医療用医薬品 詳細表示

ロフラゼプ酸エチル錠1mg「サワイ」/ロフラゼプ酸エチル錠2mg「サワイ」

処方せん医薬品

添付文書番号
企業コード
作成又は改訂年月
日本標準商品分類番号
薬効分類名
承認等
一般的名称
2.禁忌(次の患者には投与しないこと)
3.組成・性状
3.1組成
3.2製剤の性状
4.効能又は効果
6.用法及び用量
8.重要な基本的注意
9.特定の背景を有する患者に関する注意
9.1合併症・既往歴等のある患者
9.2腎機能障害患者
9.3肝機能障害患者
9.5妊婦
9.6授乳婦
9.7小児等
9.8高齢者
10.相互作用
10.2併用注意(併用に注意すること)
11.副作用
11.1重大な副作用
11.2その他の副作用
13.過量投与
14.適用上の注意
15.その他の注意
15.1臨床使用に基づく情報
16.薬物動態
16.1血中濃度
16.2吸収
16.3分布
16.4代謝
16.5排泄
18.薬効薬理
18.1作用機序
18.2薬理作用
19.有効成分に関する理化学的知見
22.包装
23.主要文献
24.文献請求先及び問い合わせ先
25.保険給付上の注意
26.製造販売業者等

ロフラゼプ酸エチル錠1mg「サワイ」/ロフラゼプ酸エチル錠2mg「サワイ」

添付文書番号

1124029F1123_1_07

企業コード

300119

作成又は改訂年月

2023年12月改訂(第1版)

日本標準商品分類番号

871124

薬効分類名

持続性心身安定剤

承認等

ロフラゼプ酸エチル錠1mg「サワイ」

販売名コード

YJコード

1124029F1123

販売名英語表記

ETHYL LOFLAZEPATE Tablets [SAWAI]

販売名ひらがな

ろふらぜぷさんえちるじょう

承認番号等

承認番号

22400AMX01452000

販売開始年月

1997年9月

貯法・有効期間

貯法

室温保存

有効期間

3年

基準名

日本薬局方

ロフラゼプ酸エチル錠

ロフラゼプ酸エチル錠2mg「サワイ」

販売名コード

YJコード

1124029F2090

販売名英語表記

ETHYL LOFLAZEPATE Tablets [SAWAI]

販売名ひらがな

ろふらぜぷさんえちるじょう

承認番号等

承認番号

22400AMX01453000

販売開始年月

1997年9月

貯法・有効期間

貯法

室温保存

有効期間

3年

基準名

日本薬局方

ロフラゼプ酸エチル錠

一般的名称

ロフラゼプ酸エチル

2. 禁忌(次の患者には投与しないこと)

  1. 2.1 ベンゾジアゼピン系薬剤に対して過敏症の既往歴のある患者
  2. 2.2 急性閉塞隅角緑内障の患者[眼圧が上昇し、症状が悪化するおそれがある。]
  3. 2.3 重症筋無力症のある患者[筋弛緩作用により症状が悪化するおそれがある。]

3. 組成・性状

3.1 組成

ロフラゼプ酸エチル錠1mg「サワイ」

1錠中
有効成分日局ロフラゼプ酸エチル   1mg
添加剤ステアリン酸Mg、乳糖、ヒドロキシプロピルセルロース

ロフラゼプ酸エチル錠2mg「サワイ」

1錠中
有効成分日局ロフラゼプ酸エチル   2mg
添加剤ステアリン酸Mg、乳糖、ヒドロキシプロピルセルロース、黄色5号

3.2 製剤の性状

ロフラゼプ酸エチル錠1mg「サワイ」

剤形素錠
外形

大きさ直径6.0mm
厚さ2.4mm
質量約90mg
識別コードSW 212
性状白色

ロフラゼプ酸エチル錠2mg「サワイ」

剤形割線入り素錠
外形

大きさ直径6.0mm
厚さ2.4mm
質量約90mg
識別コードSW 213
性状うすい黄赤色

4. 効能又は効果

  • 神経症における不安・緊張・抑うつ・睡眠障害
  • 心身症(胃・十二指腸潰瘍、慢性胃炎、過敏性腸症候群、自律神経失調症)における不安・緊張・抑うつ・睡眠障害

6. 用法及び用量

通常、成人には、ロフラゼプ酸エチルとして2mgを1日1~2回に分割経口投与する。
なお、年齢、症状に応じて適宜増減する。

8. 重要な基本的注意

  1. 8.1 眠気、注意力・集中力・反射運動能力等の低下が起こることがあるので、本剤投与中の患者には自動車の運転等危険を伴う機械の操作に従事させないように注意すること。
  2. 8.2 連用により薬物依存を生じることがあるので、漫然とした継続投与による長期使用を避けること。本剤の投与を継続する場合には、治療上の必要性を十分に検討すること。

9. 特定の背景を有する患者に関する注意

9.1 合併症・既往歴等のある患者

  1. 9.1.1 心障害のある患者

    症状が悪化するおそれがある。

  2. 9.1.2 脳に器質的障害のある患者

    作用が強くあらわれることがある。

  3. 9.1.3 衰弱患者

    作用が強くあらわれる。

  4. 9.1.4 中等度又は重篤な呼吸不全のある患者

    症状が悪化するおそれがある。

9.2 腎機能障害患者

血中濃度が上昇するおそれがある。

9.3 肝機能障害患者

血中濃度が上昇するおそれがある。

9.5 妊婦

妊婦又は妊娠している可能性のある女性には、治療上の有益性が危険性を上回ると判断される場合にのみ投与すること。

  1. 9.5.1 妊娠中に他のベンゾジアゼピン系薬剤(ジアゼパム)の投与を受けた患者の中に、奇形を有する児等の障害児を出産した例が対照群と比較して有意に多いとの疫学的調査報告がある。
  2. 9.5.2 妊娠後期の女性にベンゾジアゼピン系薬剤を投与したとき、新生児に哺乳困難、嘔吐、活動低下、筋緊張低下、過緊張、嗜眠、傾眠、呼吸抑制・無呼吸、チアノーゼ、易刺激性、神経過敏、振戦、低体温、頻脈等を起こすことが報告されている。なお、これらの症状は、離脱症状あるいは新生児仮死として報告される場合もある。また、ベンゾジアゼピン系薬剤で新生児に黄疸の増強を起こすことが報告されている。
  3. 9.5.3 分娩前に連用した場合、出産後新生児に離脱症状があらわれることが、ベンゾジアゼピン系薬剤で報告されている。

9.6 授乳婦

授乳を避けさせること。ヒト母乳中へ移行し、新生児に嗜眠、体重減少等を起こすことがあり、また、黄疸を増強する可能性がある。

9.7 小児等

小児等を対象とした有効性及び安全性を指標とした臨床試験は実施していない。

9.8 高齢者

少量から投与を開始するなど慎重に投与すること。運動失調等の副作用が発現しやすい。

10. 相互作用

  • 本剤の活性代謝物の代謝には主に肝薬物代謝酵素CYP3A4が関与している。

10.2 併用注意(併用に注意すること)

薬剤名等臨床症状・措置方法機序・危険因子
  • 中枢神経抑制剤
    • フェノチアジン誘導体
      • クロルプロマジン塩酸塩等
    • バルビツール酸誘導体
      • フェノバルビタール等

両剤の作用が増強されるおそれがある。

中枢神経抑制剤のベンゾジアゼピン系薬剤は抑制性神経伝達物質であるGABA受容体への結合を増大し、GABAニューロンの機能を亢進させる。中枢神経抑制剤との併用で相加的な作用の増強を示す可能性がある。

  • モノアミン酸化酵素阻害剤

両剤の作用が増強されるおそれがある。

不明

  • シメチジン

本剤の血中濃度が上昇するおそれがある。

シメチジンが肝での代謝(酸化)を抑制して排泄を遅延させ、半減期を延長、血中濃度を上昇させるためと考えられている。この作用は特に肝で酸化されるベンゾジアゼピン系薬剤で起こりやすい。

  • アルコール
  • (飲酒)

本剤の作用が増強されることがある。

エタノールとの併用で相加的な中枢抑制作用を示す。アルコールの血中濃度が高い場合は代謝が阻害され、クリアランスが低下し、半減期は延長する。

  • 四環系抗うつ剤
    • マプロチリン塩酸塩等

併用中の本剤を急速に減量又は中止すると痙攣発作が起こるおそれがある。

本剤の抗痙攣作用が、四環系抗うつ剤による痙攣発作の発現を抑えている可能性がある。

11. 副作用

次の副作用があらわれることがあるので、観察を十分に行い、異常が認められた場合には投与を中止するなど適切な処置を行うこと。

11.1 重大な副作用

  1. 11.1.1 依存性(0.1%未満)、離脱症状(5%未満)

    連用により薬物依存を生じることがあるので、観察を十分に行い、用量及び使用期間に注意し慎重に投与すること。また、連用中における投与量の急激な減少ないし投与の中止により、痙攣発作(0.1%未満)、せん妄、振戦、不眠、不安、幻覚、妄想(いずれも0.1~5%未満)等の離脱症状があらわれることがあるので、投与を中止する場合には、徐々に減量するなど慎重に行うこと。

  2. 11.1.2 刺激興奮、錯乱(いずれも頻度不明)
  3. 11.1.3 幻覚(頻度不明)
  4. 11.1.4 呼吸抑制(0.1%未満)

    呼吸機能が高度に低下している患者に投与した場合、呼吸抑制があらわれることがある。

11.2 その他の副作用

5%以上

0.1~5%未満

0.1%未満

頻度不明

精神神経系

眠気

ふらつき、めまい、頭がボーッとする、頭痛、舌のもつれ、しびれ感、霧視

言語障害(構音障害等)、味覚倒錯、いらいら感、複視、耳鳴、不眠

健忘

消化器

口渇、嘔気、便秘、食欲不振、腹痛

下痢、胃痛、口内炎、胸やけ、心窩部痛

肝臓

ALT、AST上昇

肝機能障害、γ-GTP、LDH上昇

血液

好酸球増多、白血球減少

貧血

泌尿器

頻尿、残尿感

過敏症

発疹、皮膚瘙痒感

骨格筋

倦怠感、脱力感、易疲労感、筋弛緩

その他

発赤、性欲減退、ウロビリノーゲン陽性、冷感、いびき

13. 過量投与

  1. 13.1 症状

    本剤の過量投与時の主な症状は過度の傾眠で、昏睡を起こすことがある。

  2. 13.2 処置

    本剤の過量投与が明白又は疑われた場合の処置としてフルマゼニル(ベンゾジアゼピン受容体拮抗剤)を投与する場合には、使用前にフルマゼニルの使用上の注意を必ず読むこと。

14. 適用上の注意

14.1 薬剤交付時の注意

PTP包装の薬剤はPTPシートから取り出して服用するよう指導すること。PTPシートの誤飲により、硬い鋭角部が食道粘膜へ刺入し、更には穿孔をおこして縦隔洞炎等の重篤な合併症を併発することがある。

15. その他の注意

15.1 臨床使用に基づく情報

  1. 15.1.1 投与した薬剤が特定されないままにフルマゼニル(ベンゾジアゼピン受容体拮抗剤)を投与された患者で、新たに本剤を投与する場合、本剤の鎮静・抗痙攣作用が変化、遅延するおそれがある。
  2. 15.1.2 他のベンゾジアゼピン系薬剤で長期投与により耐性があらわれることが報告されている。

16. 薬物動態

16.1 血中濃度

  1. 16.1.1 健康成人(n=5)にロフラゼプ酸エチル2mgを経口投与した時の薬物動態パラメータは表1のとおりであった1)
    表1 薬物動態パラメータ

    Tmax(hr)

    Cmax(ng/mL)

    T1/2(hr)

    AUC(ng・hr/mL)

    0.8±0.3

    182±21.5

    125±55.0
    (70.9~207)

    4649±393

    Mean±S.D.

    連続投与時の血漿中濃度は1~3週間程度で定常状態に到達すると考えられており、蓄積性は認められなかった2)

  2. 16.1.2 生物学的同等性試験
    • 〈ロフラゼプ酸エチル錠1mg「サワイ」〉

      ロフラゼプ酸エチル錠1mg「サワイ」とメイラックス錠1mgを健康成人男子にそれぞれ1錠(ロフラゼプ酸エチルとして1mg)空腹時単回経口投与(クロスオーバー法)し、活性代謝物(M-1体(エチルエステル基が加水分解されたカルボン酸体)及びM-2体(M-1体の脱炭酸体))の血漿中濃度を測定した。得られた薬物動態パラメータ(AUC、Cmax)について統計解析を行った結果、両剤の生物学的同等性が確認された3)

      表2 各製剤1錠投与時の薬物動態パラメータ

      Cmax
      (ng/mL)

      Tmax
      (hr)

      T1/2
      (hr)

      AUC0-168hr
      (ng・hr/mL)

      ロフラゼプ酸エチル錠1mg「サワイ」

      68±14

      1.2±0.6

      97±37

      1852±391

      メイラックス錠1mg

      66±11

      0.9±0.4

      99±27

      1928±381

      (Mean±S.D.)

    • 〈ロフラゼプ酸エチル錠2mg「サワイ」〉

      ロフラゼプ酸エチル錠2mg「サワイ」とメイラックス錠2mgを健康成人男子にそれぞれ1錠(ロフラゼプ酸エチルとして2mg)空腹時単回経口投与(クロスオーバー法)し、活性代謝物(M-1体(エチルエステル基が加水分解されたカルボン酸体)及びM-2体(M-1体の脱炭酸体))の血漿中濃度を測定した。得られた薬物動態パラメータ(AUC、Cmax)について統計解析を行った結果、両剤の生物学的同等性が確認された4)

      表3 各製剤1錠投与時の薬物動態パラメータ

      Cmax
      (ng/mL)

      Tmax
      (hr)

      T1/2
      (hr)

      AUC0-216hr
      (ng・hr/mL)

      ロフラゼプ酸エチル錠2mg「サワイ」

      125±23

      1.4±0.6

      102±33

      4586±1360

      メイラックス錠2mg

      120±22

      1.3±0.5

      104±33

      4328±1350

      (Mean±S.D.)

      血漿中濃度ならびにAUC、Cmax等のパラメータは、被験者の選択、体液の採取回数・時間等の試験条件によって異なる可能性がある。

16.2 吸収

  1. 16.2.1 生物学的利用度(吸収率)

    健康成人にロフラゼプ酸エチル2mgを経口投与及び静脈内投与し、それらのAUC(M-1注1)+M-2注2))から求めた吸収率は69±8%であった5)

16.3 分布

  1. 16.3.1 蛋白結合

    限外濾過法により測定したヒト血清蛋白との結合率は表4のとおりであった1)in vitro)。

    表4 蛋白結合率(ヒト血清)

    代謝物

    濃度(ng/mL)

    蛋白結合率(%)(平均±S.D.)

    M-1注1)

    100

    >99

    500

    96.0

    M-2注2)

    100

    98.6

    500

    94.3±6.7

    M-3注3)

    100

    96.7±0.8

16.4 代謝

ロフラゼプ酸エチルは経口投与後速やかに吸収され、消化管通過時や肝によって初回通過効果を受け、未変化体は血中から検出されず、活性代謝物M-1注1)及びM-2注2)として血中に存在した。M-2注2)からM-3注3)の代謝には、主にCYP3A4が関与している1),6)

16.5 排泄

尿中には、投与後14日間で投与量の50%が排泄(同定)され、主要尿中代謝物はM-3注3)の抱合体であった1)

注1)エチルエステル基が加水分解されたカルボン酸体
注2)M-1の脱炭酸体
注3)M-2の3位水酸化体

18. 薬効薬理

18.1 作用機序

ロフラゼプ酸エチルは消化管や肝で速やかに代謝され、活性代謝物であるM-1及びM-2がベンゾジアゼピン受容体に結合し、抑制性神経伝達物質GABAのシナプス伝達を増強する結果、抗不安作用等の中枢神経作用を発揮すると考えられる5)

18.2 薬理作用

ロフラゼプ酸エチルはジアゼパムなどのベンゾジアゼピン系薬剤に共通した中枢神経作用を有しているが、その作用強度や薬理学的プロフィールは他のベンゾジアゼピン系薬剤とは異なっている。鎮静作用、意識水準の低下、筋弛緩作用及び協調運動抑制作用は比較的弱い反面、抗痙攣作用や抗コンフリクト作用が強い5)

  1. 18.2.1 抗コンフリクト作用

    抗コンフリクト作用は5mg/kgで認められ、その強度はジアゼパムの2倍、ロラゼパムの8倍であった(ラット)7)

  2. 18.2.2 馴化静穏作用

    嗅球摘出及び中脳縫線核破壊により誘発される攻撃行動(muricide)に対する抑制作用は、それぞれロラゼパムの1/6及び1/4で、ジアゼパムとほぼ同等であった(ラット)7)

  3. 18.2.3 抗痙攣作用

    抗ペンテトラゾール痙攣作用はロラゼパムと同等で、ジアゼパムの7倍であった(マウス)7)

  4. 18.2.4 麻酔・睡眠増強作用

    チオペンタール麻酔増強作用はロラゼパムの1/4で、ジアゼパムの1/2であった(マウス)。
    ベンゾジアゼピン系睡眠導入薬で特に強く発現するクロルプロチキセン睡眠増強作用は弱く、ニトラゼパムの1/14であった(マウス)7),8)

  5. 18.2.5 筋弛緩作用・協調運動抑制作用

    傾斜板法による筋弛緩作用はジアゼパムとほぼ同等であった(マウス)。回転棒法による協調運動抑制作用は極めて弱く、ロラゼパムの1/7で、ジアゼパムの1/4であった(マウス)7),8)

  6. 18.2.6 運動系機能に及ぼす影響

    脊髄多シナプス反射及び後根反射電位並びに除脳固縮による頸部筋放電に対する作用は、いずれもジアゼパムより弱かった(ネコ)8)

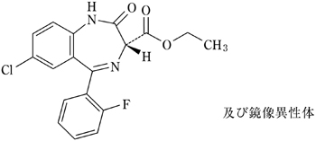
19. 有効成分に関する理化学的知見

一般的名称

ロフラゼプ酸エチル(Ethyl Loflazepate)

化学名

Ethyl (3RS)-7-chloro-5-(2-fluorophenyl)-2-oxo-2,3-dihydro-1H-1,4-benzodiazepine-3-carboxylate

分子式

C18H14ClFN2O3

分子量

360.77

性状

白色の結晶性の粉末である。ジメチルスルホキシドに溶けやすく、アセトニトリルにやや溶けにくく、エタノール(99.5)に溶けにくく、水にほとんど溶けない。ジメチルスルホキシド溶液(1→50)は旋光性を示さない。

化学構造式

融点

約199℃(分解)

22. 包装

  • ロフラゼプ酸エチル錠1mg「サワイ」

    PTP:100錠(10錠×10)、1,000錠(10錠×100)
    バラ:1,000錠

  • ロフラゼプ酸エチル錠2mg「サワイ」

    PTP:100錠(10錠×10)

24. 文献請求先及び問い合わせ先

沢井製薬株式会社 医薬品情報センター

〒532-0003 大阪市淀川区宮原5丁目2-30

*TEL:0120-381-999 FAX:06-7708-8966

25. 保険給付上の注意

本剤は、厚生労働省告示第97号(平成20年3月19日付)により、投薬量が1回30日分を限度とされています。

26. 製造販売業者等

26.1 製造販売元

沢井製薬株式会社

大阪市淀川区宮原5丁目2-30

〒100-0013 東京都千代田区霞が関3-3-2 新霞が関ビル

画面を閉じる

Copyright © Pharmaceuticals and Medical Devices Agency, All Rights reserved.