医療用医薬品 詳細表示

エンテカビル錠0.5mg「サンド」

処方せん医薬品

添付文書番号
企業コード
作成又は改訂年月
日本標準商品分類番号
薬効分類名
承認等
一般的名称
1.警告
2.禁忌(次の患者には投与しないこと)
3.組成・性状
3.1組成
3.2製剤の性状
4.効能又は効果
5.効能又は効果に関連する注意
6.用法及び用量
7.用法及び用量に関連する注意
8.重要な基本的注意
9.特定の背景を有する患者に関する注意
9.1合併症・既往歴等のある患者
9.2腎機能障害患者
9.3肝機能障害患者
9.4生殖能を有する者
9.5妊婦
9.6授乳婦
9.7小児等
9.8高齢者
10.相互作用
10.2併用注意(併用に注意すること)
11.副作用
11.1重大な副作用
11.2その他の副作用
14.適用上の注意
15.その他の注意
15.2非臨床試験に基づく情報
16.薬物動態
16.1血中濃度
16.2吸収
16.3分布
16.4代謝
16.5排泄
16.6特定の背景を有する患者
16.7薬物相互作用
17.臨床成績
17.1有効性及び安全性に関する試験
18.薬効薬理
18.1作用機序
18.2抗ウイルス活性
18.3薬剤耐性
19.有効成分に関する理化学的知見
22.包装
23.主要文献
24.文献請求先及び問い合わせ先
26.製造販売業者等

エンテカビル錠0.5mg「サンド」

添付文書番号

6250029F1091_1_05

企業コード

270428

作成又は改訂年月

2024年3月改訂(第1版)

日本標準商品分類番号

87625

薬効分類名

抗ウイルス化学療法剤

承認等

エンテカビル錠0.5mg「サンド」

販売名コード

YJコード

6250029F1091

販売名英語表記

Entecavir Tablets 0.5mg[SANDOZ]

販売名ひらがな

えんてかびるじょう0.5mg「さんど」

承認番号等

承認番号

22900AMX00160000

販売開始年月

2017年6月

貯法・有効期間

貯法

室温保存

有効期間

3年

一般的名称

エンテカビル水和物錠

1. 警告

本剤を含むB型肝炎に対する治療を終了した患者で,肝炎の急性増悪が報告されている。
そのため,B型肝炎に対する治療を終了する場合には,投与終了後少なくとも数ヵ月間は患者の臨床症状と臨床検査値の観察を十分に行うこと。経過に応じて,B型肝炎に対する再治療が必要となることもある。,,,

2. 禁忌(次の患者には投与しないこと)

本剤の成分に対し過敏症の既往歴のある患者

3. 組成・性状

3.1 組成

エンテカビル錠0.5mg「サンド」

有効成分1錠中
エンテカビル水和物   0.53mg
(エンテカビルとして   0.5mg )
添加剤乳糖水和物、結晶セルロース、クロスポビドン、ステアリン酸マグネシウム、ヒプロメロース、マクロゴール6000EP、酸化チタン、タルク

3.2 製剤の性状

エンテカビル錠0.5mg「サンド」

外形表面
裏面
側面
大きさ直径8.2mm
厚さ4.2mm
質量210mg
識別コードSz
ETV
(PTP)
性状白色円形のフィルムコーティング錠

4. 効能又は効果

B型肝炎ウイルスの増殖を伴い肝機能の異常が確認されたB型慢性肝疾患におけるB型肝炎ウイルスの増殖抑制

5. 効能又は効果に関連する注意

本剤投与開始に先立ち,HBV DNA,HBV DNAポリメラーゼあるいはHBe抗原により,ウイルスの増殖を確認すること。

6. 用法及び用量

本剤は、空腹時(食後2時間以降かつ次の食事の2時間以上前)に経口投与する。
通常、成人にはエンテカビルとして0.5mgを1日1回経口投与する。
なお、ラミブジン不応(ラミブジン投与中にB型肝炎ウイルス血症が認められる又はラミブジン耐性変異ウイルスを有するなど)患者には、エンテカビルとして1mgを1日1回経口投与することが推奨される。

7. 用法及び用量に関連する注意

  1. 7.1 本剤は食事の影響により吸収率が低下するので,空腹時(食後2時間以降かつ次の食事の2時間以上前)に投与すること。
  2. 7.2 腎機能障害患者では,高い血中濃度が持続するおそれがあるので,下表を参考にして,クレアチニンクリアランスが50mL/min未満の患者並びに血液透析又は持続携行式腹膜透析を施行されている患者では,投与間隔の調節が必要である。,,,
    腎機能障害患者における用法・用量の目安

    クレアチニンクリアランス(mL/min)

    通常用量

    ラミブジン不応患者

    30以上50未満

    0.5mgを2日に1回

    1mgを2日に1回

    10以上30未満

    0.5mgを3日に1回

    1mgを3日に1回

    10未満

    0.5mgを7日に1回

    1mgを7日に1回

    血液透析注)又は持続携行式腹膜透析(CAPD)患者

    0.5mgを7日に1回

    1mgを7日に1回

    注)血液透析日は透析後に投与する。

8. 重要な基本的注意

  1. 8.1 本剤によるB型慢性肝疾患の治療は,投与中のみでなく投与終了後も十分な経過観察が必要であり,経過に応じて適切な処置が必要なため,B型慢性肝疾患の治療に十分な知識と経験を持つ医師のもとで使用すること。,,,
  2. 8.2 本剤は,投与中止により肝機能の悪化もしくは肝炎の重症化を起こすことがある。本内容を患者に説明し,患者が自己の判断で投与を中止しないように十分指導すること。,,,
  3. 8.3 本剤の投与終了により肝炎の悪化が認められることがあるので,本剤の投与を終了する場合には,投与終了後少なくとも数ヵ月間は患者の臨床症状と臨床検査値の観察を十分に行うこと。 ,,,
  4. 8.4 本剤の投与中は定期的に肝機能検査を行うなど十分注意すること。
  5. 8.5 本剤による治療により他者へのHBV感染が避けられることは証明されていない旨を患者に説明すること。

9. 特定の背景を有する患者に関する注意

9.1 合併症・既往歴等のある患者

  1. 9.1.1 HIV/HBV重複感染患者

    抗HIV療法を併用していないHIV/HBVの重複感染患者には本剤の投与を避けることが望ましい。抗HIV療法を受けていないHIV/HBVの重複感染患者のB型肝炎に対して本剤を投与した場合,薬剤耐性HIVが出現する可能性がある。

9.2 腎機能障害患者

高い血中濃度が持続するおそれがある。,

9.3 肝機能障害患者

  1. 9.3.1 肝移植患者

    シクロスポリン又はタクロリムス等の腎機能を抑制する可能性のある免疫抑制剤が投与されている肝移植患者では,本剤の投与開始前と投与中に腎機能の観察を十分に行うこと。
    肝移植患者を対象とした有効性及び安全性を指標とした国内臨床試験は実施していない。,

  2. 9.3.2 非代償性肝硬変患者

    非代償性肝硬変患者を対象とした有効性及び安全性を指標とした国内臨床試験は実施していない。

9.4 生殖能を有する者

妊娠の可能性がある女性に対しては避妊するよう指導すること。胎児の発育に影響を及ぼすおそれがある。

9.5 妊婦

  1. 9.5.1 妊婦又は妊娠している可能性のある女性には,治療上の有益性が危険性を上回ると判断される場合にのみ投与すること。生殖発生毒性試験において,ラットでは母動物及び胚・胎児に毒性が認められ,ウサギでは胚・胎児のみに毒性が認められた。ラット及びウサギの曝露量は,ヒト1mg投与時の曝露量のそれぞれ180倍及び883倍に相当する。
  2. 9.5.2 新生児のHBV感染を防止するため適切な処置を行うこと。本剤が母体から新生児へのHBV感染に及ぼす影響についてはデータがない。

9.6 授乳婦

治療上の有益性及び母乳栄養の有益性を考慮し,授乳の継続又は中止を検討すること。動物実験(ラット)で,乳汁中に移行することが報告されている。本剤がヒトの乳汁中に分泌されるか否かは不明である。

9.7 小児等

小児等を対象とした臨床試験は実施していない。

9.8 高齢者

患者の腎機能を定期的に観察しながら投与間隔を調節するなど慎重に投与すること。本剤は主に腎から排泄されるが,高齢者では若年者よりも腎機能が低下していることが多い。

10. 相互作用

    10.2 併用注意(併用に注意すること)

    エンテカビルは主に腎から排泄されるため,腎機能障害作用のある薬剤や尿細管分泌により排泄される薬剤と併用した場合には,本剤又は併用薬剤の血中濃度が上昇する可能性がある。このような薬剤と併用する場合には副作用の発現に注意し,患者の状態を十分に観察すること。

    11. 副作用

    次の副作用があらわれることがあるので,観察を十分に行い,異常が認められた場合には投与を中止するなど適切な処置を行うこと。

    11.1 重大な副作用

    1. 11.1.1 肝機能障害(頻度不明)

      本剤での治療中にAST,ALTが上昇することがある。AST,ALTの上昇が認められた場合,より頻回に肝機能検査を行うなど,観察を十分に行うこと。検査値等の経過から,肝機能障害が回復する兆候が認められない場合には,投与を中止するなど適切な処置を行うこと。

    2. 11.1.2 投与終了後の肝炎の悪化(頻度不明)

      ,,,

    3. 11.1.3 アナフィラキシー(頻度不明)
    4. 11.1.4 乳酸アシドーシス(頻度不明)

      乳酸アシドーシスがあらわれることがあり,死亡例も報告されている。

    5. 11.1.5 脂肪沈着による重度の肝腫大(脂肪肝)(頻度不明)

      死亡例を含む脂肪沈着による重度の肝腫大(脂肪肝)が,本剤を含むヌクレオシド類縁体の単独又は抗HIV薬との併用療法で報告されている。

    11.2 その他の副作用

    10%以上

    3%以上10%未満

    3%未満

    胃腸障害

    下痢,悪心,便秘,上腹部痛

    全身障害及び投与局所様態

    倦怠感

    感染症及び寄生虫症

    鼻咽頭炎

    筋骨格系及び結合組織障害

    筋硬直

    神経系障害

    頭痛

    浮動性めまい

    皮膚及び皮下組織障害

    発疹,脱毛

    臨床検査

    血中アミラーゼ増加,リパーゼ増加,血中乳酸増加,白血球数減少

    AST上昇,ALT上昇,血中ビリルビン増加,血中ブドウ糖増加,BUN上昇,尿潜血陽性,尿中白血球陽性,好酸球数増加

    14. 適用上の注意

    14.1 薬剤交付時の注意

    PTP包装の薬剤はPTPシートから取り出して服用するよう指導すること。PTPシートの誤飲により,硬い鋭角部が食道粘膜へ刺入し,更には穿孔をおこして縦隔洞炎等の重篤な合併症を併発することがある。

    15. その他の注意

    15.2 非臨床試験に基づく情報

    1. 15.2.1 がん原性

      2年間がん原性試験がマウス(エンテカビルとして:0.004,0.04,0.4及び4mg/kg/日)とラット(エンテカビルとして,雄:0.003,0.02,0.2及び1.4mg/kg/日,雌:0.01,0.06,0.4及び2.6mg/kg/日)で行われている。雄マウスの0.04mg/kg以上,雌マウスの4mg/kgの投与量で肺腺腫の発生率上昇が観察された。雌雄マウスの最高用量群で肺癌の発生率上昇が観察された。腫瘍発生に先立ち肺胞細胞の増殖が認められたが,ラット,イヌ及びサルでこのような変化が観察されていないことから,肺腫瘍はマウスに特有な所見であり,ヒトの安全性との関連は低いと考えられた。これ以外に高用量群で,雄マウスの肝癌,雌マウスの良性血管腫瘍,雌雄ラットの脳神経膠腫,並びに雌ラットの肝腺腫及び肝癌の発生率が上昇した。これらは,臨床用量での曝露量と比べて高い曝露量で観察されたことから,ヒトの安全性に関連を持つものではないと考えられた。

    2. 15.2.2 変異原性

      培養ヒトリンパ球にin vitroで染色体異常を誘発したが,微生物を用いた復帰突然変異試験(Ames試験),哺乳類細胞を用いた遺伝子突然変異試験及びシリアンハムスター胚細胞を用いた形質転換試験で,遺伝毒性は認められていない。また,ラットを用いた経口投与による小核試験とDNA修復試験も陰性を示している。

    3. 15.2.3 生殖毒性

      ラットの生殖発生毒性試験において受胎能への影響は認められなかった。げっ歯類及びイヌを用いた毒性試験において精上皮変性が認められた。なお,臨床用量での曝露量と比べて高い曝露量で1年間投与したサルでは,精巣の変化は認められなかった。

    16. 薬物動態

    16.1 血中濃度

    1. 16.1.1 健康成人

      エンテカビル0.5mg及び1mgを健康成人男子に経口投与したとき、エンテカビルは速やかに吸収され、投与後0.5~1.5時間で最高血漿中濃度(Cmax)に到達した。エンテカビルを1日1回反復投与した時の定常状態におけるCmaxと血漿中濃度時間曲線下面積(AUC)は線形性を示した。エンテカビルの薬物動態は投与後6~10日で定常状態に到達し、累積係数は約2であった。定常状態におけるCmax及び血漿中トラフ濃度(Cmin)は0.5mg投与時で6.4及び0.3ng/mL、1mg投与時で11.6及び0.5ng/mLであった1) (表1)。

      表1.健康成人男子にエンテカビル0.5mg及び1mgを1日1回14日間反復経口投与した時の薬物動態パラメータ

      薬物動態パラメータ

      投与量

      0.5mg(n=6)

      1mg(n=6)

      Cmax(ng/mL)a

      6.4(34.8%)

      11.6(19.7%)

      AUC0-24hr(ng・hr/mL)a

      17.8(7.4%)

      35.4(8.1%)

      Tmax(hr)b

      0.63(0.50、1.00)

      0.75(0.50、1.50)

      T1/2(hr)c

      96.6(20.3)

      83.3(19.0)

      Cltot/F(mL/min)a

      468.7(7.4%)

      470.5(8.1%)

      ClR(mL/min)a

      372.1(17.1%)

      366.4(8.8%)

      UR(%)c

      79.8(8.6)

      78.0(3.8)

      累積係数c

      1.8(0.1)

      1.5(0.2)

      Cmin(ng/mL)c

      0.3(0.03)

      0.5(0.06)

      ClR=腎クリアランス、Cltot/F=みかけの全身クリアランス、UR=24時間尿中排泄率
      a 幾何平均値(変動係数%)
      b 中央値(最小、最大)
      c 算術平均値(標準偏差)

    2. 16.1.2 B型慢性肝炎患者

      国内試験におけるB型慢性肝炎患者(n=142)の血漿中濃度成績を用いて母集団薬物動態解析を実施した結果、全身クリアランス(Cltot/F)の平均値(標準偏差)は投与量が0.5mg及び1mgでそれぞれ442.4(81.3)mL/min及び447.7(79.3)mL/min、AUC0-24hrはそれぞれ19.6(4.1)ng・hr/mL及び38.3(6.5)ng・hr/mLで、健康成人と同程度であった2)

    3. 16.1.3 生物学的同等性試験
      • エンテカビル錠0.5mg「サンド」

        エンテカビル錠0.5mg「サンド」とバラクルード錠0.5mgを、クロスオーバー法によりそれぞれ1錠(エンテカビルとして0.5mg)を健康成人男子に絶食下単回経口投与して血漿中エンテカビル濃度を測定した。得られたエンテカビルの薬物動態パラメータ(AUC、Cmax)について90%信頼区間法にて統計解析を行った結果、log(0.80)~log(1.25)の範囲内であり、両剤の生物学的同等性が確認された3)

        エンテカビル錠0.5mg「サンド」投与後の血漿中濃度推移
        薬物動態パラメータ

        AUC0-72
        (ng・hr/mL)

        Cmax
        (ng/mL)

        Tmax
        (hr)

        T1/2
        (hr)

        エンテカビル錠0.5mg「サンド」

        13.84±2.24

        4.85±1.12

        0.84±0.33

        39.9±7.9

        バラクルード錠0.5mg

        14.10±1.93

        4.88±1.20

        0.84±0.35

        39.8±8.4

        (Mean±S.D., n=24)

        なお、血漿中濃度並びにAUC、Cmax等の薬物動態パラメータは、被験者の選択、体液の採取回数・時間等の試験条件によって異なる可能性がある。

    16.2 吸収

    1. 16.2.1 食事の影響

      エンテカビルを食事とともに投与すると吸収率が低下する。エンテカビル0.5mgを標準高脂肪食(945kcal、脂肪54.6g)又は軽食(379kcal、脂肪8.2g)とともに経口投与したとき、吸収(Tmax)はわずかに遅延し(食事とともに投与:1~1.5時間、絶食時:0.75時間)、Cmaxは44~46%、AUCは18~20%低下した4) (外国人データ)。

    16.3 分布

    経口投与後におけるエンテカビルのみかけの分布容積は体内の総水分量より大きいことから、エンテカビルの多くは組織へ移行し、広範囲に分布すると考えられた。In vitroにおけるヒト血清蛋白結合率は約13%であった5)

    16.4 代謝

    エンテカビルはチトクロームP450(CYP450)の基質ではなく、またエンテカビルによるCYP450の阻害や誘導の作用も観察されなかった。ヒトで観察される血中濃度の約10,000倍以上の濃度でCYP1A2、2C9、2C19、2D6、3A4、2B6及び2E1に対する阻害は認められず、約340倍以上の濃度で1A2、2C9、2C19、3A4、3A5及び2B6の誘導は認められなかった。代謝物としてはヒト(外国人)と動物(ラット、イヌ、サル)でわずかにグルクロン酸抱合体と硫酸抱合体が認められた6)

    16.5 排泄

    エンテカビルは主に糸球体ろ過と尿細管分泌により腎から排泄される。日本人の健康成人男子にエンテカビル0.5mg及び1mgを1日1回反復経口投与した時の定常状態における未変化体の尿中排泄率(%UR)は78~80%で、腎クリアランス(ClR)は366~372mL/minであり、用量に依存しなかった。終末消失相半減期は0.5mg及び1mgでそれぞれ平均96.6及び83.3時間であった1)

    16.6 特定の背景を有する患者

    国内試験におけるB型慢性肝炎患者の血漿中濃度成績を用いて母集団薬物動態解析を実施した結果、エンテカビルの全身クリアランスに対して腎機能が有意(p<0.001)に影響する因子であった。性別(男性116例、女性26例)、肝機能、年齢(24~68歳)との関連性は認められなかった2)

    1. 16.6.1 腎機能障害患者における薬物動態

      エンテカビル1mgを腎機能障害患者に単回投与した時の薬物動態パラメータを表2に示す。腎機能の低下に応じてエンテカビルの曝露量は増加した。クレアチニンクリアランスが50mL/min未満の患者には、エンテカビルの投与間隔を調節することが推奨される7) (外国人データ)。,

      表2.腎機能障害患者にエンテカビル1mgを単回経口投与した時の薬物動態パラメータ

      腎機能
      クレアチニンクリアランス
      (mL/min)

      正常
      >80
      (n=6)

      軽度
      >50~80
      (n=6)

      中等度
      30~50
      (n=6)

      重度
      <30
      (n=6)

      重度
      HDa
      (n=6)

      重度
      CAPDa
      (n=4)

      Cmax
      (ng/mL)

      平均値
      (変動係数%)

      8.1
      (30.7%)

      10.4
      (37.2%)

      10.5
      (22.7%)

      15.3
      (33.8%)

      15.4
      (56.4%)

      16.6
      (29.7%)

      AUC0-T
      (ng・hr/mL)

      平均値
      (変動係数%)

      27.9
      (25.6%)

      51.5
      (22.8%)

      69.5
      (22.7%)

      145.7
      (31.5%)

      233.9
      (28.4%)

      221.8
      (11.6%)

      ClR
      (mL/min)

      平均値
      (標準偏差)

      383.2
      (101.8)

      197.9
      (78.1)

      135.6
      (31.6)

      40.3
      (10.1)

      NA

      NA

      Cltot/F
      (mL/min)

      平均値
      (標準偏差)

      588.1
      (153.7)

      309.2
      (62.6)

      226.3
      (60.1)

      100.6
      (29.1)

      50.6
      (16.5)

      35.7
      (19.6)

      ClR=腎クリアランス、Cltot/F=みかけの全身クリアランス、HD=血液透析、CAPD=持続携行式腹膜透析
      a 4時間のHDで投与量の約13%、CAPDで投与量の約0.3%が除去された。
      NA:データなし

    2. 16.6.2 肝機能障害患者における薬物動態

      中等度から重度の肝機能障害患者にエンテカビル1mgを単回投与した時の薬物動態は肝機能が正常な成人と同様であり、肝機能障害患者において、用法・用量の調節の必要はないと考えられる8) (外国人データ)。

    3. 16.6.3 肝移植患者における薬物動態

      小規模のパイロット試験では、肝移植後シクロスポリン(n=5)又はタクロリムス(n=4)を常時服用しているHBV感染患者のエンテカビルの曝露量は腎機能が正常である成人の約2倍であった。曝露量の増加は肝移植患者の腎機能の低下によるものと考えられた9) (外国人データ)。,

    16.7 薬物相互作用

    エンテカビルは主に腎から排泄されるので、腎機能障害作用のある薬剤や尿細管分泌が競合するような薬剤と併用した場合には、エンテカビル又は併用薬剤の血中濃度が上昇する可能性がある。ラミブジン、アデホビルピボキシル又はフマル酸テノホビルジソプロキシルとエンテカビルを併用した場合、相互作用は認められなかった10) (外国人データ)。

    17. 臨床成績

    17.1 有効性及び安全性に関する試験

    1. 17.1.1 国内第2相試験(AI463-047)

      ヌクレオシド類縁体未治療のB型慢性肝炎患者に対するエンテカビルの用量反応性試験は国内で実施された。ヌクレオシド類縁体未治療患者に対するエンテカビル0.5mg 1日1回22週投与時のウイルス学的、生化学的及び血清学的効果を表1に示す。

      表1.国内第2相試験(AI463-047)成績

      試験番号

      AI463-047
      (n=32)

      投与前HBe抗原

      陽性及び陰性

      投与前平均HBV DNA値(log10copies/mL)

      8.42

      HBV DNAの投与前値からの平均変化量±標準誤差
      (log10copies/mL)
      (95%信頼区間)

      -5.16±0.13
      (-5.42、-4.90)

      HBV DNA陰性化率(bDNA法)a

      100%(32/32)

      ALT正常化率b

      80.0%(24/30)

      セロコンバージョン率c

      3.6%(1/28)

      a 0.7MEq/mL未満(bDNA法)
      b 基準値上限×1.25倍未満
      c HBe抗原の消失かつHBe抗体の出現

      副作用発現頻度は、エンテカビル0.5mg投与群で61.8%(21/34例)であった。主な副作用は、血中乳酸増加14.7%(5/34例)、尿潜血陽性11.8%(4/34例)であった11)

    2. 17.1.2 国内第2相試験(AI463-053)

      ヌクレオシド類縁体未治療のB型慢性肝炎患者に対するエンテカビルの臨床効果は国内臨床試験で評価された。ヌクレオシド類縁体未治療患者に対するエンテカビル0.5mg 1日1回48週投与時のウイルス学的、生化学的、血清学的及び組織学的効果を表2に示す。主要評価項目である48週目のPCR法によるlog10HBV DNA量が2以上減少又は検出限界(400copies/mL)未満となった患者の割合は100%であった。

      表2.国内第2相試験(AI463-053)成績

      試験番号

      AI463-053
      (n=34)

      投与前HBe抗原

      陽性及び陰性

      投与前平均HBV DNA値(log10copies/mL)

      7.68

      HBV DNAの投与前値からの平均変化量±標準誤差
      (log10copies/mL)
      (95%信頼区間)

      -4.84±0.14
      (-5.12、-4.56)

      HBV DNA陰性化率(PCR法)a

      67.6%(23/34)

      ALT正常化率b

      93.8%(30/32)

      セロコンバージョン率c

      29.6%(8/27)

      組織学的改善率d

      80.0%(24/30)

      a 400copies/mL未満(PCR法)
      b 基準値上限×1.25倍未満
      c HBe抗原の消失かつHBe抗体の出現
      d Knodell壊死炎症スコアが投与前値から2以上低下し、線維化スコアが悪化しなかった場合を改善と定義

      副作用発現頻度は、エンテカビル0.5mg投与群で76.5%(26/34例)であった。主な副作用は、血中乳酸増加29.4%(10/34例)、頭痛23.5%(8/34例)、リパーゼ増加20.6%(7/34例)、アミラーゼ増加14.7%(5/34例)であった12)

    3. 17.1.3 海外第3相試験(AI463-022)

      ヌクレオシド類縁体未治療のB型慢性肝炎患者に対するエンテカビルの臨床効果は海外臨床試験で評価された。ヌクレオシド類縁体未治療患者に対するエンテカビル0.5mg 1日1回48週投与時のウイルス学的、生化学的、血清学的及び組織学的効果を表3に示す13)

      表3.海外第3相試験(AI463-022)成績

      試験番号

      AI463-022
      (n=354)

      投与前HBe抗原

      陽性

      投与前平均HBV DNA値(log10copies/mL)

      9.62

      HBV DNAの投与前値からの平均変化量±標準誤差
      (log10copies/mL)
      (95%信頼区間)

      -6.98±0.11
      (-7.19、-6.77)

      HBV DNA陰性化率(PCR法)a

      69.5%(246/354)

      ALT正常化率b

      78.2%(277/354)

      セロコンバージョン率c

      20.9%(74/354)

      組織学的改善率d

      72.0%(226/314)

      a 400copies/mL未満(PCR法)
      b 基準値上限×1.25倍未満
      c HBe抗原の消失かつHBe抗体の出現
      d Knodell壊死炎症スコアが投与前値から2以上低下し、線維化スコアが悪化しなかった場合を改善と定義

      また、代償性肝硬変を伴うB型慢性肝炎患者に対するエンテカビルの臨床効果は投与前肝生検において肝硬変が確認された患者において評価された。エンテカビル0.5mg投与を受けた代償性肝硬変患者25例中、48週目のHBV DNA陰性化率(300copies/mL未満)は96%、ALT正常化率(基準値上限×1.0倍以下)は60%、HBe抗原セロコンバージョン率は32%、組織学的改善率は76%であった14)
      治療期間における有害事象発現頻度は、エンテカビル投与群で86%(306/354例)であった。主な有害事象は、頭痛25%(87/354例)、上気道感染22%(77/354例)、鼻咽頭炎15%(53/354例)、咳嗽15%(52/354例)、発熱12%(42/354例)、上腹部痛、下痢、疲労各11%(39/354例)であった13)

    4. 17.1.4 海外第3相試験(AI463-027)

      ヌクレオシド類縁体未治療のB型慢性肝炎患者に対するエンテカビルの臨床効果は海外臨床試験で評価された。ヌクレオシド類縁体未治療患者に対するエンテカビル0.5mg 1日1回48週投与時のウイルス学的、生化学的、血清学的及び組織学的効果を表4に示す15)

      表4.海外第3相試験(AI463-027)成績2)

      試験番号

      AI463-027
      (n=325)

      投与前HBe抗原

      陰性

      投与前平均HBV DNA値(log10copies/mL)

      7.60

      HBV DNAの投与前値からの平均変化量±標準誤差
      (log10copies/mL)
      (95%信頼区間)

      -5.20±0.10
      (-5.39、-5.01)

      HBV DNA陰性化率(PCR法)a

      91.4%(297/325)

      ALT正常化率b

      85.5%(278/325)

      セロコンバージョン率c

      NA

      組織学的改善率d

      70.3%(208/296)

      a 400copies/mL未満(PCR法)
      b 基準値上限×1.25倍未満
      c HBe抗原の消失かつHBe抗体の出現
      d Knodell壊死炎症スコアが投与前値から2以上低下し、線維化スコアが悪化しなかった場合を改善と定義
      NA:データなし

      また、代償性肝硬変を伴うB型慢性肝炎患者に対するエンテカビルの臨床効果は投与前肝生検において肝硬変が確認された患者において評価された。エンテカビル0.5mg投与を受けた代償性肝硬変患者19例中、48週目のHBV DNA陰性化率(300copies/mL未満)は95%、ALT正常化率(基準値上限×1.0倍以下)は79%、組織学的改善率は74%であった14)
      治療期間における有害事象発現頻度は、エンテカビル投与群で76%(246/325例)であった。主な有害事象は、頭痛15%(50/325例)、上気道感染14%(44/325例)であった15)

    5. 17.1.5 国内第2相試験(AI463-052)

      ラミブジン不応のB型慢性肝炎患者に対するエンテカビルの臨床効果は国内臨床試験で評価された。ラミブジン不応患者に対するエンテカビル1mg 1日1回48週投与時のウイルス学的、生化学的、血清学的及び組織学的効果を表5に示す。主要評価項目である48週目のPCR法によるlog10HBV DNA量が2以上減少又は検出限界(400copies/mL)未満となった患者の割合は93%であった。

      表5.国内第2相試験(AI463-052)成績

      試験番号

      AI463-052
      (n=42)

      投与前HBe抗原

      陽性及び陰性

      投与前平均HBV DNA値(log10copies/mL)

      7.60

      HBV DNAの投与前値からの平均変化量±標準誤差
      (log10copies/mL)
      (95%信頼区間)

      -3.75±0.19
      (-4.13、-3.36)

      HBV DNA陰性化率(PCR法)a

      33.3%(14/42)

      ALT正常化率b

      78.4%(29/37)

      セロコンバージョン率c

      15.2%(5/33)

      組織学的改善率d

      60.0%(21/35)

      a 400copies/mL未満(PCR法)
      b 基準値上限×1.25倍未満
      c HBe抗原の消失かつHBe抗体の出現
      d Knodell壊死炎症スコアが投与前値から2以上低下し、線維化スコアが悪化しなかった場合を改善と定義

      副作用発現頻度は、エンテカビル0.5mg投与群では87.8%(36/41例)、エンテカビル1mg投与群では81.4%(35/43例)であった。主な副作用は、0.5mg群では白血球数減少24.4%(10/41例)、頭痛、リパーゼ増加各19.5%(8/41例)、倦怠感、鼻咽頭炎各14.6%(6/41例)、悪心、好酸球数増加、AST増加、血中ブドウ糖増加、尿潜血陽性各12.2%(5/41例)、1mg群では血中乳酸増加25.6%(11/43例)、頭痛20.9%(9/43例)、リパーゼ増加18.6%(8/43例)、倦怠感、アミラーゼ増加各14.0%(6/43例)、鼻咽頭炎、血中ビリルビン増加、BUN増加各11.6%(5/43例)であった16)

    6. 17.1.6 海外第3相試験(AI463-026)

      ラミブジン不応のB型慢性肝炎患者に対するエンテカビルの臨床効果は海外臨床試験で評価された。ラミブジン不応患者に対するエンテカビル1mg 1日1回48週投与時のウイルス学的、生化学的、血清学的及び組織学的効果を表6に示す17)

      表6.海外第3相試験(AI463-026)成績3)

      試験番号

      AI463-026
      (n=141)

      投与前HBe抗原

      陽性

      投与前平均HBV DNA値(log10copies/mL)

      9.48

      HBV DNAの投与前値からの平均変化量±標準誤差
      (log10copies/mL)
      (95%信頼区間)

      -5.14±0.20
      (-5.52、-4.76)

      HBV DNA陰性化率(PCR法)a

      20.6%(29/141)

      ALT正常化率b

      75.2%(106/141)

      セロコンバージョン率c

      7.8%(11/141)

      組織学的改善率d

      54.8%(68/124)

      a 400copies/mL未満(PCR法)
      b 基準値上限×1.25倍未満
      c HBe抗原の消失かつHBe抗体の出現
      d Knodell壊死炎症スコアが投与前値から2以上低下し、線維化スコアが悪化しなかった場合を改善と定義

      また、代償性肝硬変を伴うB型慢性肝炎患者に対するエンテカビルの臨床効果は投与前肝生検において肝硬変が確認された患者において評価された。エンテカビル1mg投与を受けた代償性肝硬変患者14例中、48週目のHBV DNA陰性化率(300copies/mL未満)は21%、ALT正常化率(基準値上限×1.0倍以下)は50%、組織学的改善率は50%であった14)
      治療期間における有害事象発現頻度は、エンテカビル投与群で85%(120/141例)であった。主な有害事象は、上気道感染18%(26/141例)、頭痛18%(25/141例)、疲労13%(19/141例)、咳嗽12%(17/141例)、鼻咽頭炎10%(14/141例)であった17)

    18. 薬効薬理

    18.1 作用機序

    エンテカビルはグアノシンヌクレオシド類縁体であり、HBV DNAポリメラーゼに対して強力かつ選択的な阻害活性(Ki値:0.0012μM)を有する。エンテカビルは細胞内でリン酸化され、活性を有するエンテカビル三リン酸に変化する。エンテカビル三リン酸は、天然基質デオキシグアノシン三リン酸との競合により、HBV DNAポリメラーゼの(1)プライミング、(2)mRNAからマイナス鎖DNA合成時の逆転写、及び(3)HBV DNAのプラス鎖合成の3種すべての機能活性を阻害する。エンテカビル三リン酸の細胞性DNAポリメラーゼα、β、δ及びε並びにミトコンドリアDNAポリメラーゼγに対する阻害作用は弱い(Ki値:18~約160μM)18),19),20)

    18.2 抗ウイルス活性

    エンテカビルはHBVをトランスフェクトしたヒト肝HepG2細胞におけるHBV DNA合成を阻害し、そのEC50値は0.004μMであった18)
    エンテカビルをウッドチャック肝炎ウイルスに慢性感染したウッドチャック21),22) 及びアヒルB型肝炎ウイルスに感染したアヒルに毎日又は週1回反復投与したとき、ウイルスDNA量の著明な(4~8log10)減少が認められた。ウッドチャックを用いた長期維持投与試験では、エンテカビルを0.5mg/kg(臨床用量1mg相当)で週1回、3年間反復経口投与した結果、投与期間中のウイルスDNA量は検出限界以下で維持された(PCR法)。また、3年間の投与ではいずれの動物においてもHBV DNAポリメラーゼに耐性を示す変化は認められなかった22)

    18.3 薬剤耐性

    1. 18.3.1 In vitro試験

      HBV DNAポリメラーゼのアミノ酸残基に特徴的な変異(rtM204V/I、rtL180M)を有するラミブジン耐性HBVでは、エンテカビルに対する感受性が野生型に比較して1/8以下に低下したが、1mg投与時の血漿中エンテカビル濃度を反映する細胞外濃度において、細胞内エンテカビル三リン酸はラミブジン耐性型HBV DNAポリメラーゼ活性を十分に阻害する濃度を超えているものと考えられた23),24) 。アデホビルの耐性変異であるrtN236Tをコードした組換えウイルスにおいては、エンテカビルに対する感受性が維持されていた25) 。エンテカビル治療が無効であったラミブジン不応患者から得られたHBV分離株はin vitroでアデホビルに対する感受性を有していたが、ラミブジンに対する感受性は認められなかった24)

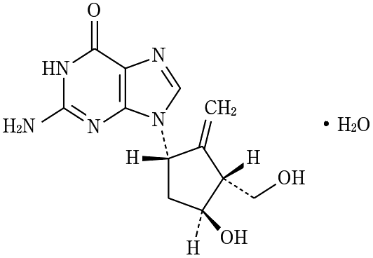
    19. 有効成分に関する理化学的知見

    一般的名称

    エンテカビル水和物(Entecavir Hydrate)

    化学名

    9-[(1S,3R,4S)-4-Hydroxy-3-(hydroxymethyl)-2-methylenecyclopentyl]guanine monohydrate

    分子式

    C12H15N5O3・H2O

    分子量

    295.29

    性状

    白色の粉末である。
    メタノール又はエタノール(99.5)に溶けにくく、水に極めて溶けにくい。

    化学構造式

    22. 包装

    70錠[14錠(PTP)×5]

    23. 主要文献

    1) 健康成人男子に対する安全性並びに薬物動態を検討するプラセボ対照・用量漸増第1相試験(反復投与)(バラクルード錠0.5mg:2006年7月26日承認、申請資料概要2.7.6.2.10)

    2) 国内試験における母集団薬物動態解析(バラクルード錠0.5mg:2006年7月26日承認、申請資料概要2.7.2.3.1.2.2)

    3) 社内資料:生物学的同等性試験(エンテカビル錠0.5mg「サンド」)

    4) 健常成人を対象としたエンテカビルの薬物動態に及ぼす高脂肪食又は軽食の影響試験(バラクルード錠0.5mg:2006年7月26日承認、申請資料概要2.7.6.2.2)

    5) 分布(バラクルード錠0.5mg:2006年7月26日承認、申請資料概要2.6.4.4)

    6) 代謝(動物間の比較)(バラクルード錠0.5mg:2006年7月26日承認、申請資料概要2.6.4.5)

    7) 腎機能障害患者を対象としたエンテカビル単回投与時の薬物動態及び安全性の検討(バラクルード錠0.5mg:2006年7月26日承認、申請資料概要2.7.6.2.14)

    8) エンテカビルの薬物動態に及ぼす肝障害の影響(バラクルード錠0.5mg:2006年7月26日承認、申請資料概要2.7.2.2.4.3)

    9) B型肝炎ウイルスに再感染した肝移植患者におけるエンテカビルの薬物動態の検討(バラクルード錠0.5mg:2006年7月26日承認、申請資料概要2.7.2.2.4.4)

    10) 薬物相互作用試験(バラクルード錠0.5mg:2006年7月26日承認、申請資料概要2.7.2.2.3)

    11) 成人B型慢性肝炎患者に対する抗ウイルス作用及び安全性をラミブジンと比較する臨床第2相試験(バラクルード錠0.5mg:2006年7月26日承認、申請資料概要2.7.6.2.20)

    12) 成人B型慢性肝炎患者に対する安全性及び抗ウイルス作用の検討を目的とした臨床第2相試験(バラクルード錠0.5mg:2006年7月26日承認、申請資料概要2.7.6.2.22)

    13) Chang TT, et al.:N Engl J Med. 2006;354(10):1001-1010

    14) 第III相臨床試験(バラクルード錠0.5mg:2006年7月26日承認、審査報告書)

    15) Lai CL, et al.:N Engl J Med. 2006;354(10):1011-1020

    16) ラミブジンによる治療において十分な抗ウイルス効果が得られない成人B型慢性肝炎患者に対する安全性及び抗ウイルス作用の検討を目的とした臨床第2相試験(バラクルード錠0.5mg:2006年7月26日承認、申請資料概要2.7.6.2.21)

    17) Sherman M, et al.:Gastroenterology. 2006;130(7):2039-2049

    18) Innaimo SF, et al.:Antimicrob Agents Chemother. 1997;41(7):1444-1448

    19) Yamanaka G, et al.:Antimicrob Agents Chemother. 1999;43(1):190-193

    20) Seifer M, et al.:Antimicrob Agents Chemother. 1998;42(12):3200-3208

    21) Genovesi EV, et al.:Antimicrob Agents Chemother. 1998;42(12):3209-3217

    22) Colonno RJ, et al.:J Infect Dis. 2001;184:1236-1245

    23) Levine S, et al.:Antimicrob Agents Chemother. 2002;46(8):2525-2532

    24) Tenney DJ, et al.:Antimicrob Agents Chemother. 2004;48(9):3498-3507

    25) Villeneuve J-P, et al.:J Hepatol. 2003;39:1085-1089

    24. 文献請求先及び問い合わせ先

    サンド株式会社 カスタマーケアグループ

    〒105-6333 東京都港区虎ノ門1-23-1

    TEL 0120-982-001
    FAX 03-6257-3633

    26. 製造販売業者等

    26.1 製造販売

    サンド株式会社

    東京都港区虎ノ門1-23-1
    URL:https://www.sandoz.jp/

    〒100-0013 東京都千代田区霞が関3-3-2 新霞が関ビル

    画面を閉じる

    Copyright © Pharmaceuticals and Medical Devices Agency, All Rights reserved.