mg
添加剤D-マンニトール、結晶セルロース、アスパルテーム(L-フェニルアラニン化合物)、軽質無水ケイ酸、デンプングリコール酸ナトリウム、三二酸化鉄、トウモロコシデンプン、香料、デキストリン、アラビアゴム末、トリアセチン、マルトール、ステアリン酸マグネシウム

3.2 製剤の性状

ドネペジル塩酸塩OD錠3mg「サンド」

剤形口腔内崩壊錠
色調淡黄色
外形表面
裏面
側面
大きさ直径7.6mm
厚さ2.7mm
質量140mg
識別コードDO3(PTP)

ドネペジル塩酸塩OD錠5mg「サンド」

剤形口腔内崩壊錠
色調白色
外形表面
裏面
側面
大きさ直径7.6mm
厚さ2.7mm
質量140mg
識別コードDO5(PTP)

ドネペジル塩酸塩OD錠10mg「サンド」

剤形口腔内崩壊錠
色調淡赤色
外形表面
裏面
側面
大きさ直径9.5mm
厚さ3.4mm
質量280mg
識別コードDO10(PTP)

4. 効能又は効果

アルツハイマー型認知症及びレビー小体型認知症における認知症症状の進行抑制

5. 効能又は効果に関連する注意

  • 〈効能共通〉
    1. 5.1 本剤がアルツハイマー型認知症及びレビー小体型認知症の病態そのものの進行を抑制するという成績は得られていない。
    2. 5.2 アルツハイマー型認知症及びレビー小体型認知症以外の認知症性疾患において本剤の有効性は確認されていない。
    3. 5.3 他の認知症性疾患との鑑別診断に留意すること。
  • 〈アルツハイマー型認知症における認知症症状の進行抑制〉
    1. 5.4 本剤は、アルツハイマー型認知症と診断された患者にのみ使用すること。
  • 〈レビー小体型認知症における認知症症状の進行抑制〉
    1. 5.5 *本剤は、認知症治療に精通し、「17. 臨床成績」の項の内容について十分に理解した医師又はその指導の下で、レビー小体型認知症の臨床診断基準に基づき、適切な症状観察や検査等によりレビー小体型認知症と診断され、本剤の使用が適切と判断された患者にのみ使用すること。
    2. 5.6 *精神症状・行動障害、全般臨床症状に対する本剤の有効性は確認されていない。,,

6. 用法及び用量

  • 〈アルツハイマー型認知症における認知症症状の進行抑制〉

    通常、成人にはドネペジル塩酸塩として1日1回3mgから開始し、1~2週間後に5mgに増量し、経口投与する。高度のアルツハイマー型認知症患者には、5mgで4週間以上経過後、10mgに増量する。なお、症状により適宜減量する。

  • 〈レビー小体型認知症における認知症症状の進行抑制〉

    *通常、成人にはドネペジル塩酸塩として1日1回3mgから開始し、1~2週間後に5mgに増量し、経口投与する。5mgで4週間以上経過後、10mgに増量する。なお、症状により5mgまで減量できる。
    投与開始12週間後までを目安に、認知機能検査、患者及び家族・介護者から自他覚症状の聴取等による有効性評価を行い、認知機能、精神症状・行動障害、日常生活動作等を総合的に評価してベネフィットがリスクを上回ると判断できない場合は、投与を中止すること。投与開始12週間後までの有効性評価の結果に基づき投与継続を判断した場合であっても、定期的に有効性評価を行い、投与継続の可否を判断すること。

7. 用法及び用量に関連する注意

  1. 7.1 3mg/日投与は有効用量ではなく、消化器系副作用の発現を抑える目的なので、原則として1~2週間を超えて使用しないこと。
  2. 7.2 10mg/日に増量する場合は、消化器系副作用に注意しながら投与すること。
  3. 7.3 医療従事者、家族などの管理のもとで投与すること。

8. 重要な基本的注意

  1. 8.1 レビー小体型認知症では、日常生活動作が制限される、あるいは薬物治療を要する程度の錐体外路障害を有する場合、本剤の投与により、錐体外路障害悪化の発現率が高まる傾向がみられていることから、重篤な症状に移行しないよう観察を十分に行い、症状に応じて減量又は中止など適切な処置を行うこと。
  2. 8.2 定期的に認知機能検査を行う等患者の状態を確認し、本剤投与で効果が認められない場合、漫然と投与しないこと。
  3. 8.3 他のアセチルコリンエステラーゼ阻害作用を有する同効薬(ガランタミン等)と併用しないこと。
  4. 8.4 アルツハイマー型認知症及びレビー小体型認知症では、自動車の運転等の機械操作能力が低下する可能性がある。また、本剤により、意識障害、めまい、眠気等があらわれることがあるので、自動車の運転等危険を伴う機械の操作に従事しないよう患者等に十分に説明すること。

9. 特定の背景を有する患者に関する注意

9.1 合併症・既往歴等のある患者

  1. 9.1.1 心疾患(心筋梗塞、弁膜症、心筋症等)を有する患者、電解質異常(低カリウム血症等)のある患者

    *QT延長、心室頻拍(Torsade de pointesを含む)、心室細動、洞不全症候群、洞停止、高度徐脈、心ブロック(洞房ブロック、房室ブロック)等があらわれることがある。

  2. 9.1.2 洞不全症候群、心房内及び房室接合部伝導障害等の心疾患のある患者

    迷走神経刺激作用により徐脈あるいは不整脈を起こす可能性がある。

  3. 9.1.3 消化性潰瘍の既往歴のある患者

    胃酸分泌の促進及び消化管運動の促進により消化性潰瘍を悪化させる可能性がある。

  4. 9.1.4 気管支喘息又は閉塞性肺疾患の既往歴のある患者

    気管支平滑筋の収縮及び気管支粘液分泌の亢進により症状が悪化する可能性がある。

  5. 9.1.5 錐体外路障害(パーキンソン病、パーキンソン症候群等)のある患者

    線条体のコリン系神経を亢進することにより、症状を誘発又は増悪する可能性がある。

9.5 妊婦

妊婦又は妊娠している可能性のある女性には、治療での有益性が危険性を上回ると判断される場合にのみ投与すること。
動物実験(ラット経口10mg/kg)で出生率の減少、死産児頻度の増加及び生後体重の増加抑制が報告されている。

9.6 授乳婦

治療上の有益性及び母乳栄養の有益性を考慮し、授乳の継続又は中止を検討すること。
ラットに14C-ドネペジル塩酸塩を経口投与したとき、乳汁中へ移行することが認められている。

9.7 小児等

小児等を対象とした臨床試験は実施していない。

10. 相互作用

  • 本剤は、主として薬物代謝酵素CYP3A4及び一部CYP2D6で代謝される。

10.2 併用注意(併用に注意すること)

薬剤名等臨床症状・措置方法機序・危険因子

スキサメトニウム塩化物水和物

筋弛緩作用を増強する可能性がある。

併用薬剤の脱分極性筋弛緩作用を増強する可能性がある。

**コリン賦活剤

  • アセチルコリン塩化物
    カルプロニウム塩化物
    ベタネコール塩化物

コリンエステラーゼ阻害剤

  • アンベノニウム塩化物
    ジスチグミン臭化物
    ピリドスチグミン臭化物
    ネオスチグミン等

迷走神経刺激作用などコリン刺激作用が増強される可能性がある。

本剤とともにコリン作動性の作用メカニズムを有している。

CYP3A阻害剤

  • イトラコナゾール
    エリスロマイシン等

本剤の代謝を阻害し、作用を増強させる可能性がある。

併用薬剤のチトクロームP450(CYP3A4)阻害作用による。

ブロモクリプチンメシル酸塩
イストラデフィリン

本剤の代謝を阻害し、作用を増強させる可能性がある。

併用薬剤のチトクロームP450(CYP3A4)阻害作用による。

キニジン硫酸塩水和物等

本剤の代謝を阻害し、作用を増強させる可能性がある。

併用薬剤のチトクロームP450(CYP2D6)阻害作用による。

カルバマゼピン
デキサメタゾン
フェニトイン
フェノバルビタール
リファンピシン等

本剤の代謝を促進し、作用を減弱させる可能性がある。

併用薬剤のチトクロームP450(CYP3A4)の誘導による。

**,*中枢性抗コリン剤

  • トリヘキシフェニジル塩酸塩
    ピロヘプチン塩酸塩
    ビペリデン塩酸塩等

アトロピン系抗コリン剤

  • ブチルスコポラミン臭化物
    アトロピン硫酸塩水和物等

本剤と抗コリン剤は互いに干渉し、それぞれの効果を減弱させる可能性がある。

本剤と抗コリン剤の作用が、相互に拮抗する。

非ステロイド性消炎鎮痛剤

消化性潰瘍を起こす可能性がある。

コリン系の賦活により胃酸分泌が促進される。

11. 副作用

次の副作用があらわれることがあるので、観察を十分に行い、異常が認められた場合には投与を中止するなど適切な処置を行うこと。

11.1 重大な副作用

  1. 11.1.1 QT延長(0.1~1%未満)、心室頻拍(Torsade de pointesを含む)、心室細動、洞不全症候群、洞停止、高度徐脈(各頻度不明)、心ブロック(洞房ブロック、房室ブロック)、失神(各0.1~1%未満)

    *心停止に至ることがある。

  2. 11.1.2 心筋梗塞、心不全(各0.1%未満)
  3. 11.1.3 消化性潰瘍(胃・十二指腸潰瘍)(0.1%未満)、十二指腸潰瘍穿孔(頻度不明)、消化管出血(0.1%未満)

    本剤のコリン賦活作用による胃酸分泌及び消化管運動の促進によって消化性潰瘍(胃・十二指腸潰瘍)、十二指腸潰瘍穿孔、消化管出血があらわれることがある。

  4. 11.1.4 肝炎(頻度不明)、肝機能障害(0.1~1%未満)、黄疸(頻度不明)
  5. 11.1.5 脳性発作(てんかん、痙攣等)(0.1~1%未満)、脳出血、脳血管障害(各0.1%未満)
  6. 11.1.6 錐体外路障害(アルツハイマー型認知症:0.1~1%未満、レビー小体型認知症:9.5%)

    寡動、運動失調、ジスキネジア、ジストニア、振戦、不随意運動、歩行異常、姿勢異常、言語障害等の錐体外路障害があらわれることがある。

  7. 11.1.7 悪性症候群(Syndrome malin)(0.1%未満)

    無動緘黙、強度の筋強剛、嚥下困難、頻脈、血圧の変動、発汗等が発現し、それに引き続き発熱がみられる場合は、投与を中止し、体冷却、水・電解質管理等の全身管理とともに適切な処置を行うこと。本症発症時には、白血球の増加や血清CKの上昇がみられることが多く、また、ミオグロビン尿を伴う腎機能の低下がみられることがある。

  8. 11.1.8 横紋筋融解症(頻度不明)

    筋肉痛、脱力感、CK上昇、血中及び尿中ミオグロビン上昇等があらわれた場合には、投与を中止し、適切な処置を行うこと。また、横紋筋融解症による急性腎障害の発症に注意すること。

  9. 11.1.9 呼吸困難(0.1%未満)
  10. 11.1.10 急性膵炎(0.1%未満)
  11. 11.1.11 急性腎障害(0.1%未満)
  12. 11.1.12 原因不明の突然死(0.1%未満)
  13. 11.1.13 血小板減少(0.1%未満)

11.2 その他の副作用

1~3%未満

0.1~1%未満

0.1%未満

頻度不明

過敏症

発疹、瘙痒感

消化器

食欲不振、嘔気、嘔吐、下痢

腹痛、便秘、流涎

嚥下障害、便失禁

精神神経系

興奮、不穏、不眠、眠気、易怒性、幻覚、攻撃性、せん妄、妄想、多動、抑うつ、無感情

リビドー亢進、多弁、躁状態、錯乱

悪夢

中枢・末梢神経系

徘徊、振戦、頭痛、めまい

昏迷

肝臓

LDH、AST、ALT、γ-GTP、Al-Pの上昇

循環器

動悸、血圧上昇、血圧低下、上室性期外収縮、心室性期外収縮

心房細動

泌尿器

BUNの上昇、尿失禁、頻尿

尿閉

血液

白血球減少、ヘマトクリット値減少、貧血

その他

CK、総コレステロール、トリグリセライド、アミラーゼ、尿アミラーゼの上昇、倦怠感、むくみ、転倒、筋痛、体重減少

顔面紅潮、脱力感、胸痛

発汗、顔面浮腫、発熱、縮瞳

発現頻度は、軽度及び中等度のアルツハイマー型認知症承認時までの臨床試験及び使用成績調査、高度のアルツハイマー型認知症及びレビー小体型認知症承認時までの臨床試験の結果をあわせて算出した。

13. 過量投与

  1. 13.1 症状

    コリンエステラーゼ阻害剤の過量投与は高度な嘔気、嘔吐、流涎、発汗、徐脈、低血圧、呼吸抑制、虚脱、痙攣及び縮瞳等のコリン系副作用を引き起こす可能性がある。筋脱力の可能性もあり、呼吸筋の弛緩により死亡に至ることもあり得る。

  2. 13.2 処置

    アトロピン硫酸塩水和物のような3級アミン系抗コリン剤が本剤の過量投与の解毒剤として使用できる。アトロピン硫酸塩水和物の1.0~2.0mgを初期投与量として静注し、臨床反応に基づいてその後の用量を決める。他のコリン作動薬では4級アンモニウム系抗コリン剤と併用した場合、血圧及び心拍数が不安定になることが報告されている。

14. 適用上の注意

14.1 薬剤交付時の注意

  1. 14.1.1 PTP包装の薬剤はPTPシートから取り出して服用するよう指導すること。PTPシートの誤飲により、硬い鋭角部が食道粘膜へ刺入し、更には穿孔をおこして縦隔洞炎等の重篤な合併症を併発することがある。

14.2 薬剤服用時の注意

  1. 14.2.1 本剤は舌の上にのせて唾液を浸潤させると崩壊するため、水なしで服用可能である。また、水で服用することもできる。
  2. 14.2.2 本剤は寝たままの状態では、水なしで服用させないこと。

15. その他の注意

15.1 臨床使用に基づく情報

外国において、NINDS-AIREN診断基準に合致した脳血管性認知症(本適応は国内未承認)と診断された患者を対象(アルツハイマー型認知症と診断された患者は除外)に6カ月間のプラセボ対照無作為二重盲検試験3試験が実施された。最初の試験の死亡率はドネペジル塩酸塩5mg群1.0%(2/198例)、ドネペジル塩酸塩10mg群2.4%(5/206例)及びプラセボ群3.5%(7/199例)であった。
2番目の試験の死亡率はドネペジル塩酸塩5mg群1.9%(4/208例)、ドネペジル塩酸塩10mg群1.4%(3/215例)及びプラセボ群0.5%(1/193例)であった。3番目の試験の死亡率はドネペジル塩酸塩5mg群1.7%(11/648例)及びプラセボ群0%(0/326例)であり両群間に統計学的な有意差がみられた。なお、3試験を合わせた死亡率はドネペジル塩酸塩(5mg及び10mg)群1.7%、プラセボ群1.1%であったが、統計学的な有意差はなかった。

15.2 非臨床試験に基づく情報

動物実験(イヌ)で、ケタミン・ペントバルビタール麻酔又はペントバルビタール麻酔下にドネペジル塩酸塩を投与した場合、呼吸抑制があらわれ死亡に至ったとの報告がある。

16. 薬物動態

16.1 血中濃度

  1. 16.1.1 単回投与

    健康成人男子を対象に、錠剤を絶食下単回経口投与したときの最高血漿中濃度(Cmax)及び血漿中濃度−時間曲線下面積(AUC)は投与量の増加に依存して高くなった。5mg又は10mg単回投与時における薬物動態パラメータを表に示した1)

    健康成人男子に5mg又は10mg単回経口投与した際の薬物動態パラメータ(錠剤)

    投与量

    Cmax
    (ng/mL)

    Tmax
    (hr)

    AUC
    (ng・hr/mL)

    T1/2
    (hr)

    CL/F
    (L/hr/kg)

    5mg

    9.97±2.08

    3.00±1.10

    591.72±155.87

    89.3±36.0

    0.141±0.040

    10mg

    28.09±9.81

    2.42±1.24

    1098.40±304.63

    75.7±17.3

    0.153±0.043

    CL/F:総クリアランス
    (Mean±S.D.,n=6)

  2. 16.1.2 反復投与

    健康成人男子を対象に、錠剤5mg又は8mg1) を1日1回14日間反復経口投与した。反復投与後の血漿中濃度は投与後約2週間で定常状態に達し、蓄積性あるいは体内動態に変化はないと考えられた2)

  3. 16.1.3 生物学的同等性試験
    • 〈ドネペジル塩酸塩OD錠5mg「サンド」〉

      ドネペジル塩酸塩OD錠5mg「サンド」とアリセプトD錠5mgを、クロスオーバー法によりそれぞれ1錠(ドネペジル塩酸塩として5mg)健康成人男子に絶食下単回経口投与(水あり服用及び水なし服用)して血漿中未変化体濃度を測定した。得られた未変化体の薬物動態パラメータ(AUCt、Cmax)について90%信頼区間法にて統計解析を行った結果、log(0.80)~log(1.25)の範囲内であり、両剤の生物学的同等性が確認された3)

      ドネペジル塩酸塩OD錠5mg「サンド」投与後の血漿中濃度推移(水あり服用)
      薬物動態パラメータ(水あり服用)

      AUCt
      (ng・hr/mL)

      Cmax
      (ng/mL)

      Tmax
      (hr)

      T1/2
      (hr)

      ドネペジル塩酸塩OD錠5mg「サンド」

      276.744±72.394

      12.965±4.810

      2.19±0.57

      47.98±11.37

      アリセプトD錠5mg

      272.076±68.321

      11.988±3.912

      2.63±0.90

      46.39±13.35

      (Mean±S.D.,n=26)

      ドネペジル塩酸塩OD錠5mg「サンド」投与後の血漿中濃度推移(水なし服用)
      薬物動態パラメータ(水なし服用)

      AUCt
      (ng・hr/mL)

      Cmax
      (ng/mL)

      Tmax
      (hr)

      T1/2
      (hr)

      ドネペジル塩酸塩OD錠5mg「サンド」

      290.298±70.323

      11.707±2.427

      2.56±0.75

      38.89±10.60

      アリセプトD錠5mg

      280.010±69.207

      11.154±2.287

      2.73±0.67

      38.79±9.28

      (Mean±S.D.,n=26)

      血漿中濃度並びにAUC、Cmax等のパラメータは、被験者の選択、体液の採取回数・時間等の試験条件によって異なる可能性がある。

16.2 吸収

  1. 16.2.1 食事の影響

    健康成人男子を対象に吸収に及ぼす食事の影響を錠2mg1) 検討した結果、摂食時投与の血漿中濃度は絶食時とほぼ同様な推移を示し、食事による影響は認められなかった4)

16.3 分布

In vitro試験において、ヒト血漿蛋白結合率は88.9%であり、in vivoでの血清蛋白結合率は92.6%であった5),6)

16.4 代謝

主代謝経路はN-脱アルキル化反応であり、それに次いでO-脱メチル化反応とそれに続くグルクロン酸抱合反応であると考えられた。N-脱アルキル化反応には主としてCYP3A4が、またO-脱メチル化反応には主としてCYP2D6が関与していることが示唆された7)

16.5 排泄

健康成人男子を対象に錠2mg1) を単回経口投与したとき、投与後7日目までに尿中に排泄された未変化体は投与量の9.4%であり、代謝物を含めると29.6%であった。また、10mgの単回経口投与後、11日目までに排泄された未変化体は尿中で10.6%、糞中で1.7%であった。未変化体及び代謝物を合計した尿中排泄率は35.9%であり、糞中排泄率は8.4%であった8)

16.6 特定の背景を有する患者

  1. 16.6.1 腎機能障害患者

    腎機能障害患者を対象に錠5mgを単回経口投与したときの薬物動態パラメータには、健康成人のそれと有意差は認められなかった9) (外国人データ)。

  2. 16.6.2 肝機能障害患者

    アルコール性肝硬変患者を対象に錠5mgを単回経口投与したときの薬物動態パラメータは健康成人と比較して肝疾患患者のCmaxが1.4倍高く有意差が認められたが、他のパラメータに有意差は認められなかった10) (外国人データ)。

  3. 16.6.3 高齢者

    高齢者を対象に錠2mg1) を単回経口投与したときの薬物動態パラメータは健康成人と比較して、消失半減期が1.5倍有意に延長したが、Cmax、Tmax及びAUCに有意な差は認められなかった11)

16.8 その他

  • 〈ドネペジル塩酸塩OD錠3mg「サンド」〉

    ドネペジル塩酸塩OD錠3mg「サンド」は溶出挙動に基づき、ドネペジル塩酸塩OD錠5mg「サンド」と生物学的に同等とみなされた12)

  • 〈ドネペジル塩酸塩OD錠10mg「サンド」〉

    ドネペジル塩酸塩OD錠10mg「サンド」は溶出挙動に基づき、ドネペジル塩酸塩OD錠5mg「サンド」と生物学的に同等とみなされた13)

1) 承認用法及び用量は、アルツハイマー型認知症では「通常、成人にはドネペジル塩酸塩として1日1回3mgから開始し、1~2週間後に5mgに増量し、経口投与する。高度のアルツハイマー型認知症患者には、5mgで4週間以上経過後、10mgに増量する。なお、症状により適宜減量する。」、レビー小体型認知症では「通常、成人にはドネペジル塩酸塩として1日1回3mgから開始し、1~2週間後に5mgに増量し、経口投与する。5mgで4週間以上経過後、10mgに増量する。なお、症状により5mgまで減量できる。」である。

17. 臨床成績

17.1 有効性及び安全性に関する試験

  • 〈軽度及び中等度のアルツハイマー型認知症〉
    1. 17.1.1 国内第III相試験

      軽度及び中等度のアルツハイマー型認知症患者268例を対象にドネペジル塩酸塩錠5mg(3mg/日を1週間投与後、5mg/日を23週間投与)又はプラセボを24週間投与する二重盲検比較試験を実施した。最終全般臨床症状評価において5mg群はプラセボ群と比較して有意に優れていた。「改善」以上の割合は5mg群17%、プラセボ群13%、「軽度悪化」以下の割合は5mg群17%、プラセボ群43%であった。

      最終全般臨床症状評価

      判定
      投与群

      著明
      改善

      改善

      軽度
      改善

      不変

      軽度
      悪化

      悪化

      著明
      悪化

      判定
      不能

      合計

      5mg

      例数

      1

      19

      40

      36

      15

      4

      0

      1

      116

      %

      (1)

      (16)

      (34)

      (31)

      (13)

      (3)

      (0)

      (1)

      区分%

      (17)

      (34)

      (31)

      (17)

      プラセボ

      例数

      1

      13

      10

      40

      21

      21

      5

      1

      112

      %

      (1)

      (12)

      (9)

      (36)

      (19)

      (19)

      (4)

      (1)

      区分%

      (13)

      (9)

      (36)

      (43)

      認知機能を評価するADAS-Jcog得点の経時変化を表に示す(最終解析対象:205例)。投与開始時との得点差の平均では、投与12週後より5mg群がプラセボ群と比較して有意な改善が認められた。最終時の5mg群とプラセボ群の投与前後の変化量の差は2.44点であった。

      ADAS-Jcogの経時変化

      評価時期

      投与群

      0週からの変化量※1

      変化量の群間比較

      平均値±S.E.(n)

      平均差※2

      12週

      5mg

      -3.03±0.47(106)

      プラセボ

      -0.84±0.50(101)

      2.19

      24週

      5mg

      -3.07±0.50(96)

      プラセボ

      -0.11±0.56(86)

      2.96

      最終※3

      5mg

      -2.70±0.48(107)

      プラセボ

      -0.26±0.52(98)

      2.44

      (マイナス値は改善を示す。)

      重症度評価尺度であるCDRの経時変化を表に示す(最終解析対象:228例)。投与開始時との得点差の平均では、投与12週後より5mg群がプラセボ群と比較して有意な改善が認められた14),15)

      CDR合計点の経時変化

      評価時期

      投与群

      0週からの変化量※1

      変化量の群間比較

      平均値±S.E.(n)

      平均差※2

      12週

      5mg

      -0.12±0.08(113)

      プラセボ

      0.23±0.10(109)

      0.35

      24週

      5mg

      -0.14±0.13(104)

      プラセボ

      0.72±0.17 (95)

      0.86

      最終※3

      5mg

      -0.10±0.12(116)

      プラセボ

      0.75±0.15(112)

      0.85

      (マイナス値は改善を示す。)

      ※1:[各評価時期の値]−[0週の値]
      ※2:[プラセボ群の0週からの変化量の平均値]−[5mg群の0週からの変化量の平均値]
      ※3:最終時は原則として24週時の評価としたが、中止・脱落例については、12週以上の服薬がある場合の最終データを解析の対象とした。

  • 〈高度のアルツハイマー型認知症〉
    1. 17.1.2 国内第II相試験

      高度のアルツハイマー型認知症患者302例を対象にドネペジル塩酸塩錠10mg(3mg/日を2週間投与後、5mg/日を4週間投与、次いで10mg/日を18週間投与)、5mg(3mg/日を2週間投与後、5mg/日を22週間投与)又はプラセボを24週間投与する二重盲検比較試験を実施した。
      CIBIC plus(全般的臨床症状評価)において10mg群はプラセボ群と比較して有意に優れていた(最終解析対象:287例)。

      最終時のCIBIC plus

      判定
      投与群

      著明
      改善

      改善

      軽度
      改善

      不変

      軽度
      悪化

      悪化

      著明
      悪化

      判定
      不能

      合計

      10mg

      例数

      0

      7

      35

      20

      19

      9

      0

      0

      90

      %

      (0)

      (8)

      (39)

      (22)

      (21)

      (10)

      (0)

      (0)

      5mg

      例数

      0

      4

      27

      26

      30

      9

      0

      0

      96

      %

      (0)

      (4)

      (28)

      (27)

      (31)

      (9)

      (0)

      (0)

      プラセボ

      例数

      0

      6

      18

      30

      34

      11

      1

      1

      101

      %

      (0)

      (6)

      (18)

      (30)

      (34)

      (11)

      (1)

      (1)

      認知機能を評価するSIB得点の最終時の変化量を表に示す(最終解析対象:290例)。投与開始時との得点差の平均では、5mg群、10mg群それぞれ、6.7点、9.0点であり、プラセボ群と比較して有意な改善が認められた16),17)

      最終時※1のSIB

      投与群

      0週からの変化量※2

      変化量の群間比較

      平均値±S.E.(n)

      平均差※3

      10mg

      4.7±1.1(92)

      9.0

      5mg

      2.5±1.0(96)

      6.7

      プラセボ

      -4.2±1.0(102)

      (プラス値は改善を示す。)

      ※1:最終時は原則として24週時の評価としたが、中止・脱落例については、最終データを解析の対象とした。
      ※2:[最終の値]−[0週の値]
      ※3:[各投与群の0週からの変化量の平均値]−[プラセボ群の0週からの変化量の平均値]

  • 〈レビー小体型認知症〉
    1. 17.1.3 国内第II相試験

      レビー小体型認知症患者(MMSE得点:10点以上26点以下)140例を対象にドネペジル塩酸塩錠10mg(3mg/日を2週間投与後、5mg/日を4週間投与、次いで10mg/日を6週間投与)、5mg(3mg/日を2週間投与後、5mg/日を10週間投与)、3mg又はプラセボを12週間投与する二重盲検比較試験を実施した。
      全般臨床症状を評価するCIBIC plusにおいて、3mg群、5mg群、10mg群はいずれもプラセボ群と比較して有意に優れていた。

      最終時のCIBIC plus

      判定
      投与群

      著明
      改善

      改善

      軽度
      改善

      不変

      軽度
      悪化

      悪化

      著明
      悪化

      合計

      10mg

      例数

      1

      3

      13

      8

      1

      0

      0

      26

      %

      (4)

      (12)

      (50)

      (31)

      (4)

      (0)

      (0)

      5mg

      例数

      5

      5

      10

      4

      2

      2

      0

      28

      %

      (18)

      (18)

      (36)

      (14)

      (7)

      (7)

      (0)

      3mg

      例数

      1

      5

      14

      6

      1

      0

      1

      28

      %

      (4)

      (18)

      (50)

      (21)

      (4)

      (0)

      (4)

      プラセボ

      例数

      0

      1

      8

      5

      10

      3

      0

      27

      %

      (0)

      (4)

      (30)

      (19)

      (37)

      (11)

      (0)

      認知機能を評価するMMSE得点の最終時の変化量のプラセボ群との差は、3mg群、5mg群、10mg群それぞれ1.8点、4.1点、2.8点であり、全ての群でプラセボ群と比較して有意な改善が認められた。

      最終時※1のMMSE

      投与群

      0週からの変化量※2

      変化量の群間比較

      平均値±S.D.(n)

      平均差※3

      10mg

      2.3±3.2(30)

      2.8

      5mg

      3.5±3.2(30)

      4.1

      3mg

      1.2±3.8(30)

      1.8

      プラセボ

      -0.6±2.7(28)

      (プラス値は改善を示す。)

      精神症状・行動障害のうち幻覚、認知機能変動を評価するNPI-2得点の最終時の変化量のプラセボ群との差は、3mg群、5mg群、10mg群それぞれ-2.4点、-3.6点、-5.2点であり、5mg群、10mg群でプラセボ群と比較して有意な改善が認められた。

      最終時※1のNPI-2

      投与群

      0週からの変化量※2

      変化量の群間比較

      平均値±S.D.(n)

      平均差※3

      10mg

      -5.1±4.6(31)

      -5.2

      5mg

      -3.4±3.9(30)

      -3.6

      3mg

      -2.2±6.1(30)

      -2.4

      プラセボ

      0.2±4.0(28)

      (マイナス値は改善を示す。)

      本試験は探索的試験であり、主要評価項目は選択せず、評価項目毎・用量毎の検定の多重性も制御していない18),19)

    2. 17.1.4 国内第III相試験

      レビー小体型認知症患者(MMSE得点:10点以上26点以下)142例を対象にドネペジル塩酸塩錠10mg(3mg/日を2週間投与後、5mg/日を4週間投与、次いで10mg/日を6週間投与)、5mg(3mg/日を2週間投与後、5mg/日を10週間投与)又はプラセボを12週間投与する二重盲検比較試験を実施した。
      認知機能を評価するMMSE得点の最終時の変化量のプラセボ群との差は、5mg群、10mg群それぞれ0.8点、1.6点であり、10mg群でプラセボ群と比較して有意な改善が認められた。

      最終時※1のMMSE

      投与群

      0週からの変化量※2

      変化量の群間比較

      平均値±S.E.(n)

      平均差※3

      10mg

      2.2±0.4(49)

      1.6

      5mg

      1.4±0.5(43)

      0.8

      プラセボ

      0.6±0.5(44)

      (プラス値は改善を示す。)

      精神症状・行動障害のうち幻覚、認知機能変動を評価するNPI-2得点の最終時の変化量では、5mg群、10mg群ともにプラセボ群との間に有意差は認められなかった。

      最終時※1のNPI-2

      投与群

      0週からの変化量※2

      変化量の群間比較

      平均値±S.E.(n)

      平均差※3

      10mg

      -2.8±0.5(49)

      -0.7

      5mg

      -1.8±0.6(45)

      0.4

      プラセボ

      -2.1±0.6(44)

      (マイナス値は改善を示す。)

      ※1:最終時は原則として12週時の評価としたが、中止・脱落例については、最終データを解析の対象とした。
      ※2:[最終の値]−[0週の値]
      ※3:[各投与群の0週からの変化量の平均値]−[プラセボ群の0週からの変化量の平均値]

      本試験では、認知機能障害、精神症状・行動障害の両症状に対するドネペジル塩酸塩の有効性がプラセボに比較して優れているという検証仮説は検証されていない20)

17.2 製造販売後調査等

  1. 17.2.1 レビー小体型認知症患者を対象とした国内製造販売後臨床試験

    レビー小体型認知症患者(MMSE得点:10点以上26点以下)を対象に、ドネペジル塩酸塩錠10mg(3mg/日を2週間投与後、5mg/日を4週間投与、次いで10mg/日又は減量時5mg/日を6週間投与)又はプラセボを12週間投与する治療期(二重盲検プラセボ対照)と、治療期を完了した被験者にドネペジル塩酸塩錠10mg(治療期ドネペジル塩酸塩群では10mg/日又は減量時5mg/日、治療期プラセボ群では3mg/日を2週間投与後、5mg/日を4週間投与、その後は10mg/日又は減量時5mg/日)を48週間投与する継続投与期(非盲検非対照)からなる製造販売後臨床試験を実施した。治療期では160例にドネペジル塩酸塩又はプラセボが投与され、主要評価項目である治療期における最終評価時の全般臨床症状(CIBIC plus総合評価)の分布において、プラセボ群とドネペジル塩酸塩群との間に有意差は認められなかった(p=0.408、2標本Wilcoxon検定、最終解析の有意水準は両側0.046)。

    最終評価時のCIBIC plus

    判定
    投与群

    著明
    改善

    改善

    軽度
    改善

    不変

    軽度
    悪化

    悪化

    著明
    悪化

    合計

    ドネペジル塩酸塩

    例数

    1

    10

    22

    17

    19

    5

    0

    74

    %

    (1)

    (14)

    (30)

    (23)

    (26)

    (7)

    (0)

    プラセボ

    例数

    0

    6

    18

    32

    14

    5

    1

    76

    %

    (0)

    (8)

    (24)

    (42)

    (18)

    (7)

    (1)

    なお、投与開始前の幻視の有無別での治療期における最終評価時の全般臨床症状(CIBIC plus総合評価)の分布は以下のとおりであった。

    最終評価時のCIBIC plus(幻視の有無別)

    判定
    投与群

    著明
    改善

    改善

    軽度
    改善

    不変

    軽度
    悪化

    悪化

    著明
    悪化

    合計

    幻視あり

    ドネペジル塩酸塩

    例数

    1

    10

    14

    9

    11

    3

    0

    48

    %

    (2)

    (21)

    (29)

    (19)

    (23)

    (6)

    (0)

    プラセボ

    例数

    0

    3

    14

    19

    10

    4

    1

    51

    %

    (0)

    (6)

    (27)

    (37)

    (20)

    (8)

    (2)

    幻視なし

    ドネペジル塩酸塩

    例数

    0

    0

    8

    8

    8

    2

    0

    26

    %

    (0)

    (0)

    (31)

    (31)

    (31)

    (8)

    (0)

    プラセボ

    例数

    0

    3

    4

    13

    4

    1

    0

    25

    %

    (0)

    (12)

    (16)

    (52)

    (16)

    (4)

    (0)

    143例が治療期を完了し、そのうち139例が継続投与期に移行し、105例が継続投与期を完了した。副次評価項目である各評価時期(治療期及び継続投与期)におけるMMSEのベースラインからの変化量の推移は下図のとおりであった。

    各評価時期(治療期及び継続投与期)におけるMMSEのベースラインからの変化量の推移
    プラセボ群は12週からドネペジル塩酸塩錠3mg/日、14週から5mg/日、18週から10mg/日投与を開始(5mg/日への減量可)。投与群、時点、投与群と時点の交互作用を因子とし、MMSEのベースライン値及びスクリーニング期間の変化量を共変量としたMMRM(Mixed Model for Repeated Measures)。共分散構造は無構造とした。

    本試験では、全般臨床症状に対するドネペジル塩酸塩の有効性がプラセボに比較して優れているという検証仮説は検証されていない。

18. 薬効薬理

18.1 作用機序

アルツハイマー型認知症及びレビー小体型認知症では、脳内コリン作動性神経系の顕著な障害が認められている。本薬は、アセチルコリン(ACh)を分解する酵素であるアセチルコリンエステラーゼ(AChE)を可逆的に阻害することにより脳内ACh量を増加させ、脳内コリン作動性神経系を賦活する20),21),22),23),24)

18.2 AChE阻害作用及びAChEに対する選択性

In vitroでのAChE阻害作用のIC50値は6.7nmol/Lであり、ブチリルコリンエステラーゼ阻害作用のIC50値は7,400nmol/Lであった。AChEに対し選択的な阻害作用を示した21)

18.3 脳内AChE阻害作用及びACh増加作用

経口投与により、ラット脳のAChEを阻害し、また脳内AChを増加させた22),23)

18.4 学習障害改善作用

脳内コリン作動性神経機能低下モデル(内側中隔野の破壊により学習機能が障害されたラット)において、経口投与により学習障害改善作用を示した24)

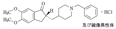
19. 有効成分に関する理化学的知見

一般的名称

ドネペジル塩酸塩(Donepezil Hydrochloride)

化学名

(2RS)-2-[(1-Benzylpiperidin-4-yl)methyl]-5,6-dimethoxy-2,3-dihydro-1H-inden-1-onemonohydrochloride

分子式

C24H29NO3・HCl

分子量

415.95

性状

白色の結晶性の粉末である。
水にやや溶けやすく、エタノール(99.5)に溶けにくい。
水溶液(1→100)は旋光性を示さない。
結晶多形が認められる。

化学構造式

20. 取扱い上の注意

開封後は湿気を避けて保存すること。

22. 包装

  • 〈ドネペジル塩酸塩OD錠3mg「サンド」〉

    14錠[14錠(PTP)×1]
    28錠[14錠(PTP)×2]

  • 〈ドネペジル塩酸塩OD錠5mg「サンド」〉

    56錠[14錠(PTP)×4]
    100錠[バラ]
    140錠[14錠(PTP)×10]

  • 〈ドネペジル塩酸塩OD錠10mg「サンド」〉

    56錠[14錠(PTP)×4]

23. 主要文献

1) 健康成人における薬物動態(単回経口投与試験)(アリセプト錠:1999年10月8日承認、申請資料概要ヘ.3.(1))

2) 健康成人における薬物動態(反復経口投与試験)(アリセプト錠:1999年10月8日承認、申請資料概要ヘ.3.(1))

3) 社内資料:生物学的同等性試験(錠5mg)

4) 食事の影響(アリセプト錠:1999年10月8日承認、申請資料概要ヘ.3.(2))

5) 血漿蛋白質との結合(アリセプト錠:1999年10月8日承認、申請資料概要ヘ.2.(2))

6) 健康成人における薬物動態(蛋白結合率)(アリセプト錠:1999年10月8日承認、申請資料概要ヘ.3.(1))

7) 松井賢司ほか:薬物動態, 2000;15(2):101-111

8) 健康成人における薬物動態(代謝及び排泄)(アリセプト錠:1999年10月8日承認、申請資料概要ヘ.3.(1))

9) Tiseo P, et al.:Br. J. Clin. Pharmacol., 1998;46.(S.1):56-60

10) Tiseo P, et al.:Br. J. Clin. Pharmacol., 1998;46.(S.1):51-55

11) 高齢者における薬物動態(アリセプト錠:1999年10月8日承認、申請資料概要ヘ.3.(3))

12) 社内資料:生物学的同等性試験(OD錠3mg)

13) 社内資料:生物学的同等性試験(OD錠10mg)

14) Homma A, et al.:Dement. Geriatr. Cogn. Disord., 2000;11(6):299-313

15) 臨床第III相試験(アリセプト錠:1999年10月8日承認、申請資料概要ト.2.(5))

16) Homma A, et al.:Dement. Geriatr. Cogn. Disord., 2008;25(5):399-407

17) 高度アルツハイマー型認知症を対象とした臨床第II相試験(アリセプト錠/D錠/細粒:2007年8月23日承認、審査報告書)

18) レビー小体型認知症を対象とした臨床第II相試験(アリセプト錠/細粒/D錠/内服ゼリー/ドライシロップ:2014年9月19日承認、申請資料概要2.7.6.1)

19) Mori E, et al.:Ann. Neurol., 2012;72(1):41-52

20) Ikeda M, et al.:Alzheimers Res. Ther., 2015;7(4):1-10

21) 山西嘉晴ほか:薬理と治療, 1998;26(S):S1277-S1282

22) 山西嘉晴ほか:薬理と治療, 1998;26(S):S1283-S1294

23) 小笹貴史ほか:薬理と治療, 1998;26(S):S1303-S1311

24) 小倉博雄ほか:薬理と治療, 1998;26(S):S1313-S1320

24. 文献請求先及び問い合わせ先

サンド株式会社 カスタマーケアグループ

〒105-6333 東京都港区虎ノ門1-23-1

TEL 0120-982-001
FAX 03-6257-3633

26. 製造販売業者等

26.1 製造販売

サンド株式会社

東京都港区虎ノ門1-23-1
URL:https://www.sandoz.jp/

〒100-0013 東京都千代田区霞が関3-3-2 新霞が関ビル

画面を閉じる

Copyright © Pharmaceuticals and Medical Devices Agency, All Rights reserved.