医療用医薬品 詳細表示

テクスメテン軟膏0.1%/テクスメテンユニバーサルクリーム0.1%

処方せん医薬品以外の医薬品

添付文書番号
企業コード
作成又は改訂年月
日本標準商品分類番号
薬効分類名
承認等
一般的名称
2.禁忌(次の患者には投与しないこと)
3.組成・性状
3.1組成
3.2製剤の性状
4.効能又は効果
5.効能又は効果に関連する注意
6.用法及び用量
8.重要な基本的注意
9.特定の背景を有する患者に関する注意
9.5妊婦
9.7小児等
9.8高齢者
11.副作用
11.1重大な副作用
11.2その他の副作用
14.適用上の注意
16.薬物動態
16.2吸収
17.臨床成績
17.1有効性及び安全性に関する試験
18.薬効薬理
18.1作用機序
18.2血管収縮作用
18.3浮腫抑制作用
18.4浸出液抑制作用及び肉芽増殖抑制作用
19.有効成分に関する理化学的知見
22.包装
23.主要文献
24.文献請求先及び問い合わせ先
26.製造販売業者等

テクスメテン軟膏0.1%/テクスメテンユニバーサルクリーム0.1%

添付文書番号

2646700M1155_1_03

企業コード

300089

作成又は改訂年月

2024年3月改訂(第1版)

日本標準商品分類番号

872646

薬効分類名

外用合成副腎皮質ホルモン剤

承認等

テクスメテン軟膏0.1%

販売名コード

YJコード

2646700M1155

販売名英語表記

Texmeten Ointment0.1%

承認番号等

承認番号

22100AMX01610

販売開始年月

1999年3月

貯法・有効期間

貯法

室温保存

有効期間

3年

規制区分

劇薬

テクスメテンユニバーサルクリーム0.1%

販売名コード

YJコード

2646700N1142

販売名英語表記

Texmeten Universal Cream0.1%

承認番号等

承認番号

22100AMX01609

販売開始年月

1999年3月

貯法・有効期間

貯法

室温保存

有効期間

3年

規制区分

劇薬

一般的名称

ジフルコルトロン吉草酸エステル

2. 禁忌(次の患者には投与しないこと)

  1. 2.1 本剤の成分に対し過敏症の既往歴のある患者
  2. 2.2 皮膚結核、梅毒性皮膚疾患、単純疱疹、水痘、帯状疱疹、種痘疹の患者[症状を悪化させることがある。]
  3. 2.3 鼓膜に穿孔のある湿疹性外耳道炎の患者[鼓膜の自然修復を阻害するおそれがある。]
  4. 2.4 潰瘍(ベーチェット病は除く)、第2度深在性以上の熱傷・凍傷の患者[上皮形成の阻害が起こる可能性がある。]

3. 組成・性状

3.1 組成

テクスメテン軟膏0.1%

有効成分1g中
日局ジフルコルトロン吉草酸エステル   1mg
添加剤パラフィン  
マイクロクリスタリンワックス  
硬化油  
流動パラフィン  
白色ワセリン  

テクスメテンユニバーサルクリーム0.1%

有効成分1g中
日局ジフルコルトロン吉草酸エステル   1mg
添加剤サラシミツロウ  
流動パラフィン  
白色ワセリン  
ジヤシ油脂肪酸ペンタエリスリット・クエン酸ジステアリルアルコールエステル  
ソルビタンセスキオレイン酸エステル  
ステアリン酸アルミニウム  

3.2 製剤の性状

テクスメテン軟膏0.1%

剤形軟膏
色調白色~帯黄白色

テクスメテンユニバーサルクリーム0.1%

剤形クリーム状の軟膏
色調白色~帯黄白色

4. 効能又は効果

  • 湿疹・皮膚炎群(進行性指掌角皮症、ビダール苔癬、日光皮膚炎を含む)
  • 乾癬
  • 掌蹠膿疱症
  • 痒疹群(じん麻疹様苔癬、ストロフルス、固定じん麻疹を含む)
  • 紅皮症
  • 慢性円板状エリテマトーデス
  • アミロイド苔癬
  • 扁平紅色苔癬

5. 効能又は効果に関連する注意

皮膚感染を伴う湿疹・皮膚炎には使用しないことを原則とするが、やむを得ず使用する必要がある場合には、あらかじめ適切な抗菌剤(全身適用)、抗真菌剤による治療を行うか、又はこれらとの併用を考慮すること。

6. 用法及び用量

通常1日1~3回、適量を患部に塗布する。

8. 重要な基本的注意

  1. 8.1 大量又は長期にわたる広範囲の密封法(ODT)等の使用により副腎皮質ステロイド剤を全身投与した場合と同様な症状があらわれることがある。,,,
  2. 8.2 本剤の使用により症状の改善がみられない場合又は症状の悪化がみられる場合には使用を中止すること。

9. 特定の背景を有する患者に関する注意

9.5 妊婦

妊婦又は妊娠している可能性のある女性に対しては大量又は長期にわたる広範囲の使用を避けること。動物実験(マウス、ラットにおける皮下投与、ウサギにおける皮下及び経皮投与)で副腎皮質ホルモンに共通した催奇形作用が報告されている。

9.7 小児等

長期・大量使用又は密封法(ODT)により発育障害を来すおそれがある。また、おむつは密封法(ODT)と同様の作用があるので注意すること。

9.8 高齢者

大量又は長期にわたる広範囲の密封法(ODT)等の使用に際しては特に注意すること。一般に高齢者では副作用があらわれやすい。

11. 副作用

次の副作用があらわれることがあるので、観察を十分に行い、異常が認められた場合には投与を中止するなど適切な処置を行うこと。

11.1 重大な副作用

  1. 11.1.1 眼圧亢進、緑内障(頻度不明)

    眼瞼皮膚への使用に際しては、眼圧亢進、緑内障を起こすことがある。

  2. 11.1.2 後嚢白内障、緑内障(頻度不明)

    大量又は長期にわたる広範囲の使用、密封法(ODT)により、後囊白内障、緑内障等の症状があらわれることがある。

11.2 その他の副作用

0.1~5%未満

0.1%未満

頻度不明

皮膚の感染症1)

皮膚の真菌性(カンジダ症、白癬等)感染症[密封法(ODT)の場合、起こり易い]

皮膚の細菌性(伝染性膿痂疹、毛のう炎等)感染症[密封法(ODT)の場合、起こり易い]

その他の皮膚症状2)

乾燥感

長期連用による多毛等

長期連用によるステロイドざ瘡(尋常性ざ瘡に似るが、白色の面皰が多発する傾向がある)、ステロイド皮膚(皮膚萎縮、毛細血管拡張)、ステロイド酒さ・すなわち口囲皮膚炎(口囲、顔面全体に紅斑、丘疹、毛細血管拡張、痂皮、鱗屑を生じる)、魚鱗癬様皮膚変化、紫斑、色素脱失

過敏症

皮膚の刺激感

発疹等

下垂体・副腎皮質系機能

大量又は長期にわたる広範囲の使用、密封法(ODT)による下垂体・副腎皮質系機能の抑制

 注)発現頻度は使用成績調査の結果を含む。
1) 適切な抗菌剤、抗真菌剤等を併用し、症状が速やかに改善しない場合には、使用を中止すること。
2) 徐々にその使用を差し控え、副腎皮質ステロイドを含有しない薬剤に切り換えること。

14. 適用上の注意

14.1 使用部位

眼科用として使用しないこと。

14.2 使用方法

患者に治療以外の目的(化粧下、ひげそり後など)には使用しないよう注意すること。

16. 薬物動態

16.2 吸収

ヒトにおける3例の健常皮膚及び他の3例の損傷皮膚に3H-ジフルコルトロン吉草酸エステル0.1%含有のユニバーサルクリーム及び軟膏を100mg/16cm2、4時間塗布したとき、経皮吸収は健常皮膚から約0.2%、損傷皮膚から約0.4%と極めて少なく、ジフルコルトロン吉草酸エステルが長時間未変化体のままで表皮と真皮に滞留した1)(外国人データ)。

17. 臨床成績

17.1 有効性及び安全性に関する試験

  1. 17.1.1 二重盲検比較試験

    下表疾患患者340例を対象とした二重盲検比較試験において、テクスメテン軟膏及びテクスメテンユニバーサルクリームを塗布したときの有効率(有効以上)は下表のとおりであった2)

    疾患名

    有効率(例数)

    湿疹・皮膚炎群

    89.7% (201/224)

    乾癬

    91.4% (106/116)

    テクスメテン軟膏及びテクスメテンユニバーサルクリーム投与群での副作用発現頻度は、2.7%(安全性解析対象症例335例中9例)であった。主な副作用は、毛のう炎・せつ2.1%(7/335例)、乾燥感0.6%(2/335例)等であった。

  2. 17.1.2 パイロット試験

    下表疾患患者578例を対象としたパイロット試験において、テクスメテン軟膏及びテクスメテンユニバーサルクリームを塗布したときの有効率(有効以上)は下表のとおりであった3)

    疾患名

    有効率(例数)

    湿疹・皮膚炎群

    84.2% (246/292)

    乾癬

    91.5% (54/59)

    掌蹠膿疱症

    75.4% (89/118)

    痒疹群

    74.5% (41/55)

    紅皮症

    80.0% (16/20)

    慢性円板状エリテマトーデス

    84.2% (16/19)

    扁平紅色苔癬

    87.5% (7/8)

    アミロイド苔癬

    83.3% (5/6)

    その他の疾患

    0% (0/1)

    テクスメテン軟膏及びテクスメテンユニバーサルクリーム投与群での副作用発現頻度は、4.1%(安全性解析対象症例564例中23例)であった。主な副作用は、毛のう炎・せつ2.0%(11/564例)、皮疹の増悪1.4%(8/564例)、皮膚萎縮0.4%(2/564 例)等であった。

  3. 17.1.3 一般臨床試験

    下表疾患患者571例を対象とした一般臨床試験において、テクスメテン軟膏及びテクスメテンユニバーサルクリームを塗布したときの有効率(有効以上)は下表のとおりであった4),5),6),7),8),9),10),11),12),13),14),15),16),17),18),19)

    疾患名

    有効率(例数)

    湿疹・皮膚炎群

    87.0% (394/453)

    乾癬

    75.0% (33/44)

    掌蹠膿疱症

    37.5% (9/24)

    痒疹群

    45.8% (11/24)

    紅皮症

    57.1% (4/7)

    慢性円板状エリテマトーデス

    75.0% (6/8)

    扁平紅色苔癬

    50.0% (1/2)

    その他の疾患

    66.7% (6/9)

    テクスメテン軟膏及びテクスメテンユニバーサルクリーム投与群での副作用発現頻度は、2.1%(安全性解析対象症例570例中12例)であった。主な副作用は、皮疹の増悪1.1%(6/570例)、毛のう炎・せつ0.9%(5/570例)等であった。

18. 薬効薬理

18.1 作用機序

ジフルコルトロン吉草酸エステルは合成副腎皮質ステロイドであり、グルココルチコイド系副腎皮質作用により、血管収縮作用、浮腫抑制作用、浸出液抑制作用及び肉芽腫抑制作用を示す。

18.2 血管収縮作用

健康成人男子背部の密封貼布試験の結果、血管収縮作用は0.12%ベタメタゾン吉草酸エステル、0.025% フルオシノロンアセトニド等の外用剤に比べて有意に強かった20)

18.3 浮腫抑制作用

ラット(SD 系)を用いたクロトン油耳介試験の結果、浮腫抑制作用は、ベタメタゾン吉草酸エステル及びベクロメタゾンプロピオン酸エステルに比べて有意に強かった21),22)

18.4 浸出液抑制作用及び肉芽増殖抑制作用

ラット(SD系)の背部窒素ガス嚢内にクロトン油とともに被験薬を局所投与したgranuloma pouch 法の結果、浸出液抑制作用及び肉芽増殖抑制作用は、ベタメタゾン吉草酸エステル及びベクロメタゾンプロピオン酸エステルより有意に強かった22)

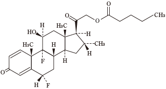
19. 有効成分に関する理化学的知見

一般的名称

ジフルコルトロン吉草酸エステル(Diflucortolone Valerate)(JAN)

化学名

6α,9-Difluoro-11β,21-dihydroxy-16α-methylpregna-1,4-diene-3,20-dione 21-pentanate

分子式

C27H36F2O5

分子量

478.57

性状

本品は白色の結晶又は結晶性の粉末である。
本品はメタノール又はエタノール(99.5)にやや溶けにくく、水にほとんど溶けない。

化学構造式

融点

200~204℃

22. 包装

  • テクスメテン軟膏0.1%

    10g×10(アルミチューブ)
    100g(プラスチック容器)

  • テクスメテンユニバーサルクリーム0.1%

    10g×10(アルミチューブ)

24. 文献請求先及び問い合わせ先

主要文献(社内資料含む)は下記にご請求ください。
佐藤製薬株式会社 医薬事業部

〒107-0051 東京都港区元赤坂1丁目5番27号

フリーダイヤル 0120-310-656

26. 製造販売業者等

26.1 製造販売元

佐藤製薬株式会社

東京都港区元赤坂1丁目5番27号

26.2 提携

エフ・ホフマン・ラ・ロシュ社

スイス・バーゼル

〒100-0013 東京都千代田区霞が関3-3-2 新霞が関ビル

画面を閉じる

Copyright © Pharmaceuticals and Medical Devices Agency, All Rights reserved.