医療用医薬品 詳細表示

ジルチアゼム塩酸塩徐放カプセル100mg「トーワ」/ジルチアゼム塩酸塩徐放カプセル200mg「トーワ」

処方せん医薬品

添付文書番号
企業コード
作成又は改訂年月
日本標準商品分類番号
薬効分類名
承認等
一般的名称
2.禁忌(次の患者には投与しないこと)
3.組成・性状
3.1組成
3.2製剤の性状
4.効能又は効果
6.用法及び用量
8.重要な基本的注意
9.特定の背景を有する患者に関する注意
9.1合併症・既往歴等のある患者
9.2腎機能障害患者
9.3肝機能障害患者
9.5妊婦
9.6授乳婦
9.7小児等
9.8高齢者
10.相互作用
10.1併用禁忌(併用しないこと)
10.2併用注意(併用に注意すること)
11.副作用
11.1重大な副作用
11.2その他の副作用
13.過量投与
14.適用上の注意
16.薬物動態
16.1血中濃度
16.4代謝
16.8その他
19.有効成分に関する理化学的知見
20.取扱い上の注意
22.包装
23.主要文献
24.文献請求先及び問い合わせ先
26.製造販売業者等

ジルチアゼム塩酸塩徐放カプセル100mg「トーワ」/ジルチアゼム塩酸塩徐放カプセル200mg「トーワ」

添付文書番号

2171006N1164_1_03

企業コード

300094

作成又は改訂年月

2024年3月改訂(第1版)

日本標準商品分類番号

872171

薬効分類名

持続性Ca拮抗剤

承認等

ジルチアゼム塩酸塩徐放カプセル100mg「トーワ」

販売名コード

YJコード

2171006N1164

販売名英語表記

DILTIAZEM HYDROCHLORIDE

販売名ひらがな

じるちあぜむえんさんえんじょほうかぷせる100mg「トーワ」

承認番号等

承認番号

23100AMX00028000

販売開始年月

1997年7月

貯法・有効期間

貯法

室温保存

有効期間

3年

基準名

日本薬局方

ジルチアゼム塩酸塩徐放カプセル

ジルチアゼム塩酸塩徐放カプセル200mg「トーワ」

販売名コード

YJコード

2171006N2080

販売名英語表記

DILTIAZEM HYDROCHLORIDE

販売名ひらがな

じるちあぜむえんさんえんじょほうかぷせる200mg「トーワ」

承認番号等

承認番号

23100AMX00029000

販売開始年月

2011年6月

貯法・有効期間

貯法

室温保存

有効期間

3年

基準名

日本薬局方

ジルチアゼム塩酸塩徐放カプセル

一般的名称

ジルチアゼム塩酸塩徐放カプセル

2. 禁忌(次の患者には投与しないこと)

  1. 2.1 重篤なうっ血性心不全の患者〔心不全症状を悪化させるおそれがある。〕
  2. 2.2 2度以上の房室ブロック、洞不全症候群(持続性の洞性徐脈(50拍/分未満)、洞停止、洞房ブロック等)のある患者〔本剤の心刺激生成抑制作用、心伝導抑制作用が過度にあらわれるおそれがある。〕
  3. 2.3 本剤の成分に対し過敏症の既往歴のある患者
  4. 2.4 妊婦又は妊娠している可能性のある女性
  5. 2.5 アスナプレビルを含有する製剤、イバブラジン塩酸塩、ロミタピドメシル酸塩を投与中の患者

3. 組成・性状

3.1 組成

ジルチアゼム塩酸塩徐放カプセル100mg「トーワ」

有効成分
(1カプセル中)
  日局 ジルチアゼム塩酸塩 100mg
添加剤  乳糖水和物、結晶セルロース、ヒプロメロース、マクロゴール6000、アンモニオアルキルメタクリレートコポリマー、タルク、ステアリン酸、ゼラチン、ラウリル硫酸ナトリウム

ジルチアゼム塩酸塩徐放カプセル200mg「トーワ」

有効成分
(1カプセル中)
  日局 ジルチアゼム塩酸塩 200mg
添加剤  乳糖水和物、結晶セルロース、ヒプロメロース、マクロゴール6000、アンモニオアルキルメタクリレートコポリマー、タルク、ステアリン酸、ゼラチン、ラウリル硫酸ナトリウム

3.2 製剤の性状

ジルチアゼム塩酸塩徐放カプセル100mg「トーワ」

性状キャップ、ボディとも白色不透明の硬カプセル剤
外形
大きさ長径:約17.7mm
短径:約6.3mm
重量約309mg

ジルチアゼム塩酸塩徐放カプセル200mg「トーワ」

性状キャップ、ボディとも白色不透明の硬カプセル剤
外形
大きさ長径:約21.8mm
短径:約 7.6mm
重量約594mg

4. 効能又は効果

  • 狭心症、異型狭心症
  • 本態性高血圧症(軽症~中等症)

6. 用法及び用量

  • 〈狭心症、異型狭心症〉

    通常、成人にはジルチアゼム塩酸塩として1日1回100mgを経口投与する。効果不十分な場合には、1日1回200mgまで増量することができる。

  • 〈本態性高血圧症(軽症~中等症)〉

    通常、成人にはジルチアゼム塩酸塩として1日1回100~200mgを経口投与する。なお、年齢、症状により適宜増減する。

8. 重要な基本的注意

  1. 8.1 Ca拮抗剤の投与を急に中止したとき、症状が悪化した症例が報告されているので、本剤の休薬を要する場合は徐々に減量し、観察を十分に行うこと。
    また、患者に医師の指示なしに服薬を中止しないように注意すること。
  2. 8.2 降圧作用に基づくめまい等があらわれることがあるので、高所作業、自動車の運転等危険を伴う機械を操作する際には注意させること。

9. 特定の背景を有する患者に関する注意

9.1 合併症・既往歴等のある患者

  1. 9.1.1 うっ血性心不全の患者(重篤なうっ血性心不全の患者を除く)

    心不全症状を悪化させるおそれがある。

  2. 9.1.2 高度の徐脈(50拍/分未満)又は1度の房室ブロックのある患者

    心刺激生成抑制作用、心伝導抑制作用が過度にあらわれるおそれがある。

  3. 9.1.3 過度に血圧の低い患者

    血圧を更に低下させるおそれがある。

9.2 腎機能障害患者

  1. 9.2.1 重篤な腎機能障害のある患者

    薬物の排泄が遅延し、作用が増強するおそれがある。

9.3 肝機能障害患者

  1. 9.3.1 重篤な肝機能障害のある患者

    薬物の代謝が遅延し、作用が増強するおそれがある。

9.5 妊婦

妊婦又は妊娠している可能性のある女性には投与しないこと。動物実験で催奇形作用(マウス:骨格異常、外形異常)及び胎児毒性(マウス、ラット:致死)が報告されている。

9.6 授乳婦

治療上の有益性及び母乳栄養の有益性を考慮し、授乳の継続又は中止を検討すること。ヒトの母乳中へ移行することが報告されている。

9.7 小児等

小児等を対象とした臨床試験は実施していない。

9.8 高齢者

低用量から投与を開始するなど患者の状態を十分観察しながら慎重に投与することが望ましい。一般に高齢者では過度の降圧は好ましくないとされている。

10. 相互作用

  • 本剤は主として代謝酵素チトクロームP450 3A4(CYP3A4)で代謝される。

10.1 併用禁忌(併用しないこと)

薬剤名等臨床症状・措置方法機序・危険因子

アスナプレビル(スンベプラ)

ダクラタスビル塩酸塩/アスナプレビル/ベクラブビル塩酸塩(ジメンシー)

アスナプレビルの血中濃度が上昇する。
肝胆道系の副作用が発現し、また重症化するおそれがある。

本剤がCYP3Aを阻害することにより、左記薬剤の代謝が阻害される。

イバブラジン塩酸塩(コララン)

過度の徐脈があらわれることがある。

本剤がCYP3Aを阻害することにより、左記薬剤の代謝が阻害され、血中濃度が上昇する。
左記薬剤の心拍数減少作用を相加的に増強する。

ロミタピドメシル酸塩(ジャクスタピッド)

ロミタピドメシル酸塩の血中濃度が著しく上昇するおそれがある。

本剤がCYP3Aを阻害することにより、左記薬剤の代謝が阻害される。

10.2 併用注意(併用に注意すること)

薬剤名等臨床症状・措置方法機序・危険因子

降圧作用を有する薬剤(降圧剤、硝酸剤等)

定期的に血圧を測定し、用量を調節する。

相加的に作用(降圧作用)を増強させると考えられる。

β遮断剤(ビソプロロールフマル酸塩、プロプラノロール塩酸塩、アテノロール等)

徐脈、房室ブロック、洞房ブロック等があらわれることがある。
定期的に脈拍数を測定し、必要に応じて心電図検査を行い、異常が認められた場合には減量若しくは投与を中止する。

相加的に作用(心刺激生成・伝導抑制作用、陰性変力作用、降圧作用)を増強させると考えられる。特にジギタリス製剤との3剤併用時には注意を要する。

ラウオルフィア製剤(レセルピン等)

徐脈、房室ブロック、洞房ブロック等があらわれることがある。
定期的に脈拍数を測定し、必要に応じて心電図検査を行い、異常が認められた場合には減量若しくは投与を中止する。

相加的に作用(心刺激生成・伝導抑制作用、陰性変力作用、降圧作用)を増強させると考えられる。特にジギタリス製剤との3剤併用時には注意を要する。

ジギタリス製剤(ジゴキシン、メチルジゴキシン)

徐脈、房室ブロック等があらわれることがある。また、これらの不整脈を含めジギタリス製剤の血中濃度上昇による中毒症状(悪心・嘔吐、頭痛、めまい、視覚異常等)があらわれることがある。
定期的にジギタリス中毒の有無の観察、心電図検査を行い、必要に応じてジギタリス製剤の血中濃度を測定し、異常が認められた場合には減量若しくは投与を中止する。

相加的に作用(心刺激生成・伝導抑制作用)を増強させると考えられる。特にβ遮断剤との3剤併用時には注意を要する。
また、本剤はジギタリス製剤の血中濃度を上昇させると考えられる。

抗不整脈薬(アミオダロン塩酸塩、メキシレチン塩酸塩等)

徐脈、房室ブロック、洞停止等があらわれることがある。
定期的に脈拍数を測定し、必要に応じて心電図検査を行い、異常が認められた場合には減量若しくは投与を中止する。

相加的に作用(心刺激生成・伝導抑制作用)を増強させると考えられる。

麻酔剤(イソフルラン等)

徐脈、房室ブロック、洞停止等があらわれることがある。
心電図をモニターし、異常が認められた場合には減量若しくは投与を中止する。

相加的に作用(心刺激生成・伝導抑制作用)を増強させると考えられる。

フィンゴリモド塩酸塩

フィンゴリモド塩酸塩の投与開始時に併用すると重度の徐脈や心ブロックが認められることがある。

共に徐脈や心ブロックを引き起こすおそれがある。

アプリンジン塩酸塩

両剤の血中濃度上昇による症状(徐脈、房室ブロック、洞停止、振戦、めまい、ふらつき等)があらわれることがある。
定期的に臨床症状を観察し、必要に応じて心電図検査を行い、異常が認められた場合には減量若しくは投与を中止する。

共通の代謝酵素(チトクロームP450)に影響を及ぼし合い、両剤の血中濃度を上昇させると考えられる。

ジヒドロピリジン系Ca拮抗剤(ニフェジピン、アムロジピンベシル酸塩等)

ジヒドロピリジン系Ca拮抗剤の血中濃度上昇による症状(降圧作用の増強等)があらわれることがある。
定期的に臨床症状を観察し、異常が認められた場合には減量若しくは投与を中止する。

これらの薬剤の代謝酵素(チトクロームP450)を阻害することにより、これらの薬剤の血中濃度を上昇させると考えられる。

シンバスタチン

シンバスタチンの血中濃度上昇による横紋筋融解症やミオパシーが発現することがある。
定期的に臨床症状を観察し、異常が認められた場合には投与を中止する。

これらの薬剤の代謝酵素(チトクロームP450)を阻害することにより、これらの薬剤の血中濃度を上昇させると考えられる。

トリアゾラム

トリアゾラムの血中濃度上昇による症状(睡眠時間の延長等)があらわれることがある。
定期的に臨床症状を観察し、異常が認められた場合には減量若しくは投与を中止する。

これらの薬剤の代謝酵素(チトクロームP450)を阻害することにより、これらの薬剤の血中濃度を上昇させると考えられる。

ミダゾラム

ミダゾラムの血中濃度上昇による症状(鎮静・睡眠作用の増強等)があらわれることがある。
定期的に臨床症状を観察し、異常が認められた場合には減量若しくは投与を中止する。

これらの薬剤の代謝酵素(チトクロームP450)を阻害することにより、これらの薬剤の血中濃度を上昇させると考えられる。

カルバマゼピン

カルバマゼピンの血中濃度上昇による症状(眠気、悪心・嘔吐、眩暈等)があらわれることがある。
定期的に臨床症状を観察し、異常が認められた場合には減量若しくは投与を中止する。

これらの薬剤の代謝酵素(チトクロームP450)を阻害することにより、これらの薬剤の血中濃度を上昇させると考えられる。

セレギリン塩酸塩

セレギリン塩酸塩の作用、毒性が増強することがある。
定期的に臨床症状を観察し、異常が認められた場合には減量若しくは投与を中止する。

これらの薬剤の代謝酵素(チトクロームP450)を阻害することにより、これらの薬剤の血中濃度を上昇させると考えられる。

テオフィリン

テオフィリンの血中濃度上昇による症状(悪心・嘔吐、頭痛、不眠等)があらわれることがある。
定期的に臨床症状を観察し、異常が認められた場合には減量若しくは投与を中止する。

これらの薬剤の代謝酵素(チトクロームP450)を阻害することにより、これらの薬剤の血中濃度を上昇させると考えられる。

シロスタゾール

シロスタゾールの作用が増強することがある。
定期的に臨床症状を観察し、異常が認められた場合には減量若しくは投与を中止する。

これらの薬剤の代謝酵素(チトクロームP450)を阻害することにより、これらの薬剤の血中濃度を上昇させると考えられる。

アピキサバン

アピキサバンの作用が増強することがある。
定期的に臨床症状を観察し、異常が認められた場合には減量若しくは投与を中止する。

これらの薬剤の代謝酵素(チトクロームP450)を阻害することにより、これらの薬剤の血中濃度を上昇させると考えられる。

ビノレルビン酒石酸塩

ビノレルビン酒石酸塩の作用が増強することがある。
定期的に臨床症状を観察し、異常が認められた場合には減量若しくは投与を中止する。

これらの薬剤の代謝酵素(チトクロームP450)を阻害することにより、これらの薬剤の血中濃度を上昇させると考えられる。

シクロスポリン

シクロスポリンの血中濃度上昇による症状(腎障害等)があらわれることがある。
定期的に臨床症状を観察し、また、シクロスポリンの血中濃度を測定し、異常が認められた場合には減量若しくは投与を中止する。

これらの薬剤の代謝酵素(チトクロームP450)を阻害することにより、これらの薬剤の血中濃度を上昇させると考えられる。

タクロリムス水和物

タクロリムスの血中濃度上昇による症状(腎障害等)があらわれることがある。
定期的に臨床症状を観察し、また、タクロリムスの血中濃度を測定し、異常が認められた場合には減量若しくは投与を中止する。

これらの薬剤の代謝酵素(チトクロームP450)を阻害することにより、これらの薬剤の血中濃度を上昇させると考えられる。

フェニトイン

フェニトインの血中濃度上昇による症状(運動失調、めまい、眼振等)があらわれることがある。
定期的に臨床症状を観察し、異常が認められた場合には減量若しくは投与を中止する。
また、本剤の作用が低下することがある。

フェニトインの代謝酵素(チトクロームP450)を阻害することにより、フェニトインの血中濃度を上昇させると考えられる。また、フェニトインが本剤の代謝を促進することにより、本剤の血中濃度を低下させると考えられる。

シメチジン

本剤の血中濃度上昇による症状(降圧作用の増強、徐脈等)があらわれることがある。
定期的に臨床症状を観察し、必要に応じて心電図検査を行い、異常が認められた場合には減量若しくは投与を中止する。

これらの薬剤が本剤の代謝酵素(チトクロームP450)を阻害することにより、本剤の血中濃度を上昇させると考えられる。

HIVプロテアーゼ阻害剤(リトナビル、サキナビルメシル酸塩等)

本剤の血中濃度上昇による症状(降圧作用の増強、徐脈等)があらわれることがある。
定期的に臨床症状を観察し、必要に応じて心電図検査を行い、異常が認められた場合には減量若しくは投与を中止する。

これらの薬剤が本剤の代謝酵素(チトクロームP450)を阻害することにより、本剤の血中濃度を上昇させると考えられる。

リファンピシン

本剤の作用が低下することがある。
定期的に臨床症状を観察し、また、可能であれば本剤の血中濃度を測定し、異常が認められた場合には、他剤への変更あるいは本剤を増量するなどの適切な処置を行う。

リファンピシンが本剤の代謝酵素(チトクロームP450)を誘導することにより、本剤の血中濃度を低下させると考えられる。

筋弛緩剤(パンクロニウム臭化物、ベクロニウム臭化物等)

筋弛緩剤の作用が増強することがある。
筋弛緩作用に注意し、異常が認められた場合には減量若しくは投与を中止する。

本剤が神経筋接合部において、シナプス前からのアセチルコリン放出を抑制させると考えられる。

11. 副作用

次の副作用があらわれることがあるので、観察を十分に行い、異常が認められた場合には投与を中止するなど適切な処置を行うこと。

11.1 重大な副作用

  1. 11.1.1 完全房室ブロック、高度徐脈等(いずれも頻度不明)

    初期症状として徐脈、めまい、ふらつき等があらわれることがあるので、異常が認められた場合には投与を中止し、アトロピン硫酸塩水和物、イソプレナリン等の投与や必要に応じて心臓ペーシング等の適切な処置を行うこと。,

  2. 11.1.2 うっ血性心不全(頻度不明)

    異常が認められた場合には投与を中止し、強心剤の投与等の適切な処置を行うこと。

  3. 11.1.3 皮膚粘膜眼症候群(Stevens-Johnson症候群)、中毒性表皮壊死融解症(Toxic Epidermal Necrolysis:TEN)、紅皮症(剥脱性皮膚炎)、急性汎発性発疹性膿疱症(いずれも頻度不明)

    紅斑、水疱、膿疱、そう痒、発熱、粘膜疹等があらわれた場合には投与を中止し、適切な処置を行うこと。

  4. 11.1.4 肝機能障害、黄疸(いずれも頻度不明)

    AST、ALT、γ-GTPの上昇等を伴う肝機能障害や黄疸があらわれることがある。

11.2 その他の副作用

0.1~5%未満

0.1%未満

頻度不明

循環器

徐脈、房室ブロック、顔面潮紅、めまい、動悸、浮腫

洞停止、血圧低下、胸痛

洞房ブロック

精神神経系

倦怠感、頭痛、頭重感、脱力感、眠気、不眠

パーキンソン様症状、こむらがえり

肝臓

AST上昇、ALT上昇

黄疸

ALP上昇、LDH上昇、γ-GTP上昇、肝腫大

過敏症

発疹、そう痒、多形性紅斑様皮疹

蕁麻疹

光線過敏症、膿疱

消化器

胃部不快感、便秘、腹痛、胸やけ、嘔気、軟便、下痢、口渇

食欲不振

血液

血小板減少、白血球減少

その他

歯肉肥厚、女性化乳房、しびれ

13. 過量投与

  1. 13.1 症状

    徐脈、完全房室ブロック、心不全、低血圧等があらわれることがある。

  2. 13.2 処置

    透析によって除去されない。下記等の適切な処置を行うこと。

    • 徐脈、完全房室ブロック

      アトロピン硫酸塩水和物、イソプレナリン等の投与や心臓ペーシングを適用すること。

    • 心不全、低血圧

      強心剤、昇圧剤、輸液等の投与や補助循環を適用すること。

14. 適用上の注意

14.1 薬剤交付時の注意

  1. 14.1.1 PTP包装の薬剤はPTPシートから取り出して服用するよう指導すること。PTPシートの誤飲により、硬い鋭角部が食道粘膜へ刺入し、更には穿孔をおこして縦隔洞炎等の重篤な合併症を併発することがある。
  2. 14.1.2 カプセルを開けず、また、かみ砕かずに服用するよう指導すること。徐放性が損なわれるおそれがある。

16. 薬物動態

16.1 血中濃度

  1. 16.1.1 生物学的同等性試験
    • 〈ジルチアゼム塩酸塩徐放カプセル100mg「トーワ」〉

      ジルチアゼム塩酸塩徐放カプセル100mg「トーワ」とヘルベッサーRカプセル100mgを、クロスオーバー法によりそれぞれ1カプセル(ジルチアゼム塩酸塩として100mg)を健康成人男子に絶食及び食後単回経口投与して血清中のジルチアゼム濃度を測定し、得られた薬物動態パラメータ(AUC、Cmax、MRT)について分散分析法にて統計解析を行った結果、両剤の生物学的同等性が確認された1)

    1. (1) 絶食投与

      判定パラメータ

      参考パラメータ

      AUC(ng・hr/mL)

      Cmax(ng/mL)

      MRT(hr)

      Tmax(hr)

      t1/2(hr)

      ジルチアゼム塩酸塩徐放カプセル100mg「トーワ」

      609.8±77.2

      40.22±5.60

      13.96±0.54

      9.3±0.5

      6.82±0.36

      ヘルベッサーRカプセル100mg

      623.1±69.4

      41.33±5.51

      14.14±0.74

      9.5±0.9

      7.14±0.52

      (Mean±S.E., n=12)

      血清中濃度並びにAUC、Cmax等のパラメータは、被験者の選択、体液の採取回数・時間等の試験条件によって異なる可能性がある。
    2. (2) 食後投与

      判定パラメータ

      参考パラメータ

      AUC(ng・hr/mL)

      Cmax(ng/mL)

      MRT(hr)

      Tmax(hr)

      t1/2(hr)

      ジルチアゼム塩酸塩徐放カプセル100mg「トーワ」

      916.7±120.2

      49.94±5.50

      15.84±0.70

      10.7±0.8

      7.38±0.59

      ヘルベッサーRカプセル100mg

      875.2±110.6

      51.55±6.18

      15.44±0.74

      10.2±0.5

      7.74±0.45

      (Mean±S.E., n=12)

      血清中濃度並びにAUC、Cmax等のパラメータは、被験者の選択、体液の採取回数・時間等の試験条件によって異なる可能性がある。

16.4 代謝

  1. 16.4.1 代謝酵素

    ジルチアゼム塩酸塩は主として代謝酵素チトクロームP450 3A4(CYP3A4)で代謝される2)

16.8 その他

  • 〈ジルチアゼム塩酸塩徐放カプセル200mg「トーワ」〉

    ジルチアゼム塩酸塩徐放カプセル200mg「トーワ」は、ジルチアゼム塩酸塩徐放カプセル100mg「トーワ」を標準製剤としたとき、溶出挙動が同等と判断され、生物学的に同等とみなされた3)

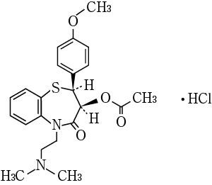
19. 有効成分に関する理化学的知見

一般的名称

ジルチアゼム塩酸塩(Diltiazem Hydrochloride)

化学名

(2S, 3S)-5-[2-(Dimethylamino)ethyl]-2-(4-methoxyphenyl)-4-oxo-2, 3, 4, 5-tetrahydro-1, 5-benzothiazepin-3-yl acetate monohydrochloride

分子式

C22H26N2O4S・HCl

分子量

450.98

性状

白色の結晶又は結晶性の粉末で、においはない。
ギ酸に極めて溶けやすく、水、エタノール又はクロロホルムに溶けやすく、アセトニトリルにやや溶けにくく、無水酢酸又はエタノール(99.5)に溶けにくく、ジエチルエーテルにほとんど溶けない。

化学構造式

融点

210~215℃(分解)

旋光度〔α〕

+115〜+120°(乾燥後、0.2g、水、20mL、100mm)

20. 取扱い上の注意

開封後は湿気を避けて保存すること。

22. 包装

  • 〈ジルチアゼム塩酸塩徐放カプセル100mg「トーワ」〉

    PTP:100カプセル(10カプセル×10)、1000カプセル(10カプセル×100)

  • 〈ジルチアゼム塩酸塩徐放カプセル200mg「トーワ」〉

    バラ:100カプセル

24. 文献請求先及び問い合わせ先

東和薬品株式会社 学術部DIセンター

〒570-0081 大阪府守口市日吉町2丁目5番15号

0120-108-932 FAX 06-7177-7379

26. 製造販売業者等

26.1 製造販売元

佐藤薬品工業株式会社

奈良県橿原市観音寺町9番地の2

26.2 発売

東和薬品株式会社

大阪府門真市新橋町2番11号

〒100-0013 東京都千代田区霞が関3-3-2 新霞が関ビル

画面を閉じる

Copyright © Pharmaceuticals and Medical Devices Agency, All Rights reserved.