医療用医薬品 詳細表示

サラヤ塩化ベンザルコニウム10%液

添付文書番号

2616700Q1476_1_06

企業コード

300114

作成又は改訂年月

2024年3月改訂(第1版)

日本標準商品分類番号

872616

薬効分類名

殺菌消毒剤

承認等

サラヤ塩化ベンザルコニウム10%液

販売名コード

YJコード

2616700Q1476

承認番号等

承認番号

21700AMZ00238000

販売開始年月

2005年6月

貯法・有効期間

貯法

室温保存

有効期間

3年

基準名

日本薬局方

ベンザルコニウム塩化物液

一般的名称

ベンザルコニウム塩化物

3. 組成・性状

3.1 組成

サラヤ塩化ベンザルコニウム10%液

有効成分ベンザルコニウム塩化物   10w/v%

3.2 製剤の性状

サラヤ塩化ベンザルコニウム10%液

剤形液剤
色調無色~淡黄色澄明
におい特異なにおい

4. 効能・効果

手指・皮膚の消毒
手術部位(手術野)の皮膚の消毒
手術部位(手術野)の粘膜の消毒

皮膚・粘膜の創傷部位の消毒
感染皮膚面の消毒
医療用具の消毒
手術室・病室・家具・器具・物品などの消毒
膣洗浄
結膜嚢の洗浄・消毒

6. 用法・用量

効能・効果

用法・用量

手指・皮膚の消毒

通常石けんで十分に洗浄し、水で石けん分を十分に洗い落した後、ベンザルコニウム塩化物0.05~0.1%溶液に浸して洗い、滅菌ガーゼあるいは布片で清拭する。術前の手洗の場合には、5~10分間ブラッシングする。

手術部位(手術野)の皮膚の消毒

手術前局所皮膚面をベンザルコニウム塩化物0.1%溶液で約5分間洗い、その後ベンザルコニウム塩化物0.2%溶液を塗布する。

手術部位(手術野)の粘膜の消毒、皮膚・粘膜の創傷部位の消毒

ベンザルコニウム塩化物0.01~0.025%溶液を用いる。

感染皮膚面の消毒

ベンザルコニウム塩化物0.01%溶液を用いる。

医療用具の消毒

ベンザルコニウム塩化物0.1%溶液に10分間浸漬するか、又は厳密に消毒する際は、器具を予め2%炭酸ナトリウム水溶液で洗い、その後ベンザルコニウム塩化物0.1%溶液中で15分間煮沸する。

手術室・病室・家具・器具・物品などの消毒

ベンザルコニウム塩化物0.05~0.2%溶液を布片で塗布・清拭するか、又は噴霧する。

腟洗浄

ベンザルコニウム塩化物0.02~0.05%溶液を用いる。

結膜囊の洗浄・消毒

ベンザルコニウム塩化物0.01~0.05%溶液を用いる。

11. 副作用

次の副作用があらわれることがあるので、観察を十分に行い、異常が認められた場合には投与を中止するなど適切な処置を行うこと。

11.2 その他の副作用

頻度不明

過敏症

発疹、そう痒感等

12. 臨床検査結果に及ぼす影響

本剤で消毒したカテーテルで採取した尿は、スルホサリチル酸法による尿蛋白試験で偽陽性を示すことがある。

14. 適用上の注意

14.1 薬剤調製時の注意

  1. 14.1.1 本剤は必ず希釈し、濃度に注意して使用すること。
  2. 14.1.2 希釈倍数

    濃度

    0.01%

    0.02%

    0.025%

    希釈倍数

    1,000倍

    500倍

    400倍

  3. 14.1.3 炎症又は易刺激性の部位(粘膜、陰股部等)に使用する場合には、通常の部位に使用するよりも低濃度とすることが望ましい。
  4. 14.1.4 希釈液として塩類含量の多い水又は硬水を用いる場合には、通常用いる濃度の1.5~2倍の溶液として使用すること。
  5. 14.1.5 深い創傷又は眼に使用する場合の希釈液としては、注射用水か滅菌精製水を用い、水道水や精製水を用いないこと。
  6. 14.1.6 繊維、布(綿、ガーゼ、ウール、レーヨン等)は本剤の成分であるベンザルコニウム塩化物を吸着するので、これらを溶液に浸漬して用いる場合には、有効濃度以下とならないように注意すること。
  7. 14.1.7 金属器具を長時間浸漬する必要がある場合は、腐蝕を防止するためにベンザルコニウム塩化物0.1%溶液に0.5~1.0%の亜硝酸ナトリウムを添加すること。

14.2 薬剤使用時の注意

  1. 14.2.1 経口投与しないこと。
  2. 14.2.2 浣腸には使用しないこと。
  3. 14.2.3 原液又は濃厚液が眼に入らないよう注意すること。入った場合には水でよく洗い流すこと。
  4. 14.2.4 濃厚液の使用により、皮膚・粘膜の刺激症状があらわれることがあるので、注意すること。
  5. 14.2.5 全身吸収による筋脱力を起こすおそれがあるので、粘膜、創傷面又は炎症部位に長期間又は広範囲に使用しないこと。
  6. 14.2.6 密封包帯、ギプス包帯、パックに使用すると刺激症状があらわれることがあるので、使用しないことが望ましい。
  7. 14.2.7 血清、膿汁等の有機性物質は殺菌作用を減弱させるので、これらが付着している医療器具等に用いる場合は、十分に洗い落してから使用すること。
  8. 14.2.8 石けん類は本剤の殺菌作用を減弱させるので、石けん分を洗い落してから使用すること。
  9. 14.2.9 皮膚消毒に使用する綿球、ガーゼ等は滅菌保存し、使用時に溶液に浸すこと。
  10. 14.2.10 合成ゴム製品、合成樹脂製品、光学器具、鏡器具、塗装カテーテル等への使用は避けることが望ましい。
  11. 14.2.11 皮革製品の消毒に使用すると、変質させることがあるので、使用しないこと。

18. 薬効薬理

18.1 作用機序

タンパク変性及び酵素の切断、糖の分解と乳酸の酸化など代謝への作用、膜透過性障害による溶菌、リン及びカリウムの漏出、解糖の促進、原形質膜の活動を支える酵素に対する作用などが考えられている1)

18.2 殺菌作用

本剤はグラム陽性、陰性菌のみならず、芽胞のない細菌やカビ類といった真菌類に対しても殺菌作用を有する。しかし、結核菌及び大部分のウイルスに対する殺菌効果は期待できない1)

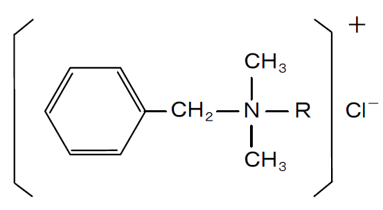
19. 有効成分に関する理化学的知見

一般的名称

ベンザルコニウム塩化物(Benzalkonium Chloride)

化学名

Alkylbenzyldimethylammonium chloride

分子式

〔C6H5CH2N(CH32R〕Cl
R=C8H17~C18H37(主としてC12H25及びC14H29、本剤の場合、RはC12H25が80~85%、C12H25+C14H29が98%以上)

分子量

354.01(C22H40ClNとして)

性状

白色~黄白色の粉末又は無色~淡黄色のゼラチン状の小片、ゼリー様の流動体若しくは塊で、特異なにおいがある。
水又はエタノール(95)に極めて溶けやすく、ジエチルエーテルにほとんど溶けない。
水溶液は振ると強く泡立つ。

化学構造式

22. 包装

500mL(ポリエチレン容器)

24. 文献請求先及び問い合わせ先

サラヤ株式会社 学術部

〒541-0051 大阪市中央区備後町4-2-5

TEL.06-4706-3938

26. 製造販売業者等

26.1 製造販売元

サラヤ株式会社

大阪市東住吉区湯里2-2-8

〒100-0013 東京都千代田区霞が関3-3-2 新霞が関ビル

画面を閉じる

Copyright © Pharmaceuticals and Medical Devices Agency, All Rights reserved.