医療用医薬品 詳細表示

セルトラリン錠25mg「サワイ」/セルトラリン錠50mg「サワイ」/セルトラリン錠100mg「サワイ」

処方せん医薬品

添付文書番号
企業コード
作成又は改訂年月
日本標準商品分類番号
薬効分類名
承認等
一般的名称
2.禁忌(次の患者には投与しないこと)
3.組成・性状
3.1組成
3.2製剤の性状
4.効能又は効果
5.効能又は効果に関連する注意
6.用法及び用量
7.用法及び用量に関連する注意
8.重要な基本的注意
9.特定の背景を有する患者に関する注意
9.1合併症・既往歴等のある患者
9.3肝機能障害患者
9.5妊婦
9.6授乳婦
9.7小児等
9.8高齢者
10.相互作用
10.1併用禁忌(併用しないこと)
10.2併用注意(併用に注意すること)
11.副作用
11.1重大な副作用
11.2その他の副作用
13.過量投与
14.適用上の注意
15.その他の注意
15.1臨床使用に基づく情報
16.薬物動態
16.1血中濃度
16.2吸収
16.3分布
16.4代謝
16.5排泄
16.6特定の背景を有する患者
16.7薬物相互作用
16.8その他
17.臨床成績
17.1有効性及び安全性に関する試験
18.薬効薬理
18.1作用機序
18.2抗うつ作用
18.3抗不安作用
18.45-HT2C受容体作動薬による自発運動量減少に対する作用
19.有効成分に関する理化学的知見
22.包装
23.主要文献
24.文献請求先及び問い合わせ先
26.製造販売業者等

セルトラリン錠25mg「サワイ」/セルトラリン錠50mg「サワイ」/セルトラリン錠100mg「サワイ」

添付文書番号

1179046F1117_2_10

企業コード

300119

作成又は改訂年月

**2025年12月改訂(第3版)
2024年1月改訂(第2版)

日本標準商品分類番号

871179

薬効分類名

選択的セロトニン再取り込み阻害剤

承認等

セルトラリン錠25mg「サワイ」

販売名コード

YJコード

1179046F1117

販売名英語表記

SERTRALINE Tablets [SAWAI]

販売名ひらがな

せるとらりんじょう

承認番号等

承認番号

22700AMX00783000

販売開始年月

2015年12月

貯法・有効期間

貯法

室温保存

有効期間

3年

セルトラリン錠50mg「サワイ」

販売名コード

YJコード

1179046F2113

販売名英語表記

SERTRALINE Tablets [SAWAI]

販売名ひらがな

せるとらりんじょう

承認番号等

承認番号

22700AMX00784000

販売開始年月

2015年12月

貯法・有効期間

貯法

室温保存

有効期間

3年

セルトラリン錠100mg「サワイ」

販売名コード

YJコード

1179046F3144

販売名英語表記

SERTRALINE Tablets [SAWAI]

販売名ひらがな

せるとらりんじょう

承認番号等

承認番号

22800AMX00138000

販売開始年月

2016年6月

貯法・有効期間

貯法

室温保存

有効期間

3年

一般的名称

セルトラリン塩酸塩

2. 禁忌(次の患者には投与しないこと)

  1. 2.1 本剤の成分に対し過敏症の既往歴のある患者
  2. 2.2 MAO阻害剤を投与中あるいは投与中止後14日間以内の患者,
  3. 2.3 ピモジドを投与中の患者,

3. 組成・性状

3.1 組成

セルトラリン錠25mg「サワイ」

1錠中
有効成分セルトラリン塩酸塩   28mg
(セルトラリンとして   25mg )
添加剤カルナウバロウ、結晶セルロース、酸化チタン、ステアリン酸Mg、デンプングリコール酸Na、ヒドロキシプロピルセルロース、ヒプロメロース、マクロゴール6000、リン酸水素Ca

セルトラリン錠50mg「サワイ」

1錠中
有効成分セルトラリン塩酸塩   56mg
(セルトラリンとして   50mg )
添加剤カルナウバロウ、結晶セルロース、酸化チタン、ステアリン酸Mg、デンプングリコール酸Na、ヒドロキシプロピルセルロース、ヒプロメロース、マクロゴール6000、リン酸水素Ca

セルトラリン錠100mg「サワイ」

1錠中
有効成分セルトラリン塩酸塩   112mg
(セルトラリンとして   100mg )
添加剤カルナウバロウ、結晶セルロース、酸化チタン、ステアリン酸Mg、デンプングリコール酸Na、ヒドロキシプロピルセルロース、ヒプロメロース、マクロゴール6000、リン酸水素Ca

3.2 製剤の性状

セルトラリン錠25mg「サワイ」

剤形フィルムコーティング錠
外形

大きさ直径8.5mm×4.2mm
厚さ2.5mm
質量約78mg
識別コードセルトラリン 25 SW
性状白色

セルトラリン錠50mg「サワイ」

剤形割線入りフィルムコーティング錠
外形

大きさ直径7.2mm
厚さ3.5mm
質量約155mg
識別コードSW セルトラリン 50
性状白色

セルトラリン錠100mg「サワイ」

剤形割線入りフィルムコーティング錠
外形

大きさ直径12.6mm×6.4mm
厚さ4.6mm
質量約310mg
識別コードセルトラリン 100 SW
性状白色

4. 効能又は効果

  • うつ病・うつ状態
  • パニック障害
  • 外傷後ストレス障害

5. 効能又は効果に関連する注意

  • 〈効能共通〉
    1. 5.1 抗うつ剤の投与により、24歳以下の患者で、自殺念慮、自殺企図のリスクが増加するとの報告がある。本剤の投与にあたっては、リスクとベネフィットを考慮すること。,,,,,,,,
  • 〈うつ病・うつ状態〉
    1. 5.2 本剤を18歳未満の大うつ病性障害患者に投与する際には適応を慎重に検討すること。
  • 〈外傷後ストレス障害〉
    1. 5.3 本剤を18歳未満の外傷後ストレス障害患者に投与する際には適応を慎重に検討すること。
    2. 5.4 外傷後ストレス障害の診断は、DSM注)等の適切な診断基準に基づき慎重に実施し、基準を満たす場合にのみ投与すること。
      注)DSM:American Psychiatric Association(米国精神医学会)のDiagnostic and Statistical Manual of Mental Disorders(精神疾患の診断・統計マニュアル)

6. 用法及び用量

通常、成人にはセルトラリンとして1日25mgを初期用量とし、1日100mgまで漸増し、1日1回経口投与する。なお、年齢、症状により1日100mgを超えない範囲で適宜増減する。

7. 用法及び用量に関連する注意

本剤の投与量は、予測される効果を十分に考慮し、必要最小限となるよう、患者ごとに慎重に観察しながら調節すること。,,,,,,

8. 重要な基本的注意

  • 〈効能共通〉
    1. 8.1 うつ症状を呈する患者は希死念慮があり、自殺企図のおそれがあるので、このような患者は投与開始早期ならびに投与量を変更する際には患者の状態及び病態の変化を注意深く観察すること。,,,,,,,,,
    2. 8.2 不安、焦燥、興奮、パニック発作、不眠、易刺激性、敵意、攻撃性、衝動性、アカシジア/精神運動不穏、軽躁、躁病等があらわれることが報告されている。また、因果関係は明らかではないが、これらの症状・行動を来した症例において、基礎疾患の悪化又は自殺念慮、自殺企図、他害行為が報告されている。患者の状態及び病態の変化を注意深く観察するとともに、これらの症状の増悪が観察された場合には、服薬量を増量せず、徐々に減量し、中止するなど適切な処置を行うこと。,,,,,,,,,,,
    3. 8.3 自殺目的での過量服用を防ぐため、自殺傾向が認められる患者に処方する場合には、1回分の処方日数を最小限にとどめること。,,,,,,,,,
    4. 8.4 家族等に自殺念慮や自殺企図、興奮、攻撃性、易刺激性等の行動の変化及び基礎疾患悪化があらわれるリスク等について十分説明を行い、医師と緊密に連絡を取り合うよう指導すること。,,,,,,,,,,,
    5. 8.5 眠気、めまい等があらわれることがあるので、自動車の運転等危険を伴う機械を操作する際には十分注意させること。
    6. 8.6 投与中止(突然の中止)により、不安、焦燥、興奮、浮動性めまい、錯感覚、頭痛及び悪心等があらわれることが報告されている。投与を中止する場合には、突然の中止を避け、患者の状態を観察しながら徐々に減量すること。
    7. 8.7 *血小板減少があらわれることがあるので、投与期間中は血液検査を行うこと。
  • 〈外傷後ストレス障害〉
    1. 8.8 外傷後ストレス障害患者においては、症状の経過を十分に観察し、本剤を漫然と投与しないよう、定期的に本剤の投与継続の要否について検討すること。

9. 特定の背景を有する患者に関する注意

9.1 合併症・既往歴等のある患者

  1. 9.1.1 躁うつ病患者

    躁転、自殺企図があらわれることがある。,,,,,,,,,

  2. 9.1.2 自殺念慮又は自殺企図の既往のある患者、自殺念慮のある患者

    自殺念慮、自殺企図があらわれることがある。,,,,,,,,,

  3. 9.1.3 脳の器質的障害又は統合失調症の素因のある患者

    精神症状を増悪させることがある。,,

  4. 9.1.4 衝動性が高い併存障害を有する患者

    精神症状を増悪させることがある。,,

  5. 9.1.5 てんかん等の痙攣性疾患又はこれらの既往歴のある患者

    痙攣発作を起こすことがある。

  6. 9.1.6 QT延長又はその既往歴のある患者、著明な徐脈や低カリウム血症等がある患者

    QT延長、心室頻拍(torsade de pointesを含む)を起こすおそれがある。,

  7. 9.1.7 出血の危険性を高める薬剤を併用している患者、出血傾向又は出血性素因のある患者

    鼻出血、胃腸出血、血尿等が報告されている。,

  8. 9.1.8 緑内障又はその既往歴のある患者

    眼圧上昇を起こし、症状が悪化するおそれがある。

9.3 肝機能障害患者

血中濃度半減期が延長し、AUC及びCmaxが増大することがある。

9.5 妊婦

妊婦又は妊娠している可能性のある女性には、治療上の有益性が危険性を上回ると判断される場合にのみ投与すること。

  1. 9.5.1 妊娠末期に本剤あるいは他のSSRI、SNRIが投与された女性が出産した新生児において、入院期間の延長、呼吸補助、経管栄養を必要とする、離脱症状と同様の症状が出産直後にあらわれたとの報告がある。臨床所見としては、呼吸窮迫、チアノーゼ、無呼吸、発作、体温調節障害、哺乳障害、嘔吐、低血糖症、筋緊張低下、筋緊張亢進、反射亢進、振戦、ぴくつき、易刺激性、持続性の泣きが報告されている。
  2. 9.5.2 海外の疫学調査において、妊娠中に本剤を含むSSRIを投与された女性が出産した新生児において、新生児遷延性肺高血圧症のリスクが増加したとの報告がある1),2)。このうち1つの調査では、妊娠34週以降に生まれた新生児における新生児遷延性肺高血圧症発生のリスク比は、妊娠早期の投与では2.4(95%信頼区間1.2-4.3)、妊娠早期及び後期の投与では3.6(95%信頼区間1.2-8.3)であった2)

9.6 授乳婦

治療上の有益性及び母乳栄養の有益性を考慮し、授乳の継続又は中止を検討すること。ヒト母乳中へ移行することが報告されている3)

9.7 小児等

  1. 9.7.1 小児等を対象とした国内臨床試験は実施していない。
  2. 9.7.2 海外で実施された6~17歳の大うつ病性障害(DSM-IV注)における分類)を対象としたプラセボ対照二重盲検比較試験において有効性が確認できなかったとの報告がある。また、本剤群でみられた自殺企図[1.1%(2/189例)]は、プラセボ群[1.1%(2/184例)]と同様であり、自殺念慮は本剤群で1.6%(3/189例)にみられた。これらの事象と本剤との関連性は明らかではない4)(海外において本剤は小児大うつ病性障害患者に対する適応を有していない)。,,,,,,,,
  3. 9.7.3 海外で実施された6~17歳の外傷後ストレス障害(DSM-IV注)における分類)を対象としたプラセボ対照二重盲検比較試験において有効性が確認できなかったとの報告がある。当該試験にて自殺企図はみられなかったが、自殺念慮は本剤群でのみ4.5%(3/67例)にみられた5)(海外において本剤は小児外傷後ストレス障害患者に対する適応を有していない)。,,,,,,,,
    注)DSM-IV:American Psychiatric Association(米国精神医学会)のDiagnostic and Statistical Manual of Mental Disorders,4th edition(DSM-IV精神疾患の診断・統計マニュアル)

9.8 高齢者

高齢者においては、肝機能、腎機能の低下を考慮し、用量等に注意して慎重に投与すること。本剤は、主として肝臓で代謝されるが、高齢者では肝機能が低下していることが多いため、高い血中濃度が持続し、出血傾向の増強等がおこるおそれがある。

10. 相互作用

  • 本剤は肝代謝酵素CYP2C19、CYP2C9、CYP2B6及びCYP3A4等で代謝される6)

10.1 併用禁忌(併用しないこと)

薬剤名等臨床症状・措置方法機序・危険因子

MAO阻害剤

  • セレギリン塩酸塩(エフピー)
    ラサギリンメシル酸塩(アジレクト)
  • サフィナミドメシル酸塩(エクフィナ)
    ,

発汗、不穏、全身痙攣、異常高熱、昏睡等の症状があらわれることがある。なお、MAO阻害剤の投与を受けた患者に本剤を投与する場合、また本剤投与後にMAO阻害剤を投与する場合には、14日間以上の間隔をおくこと。

セロトニンの分解が阻害され、脳内セロトニン濃度が高まると考えられる。

ピモジド(オーラップ)
,

ピモジドとの併用により、ピモジドのAUC及びCmaxがそれぞれ1.4倍増加したとの報告がある7)
ピモジドはQT延長を引き起こすことがあるので本剤と併用しないこと。

機序不明

10.2 併用注意(併用に注意すること)

薬剤名等臨床症状・措置方法機序・危険因子

メチルチオニニウム塩化物水和物(メチレンブルー)

セロトニン症候群があらわれるおそれがある。

左記薬剤のMAO阻害作用によりセロトニン作用が増強されると考えられる。

リネゾリド

セロトニン症候群の症状(錯乱、協調運動障害、血圧上昇等)があらわれることがある。このような症状があらわれた場合には、本剤と併用薬の両方あるいはいずれか一方の投与を中止するなど適切な処置を行うこと。

リネゾリドは非選択的、可逆的MAO阻害作用を有する。

5-HT1B/1D受容体作動薬

  • スマトリプタンコハク酸塩
    ゾルミトリプタン
    エレトリプタン臭化水素酸塩

脱力、反射亢進、協調運動障害、錯乱、不安、焦燥、興奮があらわれることがある。

相互に作用を増強させるおそれがある。

トラマドール塩酸塩含有製剤
メサドン塩酸塩
ペンタゾシン含有製剤
ペチジン塩酸塩含有製剤
タペンタドール塩酸塩
デキストロメトルファン臭化水素酸塩水和物含有製剤
フェンタニル含有製剤

セロトニン作用が増強されるおそれがある。

これらの薬剤はセロトニン作用を有する。

L-トリプトファンを含有する製剤

  • アミノ酸製剤
    経腸成分栄養剤

セロトニン作用が増強されるおそれがある。

L-トリプトファンはセロトニンの前駆物質であるため、脳内セロトニン濃度が高まるおそれがある。

セイヨウオトギリソウ(St.John’s Wort、セント・ジョーンズ・ワート)含有食品

セロトニン作用が増強されるおそれがある。

セイヨウオトギリソウ(St.John’s Wort、セント・ジョーンズ・ワート)はセロトニン作用を有する。

炭酸リチウム

セロトニンに関連した副作用(振戦等)が増大するおそれがある。

相互に作用を増強させるおそれがある。

三環系抗うつ剤

  • クロミプラミン塩酸塩
    イミプラミン塩酸塩
    アミトリプチリン塩酸塩

薬剤の血中濃度が上昇し、作用が増強されるおそれがある。

本剤がこれらの薬剤の代謝を阻害することがある。

ワルファリン
,

ワルファリンのプロトロンビン反応時間曲線下面積が軽度増加(8%)したとの報告がある8)
本剤の投与を開始もしくは中止する場合は、プロトロンビン時間を慎重にモニターすること。

機序不明

出血傾向が増強する薬剤

  • 非定型抗精神病剤
    フェノチアジン系薬剤
    三環系抗うつ剤
    アスピリン等の非ステロイド系抗炎症剤
    ワルファリン等
    ,

異常出血(鼻出血、胃腸出血、血尿等)が報告されているので、注意して投与すること。

SSRIの投与により血小板凝集能が阻害され、これらの薬剤との併用により出血傾向が増大することがある。

血糖降下薬

  • トルブタミド

トルブタミドのクリアランスが減少(16%)したとの報告がある9)

本剤がこの薬剤の代謝を阻害するためと考えられる。

シメチジン

本剤のAUC及びCmaxの増大(50%、24%)及びt1/2の延長(26%)がみられたとの報告がある10)

本剤の代謝が阻害されたためと考えられる。

アルコール
(飲酒)

本剤投与中は、飲酒を避けることが望ましい。

本剤との相互作用は認められていないが、他の抗うつ剤で作用の増強が報告されている。

QT延長を起こすことが知られている薬剤
,

QT延長を起こすおそれがある。

併用によりQT延長作用が相加的に増加するおそれがある。

スルピリン水和物

本剤の血漿中濃度が低下し、有効性が減弱するおそれがある。

併用によりCYP2B6及びCYP3A4が誘導され、本剤の代謝が促進されるためと考えられる。

11. 副作用

次の副作用があらわれることがあるので、観察を十分に行い、異常が認められた場合には投与を中止するなど適切な処置を行うこと。

11.1 重大な副作用

  1. 11.1.1 セロトニン症候群(頻度不明)

    不安、焦燥、興奮、錯乱、発汗、下痢、発熱、高血圧、固縮、頻脈、ミオクロヌス、自律神経不安定等があらわれることがあるので、異常が認められた場合には投与を中止し、体冷却、水分補給等の全身管理とともに適切な処置を行うこと。,,

  2. 11.1.2 悪性症候群(頻度不明)

    無動緘黙、強度の筋強剛、嚥下困難、頻脈、血圧の変動、発汗等が発現し、それに引き続き発熱がみられる場合がある。抗精神病剤との併用時にあらわれることが多いため、特に注意すること。異常が認められた場合には、抗精神病剤及び本剤の投与を中止し、体冷却、水分補給等の全身管理とともに適切な処置を行うこと。本症発現時には、白血球の増加や血清CKの上昇がみられることが多く、また、ミオグロビン尿を伴う腎機能の低下がみられることがある。

  3. 11.1.3 痙攣(頻度不明)、昏睡(頻度不明)

  4. 11.1.4 肝機能障害(頻度不明)

    肝不全、肝炎、黄疸があらわれることがあるので、必要に応じて肝機能検査を行い、異常が認められた場合には投与を中止し、適切な処置を行うこと。

  5. 11.1.5 抗利尿ホルモン不適合分泌症候群(SIADH)(頻度不明)

    低ナトリウム血症、低浸透圧血症、尿中ナトリウム排泄量の増加、高張尿、痙攣、意識障害等を伴う抗利尿ホルモン不適合分泌症候群(SIADH)があらわれることがあるので、異常が認められた場合には投与を中止し、水分摂取の制限等適切な処置を行うこと。

  6. 11.1.6 中毒性表皮壊死融解症(Toxic Epidermal Necrolysis:TEN)(頻度不明)、皮膚粘膜眼症候群(Stevens-Johnson症候群)(頻度不明)

    異常が認められた場合には投与を中止し、副腎皮質ホルモン剤の投与等の適切な処置を行うこと。

  7. 11.1.7 アナフィラキシー(頻度不明)

    アナフィラキシー(呼吸困難、喘鳴、血管浮腫等)があらわれることがある。

  8. 11.1.8 QT延長(頻度不明)、心室頻拍(torsade de pointesを含む)(頻度不明)

    ,,,

  9. 11.1.9 *血小板減少(頻度不明)11)

    *

11.2 その他の副作用

1%以上

1%未満

頻度不明

精神系

睡眠障害(不眠等)、錯乱状態

悪夢、易刺激性、易興奮性、うつ病、躁病、精神症、多幸症、リビドー減退、記憶障害、注意力障害

攻撃的反応、不安、焦燥、興奮、幻覚

神経系

傾眠(15.2%)、頭痛、浮動性めまい、振戦、感覚減退

起立性めまい、味覚異常、頭部不快感、運動障害(アカシジア、錐体外路症状、運動過多、歯ぎしり、歩行異常等)、錯感覚

不随意性筋収縮、ジスキネジー、ジストニー、片頭痛、失神

感覚器

調節障害、視覚異常(霧視、羞明、視力低下等)、耳鳴、耳閉感、回転性眩暈

散瞳

循環器

動悸

起立性低血圧、血圧低下、血圧上昇、頻脈

肝臓

ALT増加、AST増加、γ-GTP増加

LDH増加、Al-P増加、総ビリルビン増加、直接ビリルビン増加

血液

白血球数増加又は減少、単球増加、出血傾向(鼻出血、胃腸出血、血尿等)

血小板機能異常、紫斑、斑状出血、皮下出血

消化器系

悪心・嘔吐(20.3%)、口内乾燥、下痢・軟便、便秘、腹部不快感、腹痛、腹部膨満、消化不良、食欲不振

胃腸障害、食欲亢進

膵炎

過敏症

発疹

蕁麻疹、そう痒症、顔面浮腫、眼窩周囲浮腫

光線過敏性反応

泌尿器・生殖器

排尿困難、尿閉、頻尿、性機能障害(射精遅延、持続勃起症等)、月経障害

尿失禁・夜尿、乳汁漏出症、女性化乳房

筋・骨格系

背部痛、関節痛、筋緊張異常(筋硬直、筋緊張亢進、筋痙攣等)

開口障害

代謝・内分泌

総蛋白減少、総コレステロール増加、尿糖、尿蛋白

甲状腺機能低下症、低ナトリウム血症、高プロラクチン血症、血糖異常

その他

倦怠感、多汗(発汗、寝汗等)

無力症、熱感、異常感、胸痛、胸部圧迫感、疲労、発熱、ほてり、悪寒、体重減少、体重増加、末梢性浮腫、あくび、脱毛症

気管支痙攣、好酸球性肺炎

13. 過量投与

本剤の過量投与、又は本剤の過量投与と他剤やアルコールとの併用による死亡例が海外で報告されている。

  1. 13.1 症状

    傾眠、胃腸障害(悪心・嘔吐等)、頻脈、振戦、不安、焦燥、興奮、浮動性めまいのようなセロトニン性の副作用であり、まれに昏睡が認められた。

  2. 13.2 処置

    特異的な解毒剤は知られていない。活性炭投与等の適切な処置を行うこと。催吐は薦められない。本剤は分布容積が大きいので、強制利尿、透析、血液灌流及び交換輸血はあまり効果的でない。

14. 適用上の注意

14.1 薬剤交付時の注意

PTP包装の薬剤はPTPシートから取り出して服用するよう指導すること。PTPシートの誤飲により、硬い鋭角部が食道粘膜へ刺入し、更には穿孔をおこして縦隔洞炎等の重篤な合併症を併発することがある。

15. その他の注意

15.1 臨床使用に基づく情報

  1. 15.1.1 海外で実施された大うつ病性障害等の精神疾患を有する患者を対象とした、本剤を含む複数の抗うつ剤の短期プラセボ対照臨床試験の検討結果において、24歳以下の患者では、自殺念慮や自殺企図の発現のリスクが抗うつ剤投与群でプラセボ群と比較して高かった。
    なお、25歳以上の患者における自殺念慮や自殺企図の発現のリスクの上昇は認められず、65歳以上においてはそのリスクが減少した。,,,,,,,,,
  2. 15.1.2 主に50歳以上を対象に実施された海外の疫学調査において、選択的セロトニン再取り込み阻害剤及び三環系抗うつ剤を含む抗うつ剤を投与された患者で、骨折のリスクが上昇したとの報告がある。
  3. 15.1.3 海外で実施された臨床試験において、本剤を含む選択的セロトニン再取り込み阻害剤が精子特性を変化させ、受精率に影響を与える可能性が報告されている12),13)
  4. 15.1.4 電気けいれん療法との併用については、その有効性及び安全性が確立されていない。

16. 薬物動態

16.1 血中濃度

  1. 16.1.1 単回投与

    健康成人男性(6例)にセルトラリン50、100及び200mg注)を食後に単回経口投与した時の最高血漿中濃度(Cmax)はそれぞれ15.1、30.8及び90.8ng/mL、血漿中濃度-時間曲線下面積(AUC0-∞)はそれぞれ0.557、1.081及び2.975μg・hr/mLであり用量に伴い増加した。また、血漿中濃度半減期(t1/2)は50、100及び200mg注)投与に対し、それぞれ22.5、24.1及び23.4時間であった14)

    セルトラリン50、100及び200mg注)を単回投与した時のセルトラリンの薬物動態パラメータ

    投与量
    (mg)

    n

    Cmax
    (ng/mL)

    Tmax
    (hr)

    t1/2
    (hr)

    AUC0-∞
    (μg・hr/mL)

    50

    6

    15.1±4.3

    8.7±2.1

    22.5±8.1

    0.557±0.261

    100

    6

    30.8±7.9

    6.7±1.0

    24.1±7.9

    1.081±0.551

    200注)

    6

    90.8±15.0

    6.3±1.5

    23.4±6.2

    2.975±1.001

    (平均値±標準偏差)
    Tmax:最高濃度到達時間

  2. 16.1.2 反復投与

    健康成人男性(6例)にセルトラリン100mgを1日1回10日間朝食後に反復経口投与した時の血漿中濃度は投与5日目には定常状態に達し、10日間の反復投与により理論値(R=2.0)を超える蓄積(投与1日目:Cmax 40.5ng/mL、AUC0-24 0.612μg・hr/mL、10日目:Cmax 69.9ng/mL、AUC0-24 1.22μg・hr/mL)は認められなかった15)

  3. 16.1.3 生物学的同等性試験
    • 〈セルトラリン錠50mg「サワイ」〉

      セルトラリン錠50mg「サワイ」とジェイゾロフト錠50mgを健康成人男子にそれぞれ1錠(セルトラリンとして50mg)空腹時単回経口投与(クロスオーバー法)し、血漿中セルトラリン濃度を測定した。得られた薬物動態パラメータ(AUC、Cmax)について90%信頼区間法にて統計解析を行った結果、log(0.80)~log(1.25)の範囲内であり、両剤の生物学的同等性が確認された16)

      各製剤1錠投与時の薬物動態パラメータ

      Cmax
      (ng/mL)

      Tmax
      (hr)

      T1/2
      (hr)

      AUC0-96hr
      (ng・hr/mL)

      セルトラリン錠50mg「サワイ」

      18.13±7.14

      5.5±0.9

      30.9±6.6

      532.2±262.5

      ジェイゾロフト錠50mg

      19.58±7.34

      5.9±0.7

      29.8±5.8

      544.3±248.5

      (Mean±S.D.)

    • 〈セルトラリン錠100mg「サワイ」〉

      セルトラリン錠100mg「サワイ」とジェイゾロフト錠50mgを健康成人男子にそれぞれセルトラリンとして100mg空腹時単回経口投与(クロスオーバー法)し、血漿中セルトラリン濃度を測定した。得られた薬物動態パラメータ(AUC、Cmax)について90%信頼区間法にて統計解析を行った結果、log(0.80)~log(1.25)の範囲内であり、両剤の生物学的同等性が確認された17)

      各製剤投与時の薬物動態パラメータ

      製剤投与量
      (セルトラリンとして)

      Cmax
      (ng/mL)

      Tmax
      (hr)

      T1/2
      (hr)

      AUC0-96hr
      (ng・hr/mL)

      セルトラリン錠
      100mg「サワイ」

      1錠
      (100mg)

      42.57±11.16

      4.8±1.2

      26.3±4.7

      1209.2±495.1

      ジェイゾロフト錠50mg

      2錠
      (100mg)

      45.21±11.73

      5.3±1.1

      25.8±4.9

      1239.0±501.4

      (Mean±S.D.)

      血漿中濃度ならびにAUC、Cmax等のパラメータは、被験者の選択、体液の採取回数・時間等の試験条件によって異なる可能性がある。

16.2 吸収

  1. 16.2.1 食事の影響

    健康成人男性(12例)にセルトラリン75mgを空腹時及び食後に単回経口投与し、薬物動態を比較した。食後投与時のCmaxは21.9ng/mLであり、空腹時投与時の18.1ng/mLに比べて高く、有意な差が認められたものの、AUC0-∞、Tmax及びt1/2には有意差は認められなかった18)

16.3 分布

  1. 16.3.1 蛋白結合

    in vitroにおけるヒト血清蛋白結合率は約98.5%であった19)

  2. 16.3.2 乳汁中移行

    大うつ病を伴う授乳婦(26例)にセルトラリン25~200mg注)を1日1回、14日間以上反復経口投与した時、いずれの授乳婦の乳汁においてもセルトラリンは検出された。また、乳児の血清においてもセルトラリンが確認された3)(外国人データ)。

16.4 代謝

  1. 16.4.1 セルトラリンの主代謝物はN-デスメチルセルトラリンであり、この他にも数種の代謝物が存在する。なお、代謝にはCYP2C19、CYP2C9、CYP2B6及びCYP3A4など少なくとも4種の肝薬物代謝酵素が関与しており、多代謝経路を示す6)

16.5 排泄

  1. 16.5.1 健康成人男性(6例)にセルトラリン50、100及び200mg注)を食後に単回経口投与した時、投与後24時間までの未変化体の尿中排泄率はいずれの用量においても約0.1%であった14)
  2. 16.5.2 健康成人男性(外国人、2例)に14C-標識セルトラリン50mgを単回経口投与した時、投与後9日目までに尿中に投与放射能の43.5%(ほとんどが代謝物)が、糞中に44.5%がそれぞれ排泄された20)

16.6 特定の背景を有する患者

  1. 16.6.1 腎機能障害患者

    腎機能障害患者(24例)にセルトラリン100mgを食後に単回経口投与した時、セルトラリンの血漿中濃度は腎機能の障害により高くなる傾向を示したが、その上昇の程度は小さかった21)(外国人データ)。

  2. 16.6.2 肝機能障害患者

    慢性非活動性肝不全患者(Child-Pughの分類A及びB、10例)にセルトラリン100mgを単回経口投与した時の血漿中濃度推移は、健康成人と比較して、Cmaxが約1.7倍、AUC0-∞が4.4倍増加し、t1/2は2.3倍延長した。また、セルトラリン50mgを肝機能障害者(改訂Child-Pughの分類A及びB、10例)に21日間反復経口投与した時、単回投与時と同様の傾向が認められた22)(外国人データ)。

  3. 16.6.3 高齢者

    高齢うつ病患者(日本人、男性5例、女性8例、65歳以上)にセルトラリンを1日1回、最高6週間反復経口投与(25mg/日から75mg/日まで増量)した。高齢者のt1/2(男性30.7時間、女性35.7時間)は、健康成人男性の23.4時間と比較して長くなる傾向が認められた15),23)
    高齢者(外国人、男性11例、女性11例、65歳以上)及び成人(外国人、男性11例、女性11例、18~45歳)にセルトラリンを1日1回、30日間反復経口投与(50mg/日から200mg/日注)まで増量)した。成人男性の最終投与後のCmaxは117.5ng/mLであり、高齢者(男性135.4ng/mL、女性147.1ng/mL)及び成人女性(165.6ng/mL)に比べ低かったが、AUCにはいずれの群間でも有意な差は認められなかった24),25)

16.7 薬物相互作用

  1. 16.7.1 ワルファリン

    健康成人男性(15例)にセルトラリン反復投与(50mg/日から200mg/日注)まで増量)前及び投与22日目にワルファリン0.75mg/kgを単回経口投与し、ワルファリンのプロトロンビン反応時間曲線下面積(AUC0-120)及び血漿蛋白結合率を比較した。セルトラリンとワルファリンの併用投与により、わずかながら有意な変化が認められた8)(外国人データ)。,

  2. 16.7.2 トルブタミド

    健康成人男性(25例)にセルトラリン反復投与(50mg/日から200mg/日注)まで増量)前及び投与22日目にトルブタミド1000mgを単回静脈内投与した時のトルブタミドの薬物動態を検討した。セルトラリンとトルブタミドの併用投与により、トルブタミドのクリアランスに軽度な低下が認められた9)(外国人データ)。

  3. 16.7.3 シメチジン

    健康成人男性(12例)にシメチジン800mgを8日間反復投与し、投与2日目にセルトラリン100mgを単回併用投与した時のセルトラリンの薬物動態を検討した。シメチジンの併用により、プラセボ併用時に比べセルトラリンのAUC0-∞は約50%、Cmax及びt1/2は約25%増大した10)(外国人データ)。

16.8 その他

  • 〈セルトラリン錠25mg「サワイ」〉

    セルトラリン錠25mg「サワイ」は溶出挙動に基づき、セルトラリン錠50mg「サワイ」と生物学的に同等とみなされた26)

注)本剤の承認用量は1日100mgまでである。

17. 臨床成績

17.1 有効性及び安全性に関する試験

  • 〈うつ病・うつ状態〉
    1. 17.1.1 国内第Ⅱ相及び第Ⅲ相試験

      前期第Ⅱ相試験(内科・心療内科)、前期第Ⅱ相試験(精神科)、後期第Ⅱ相試験、第Ⅲ相試験(内科・心療内科)、第Ⅲ相試験(精神科)、ランダム化治療中止試験、高齢者試験及び長期投与試験を総合(計8試験)した場合、セルトラリンの改善率は55.7%(491/882例)であった。初期用量で効果が認められない患者においても、増量することで効果が認められた。ただし、第Ⅲ相試験ではトラゾドン塩酸塩及びアミトリプチリン塩酸塩と比較する二つの二重盲検比較試験が行われたが、有効性について両薬剤と同等、あるいはそれ以上の効果を有することは検証されなかった。
      有効性を検討した上記8試験に再燃抑制試験を加え総合(計9試験)した場合、副作用発現頻度は51.5%(497/965例)であった。主な副作用は悪心13.2%(127/965例)、傾眠12.3%(119/965例)、口内乾燥10.2%(98/965例)、頭痛6.8%(66/965例)及び下痢5.0%(48/965例)であった27)

    2. 17.1.2 国内第Ⅲ相試験

      主要評価項目であるセルトラリンの再燃率は8.5%(10/117例)であり、プラセボの19.5%(23/118例)に比べ、統計的に有意に低かった。また、Kaplan-Meier法による再燃-時間の推定曲線から、セルトラリンの再燃率は二重盲検期を通してプラセボに比べて統計的に有意に低く推移した。副次的評価項目であるハミルトンうつ病評価尺度(HAM-D)合計点の増加はプラセボに比べて統計的に有意に少なく、Quality of Life Enjoyment and Satisfaction Questionnaire(Q-LES-Q)スコアにおいてもプラセボに比べて統計的に有意な改善が、二重盲検期において認められた28),29)

      有効性評価項目の成績

      セルトラリン群
      (症例数:117a)

      プラセボ群
      (症例数:118)

      二重盲検期
      開始時

      終了・
      中止時

      二重盲検期
      開始時

      終了・
      中止時

      HAM-D合計点

      8.3±3.4

      6.3±6.2

      8.1±3.3

      9.7±7.2

      全般改善度における改善率

      81.2%
      (95/117)

      84.6%
      (99/117)

      87.3%
      (103/118)

      67.8%
      (80/118)

      Q-LES-Qスコア

      62.9±11.2

      67.4±15.3

      64.2±10.4

      61.3±12.6

      a)Q-LES-Qスコアにおける終了・中止時の症例数は116例

      副作用発現頻度は、非盲検期66.2%(239/361例)であり、主な副作用は悪心、傾眠、口内乾燥、頭痛であった。また、二重盲検期では、セルトラリン群29.9%(35/117例)、プラセボ群31.4%(37/118例)であった。主な副作用は、セルトラリン群で傾眠、頭痛、浮動性めまい、下痢及び上腹部痛であった。
      セルトラリンを用いた治療によって改善の得られたうつ状態の再燃を抑える点でプラセボより優れていることを検証したが、うつ状態の改善における有効性では、すでに発売されている抗うつ薬(トラゾドン塩酸塩及びアミトリプチリン塩酸塩)と同等あるいはそれ以上の効果があることを検証していない。

  • 〈パニック障害〉
    1. 17.1.3 国内第Ⅱ相及び第Ⅲ相試験

      前期第Ⅱ相試験、後期第Ⅱ相試験及びランダム化治療中止試験を総合(計3試験)した場合、改善率は72.7%(352/484例)であった。初期用量で効果が認められない患者においても、増量することで効果が認められた。
      副作用発現頻度は74.9%(384/513例)であった。主な副作用は、悪心29.6%(152/513例)、傾眠20.7%(106/513例)、頭痛9.6%(49/513例)、下痢9.2%(47/513例)、口内乾燥7.6%(39/513例)、浮動性めまい7.6%(39/513例)、倦怠感6.6%(34/513例)、食欲不振6.6%(34/513例)、胃不快感6.0%(31/513例)、食欲減退5.8%(30/513例)であった30)

    2. 17.1.4 国内第Ⅱ相試験

      プラセボ群、セルトラリン25-75mg群(低用量群)、50-150mg注)群(高用量群)の3群間で二重盲検比較試験が行われた結果、全般改善度ではプラセボ群との間に有意差は認められなかった。また、パニック発作の回数では、投与前の発作回数に群間で不均衡がみられたが、プラセボに比べて高用量群では有意な減少は認められなかったものの、低用量群において有意な減少が認められた。
      副作用発現頻度は、低用量群で55.3%(26/47例)、高用量群で56.8%(25/44例)であった。主な副作用は低用量群で下痢、傾眠及び悪心、高用量群で悪心であった31)

    3. 17.1.5 国内第Ⅲ相試験

      主要評価項目であるセルトラリンの再燃率は10.1%(12/119例)であり、プラセボの13.2%(16/121例)に比べて低かったが、有意差は認められなかった。また、Kaplan-Meier法による再燃-時間の推定曲線から、セルトラリンの再燃率は二重盲検期を通してプラセボに比べて低く推移したが有意な差は認められなかった。副次的評価項目である全般改善度における改善率、パニック発作の回数、パニック障害重症度評価尺度(PDSS)合計点においては二重盲検期において、プラセボに比べて統計的に有意な差が認められた32)

      有効性評価項目の成績

      セルトラリン群
      (症例数:119)

      プラセボ群
      (症例数:121)

      二重盲検期
      開始時

      終了・
      中止時

      二重盲検期
      開始時

      終了・
      中止時

      全般改善度における改善率

      100%
      (119/119)

      89.9%
      (107/119)

      100%
      (121/121)

      74.4%
      (90/121)

      パニック発作の回数(回/週)a)

      0.8±1.7

      0.6±1.3

      0.9±2.1

      1.0±1.8

      PDSS合計点

      5.7±3.6

      4.3±4.1

      6.5±3.7

      6.4±4.7

      a)対数変換を施し解析を実施した

      副作用発現頻度は、非盲検期で81.5%(321/394例)であり、主な副作用は悪心、傾眠、頭痛であった。また、二重盲検期では、26.9%(32/119例)であり、主な副作用は悪心、頭痛、初期不眠症、下痢及び寝汗であった33)

    4. 17.1.6 製造販売後臨床試験

      パロキセチンを対照とした二重盲検比較試験(製造販売後臨床試験)における主要評価項目である12週・中止時のPanic and Agoraphobia Scale(PAS)合計点において、セルトラリンの有効性はパロキセチンと同程度であった34)

      Panic and Agoraphobia Scale(PAS)合計点(Efficacy Evaluable Set)

      対象例数

      セルトラリン

      パロキセチン

      120

      117

      調整済み平均a)(95%信頼区間)

      -17.5
      (-19.0,-16.0)

      -16.7
      (-18.2,-15.1)

      調整済み平均の差a)(95%信頼区間)

      -0.9(-3.0,1.3)

      a)ベースラインのPAS合計点で調整

      セルトラリンが投与された治療期の総症例147例中100例(68.0%)に243件の副作用が発現した。主な副作用は、悪心30例(20.4%)、傾眠30例(20.4%)、下痢22例(15.0%)であった。

  • 注)本剤の承認用量は1日100mgまでである。

18. 薬効薬理

18.1 作用機序

セルトラリン塩酸塩は脳内セロトニン神経に存在するセロトニン再取り込み機構を強力かつ選択的に阻害する薬物であり、脳内のシナプス間隙におけるセロトニン濃度を高めて持続的にセロトニン神経伝達を亢進するものと考えられる35),36),37)

  1. 18.1.1 ラット脳シナプトゾームを用いた実験における、セルトラリンのセロトニン取り込みに対する50%抑制濃度(IC50)は0.058μmol/Lであり、セルトラリンのセロトニン取り込み阻害作用はノルエピネフリン又はドパミン取り込み阻害作用に比べ約20倍選択的であった37)in vitro)。
  2. 18.1.2 ラット又はウシ脳膜標品を用いた試験において、セルトラリンはセロトニン再取り込み部位に高い親和性を示すが、アドレナリン受容体(α1、α2、β)、ドパミン受容体、ムスカリン受容体、ヒスタミン受容体(H1)、セロトニン受容体(5-HT1A、5-HT1B、5-HT1D、5-HT2)、ベンゾジアゼピン受容体への結合親和性は低かった35),38)in vitro)。またマウスにおける脳内ノルアドレナリン神経系、ドパミン神経系及びムスカリン性アセチルコリン神経系の活性化により生ずる行動や症状に影響を及ぼさなかった35)

18.2 抗うつ作用

  1. 18.2.1 マウスを用いた強制水泳試験において不動時間を短縮した37)
  2. 18.2.2 ラットを用いた強制水泳試験において逃避行動(水車回転数)の減少を抑制した39)
  3. 18.2.3 嗅球摘出ラットの自発運動の亢進を抑制した40)
  4. 18.2.4 拘束ストレス負荷による正常ラットの自発運動量の減少を回復させた41)

18.3 抗不安作用

  1. 18.3.1 マウスを用いたガラス玉覆い隠し試験においてガラス玉覆い隠し行動を抑制した42)

18.4 5-HT2C受容体作動薬による自発運動量減少に対する作用

m-クロロフェニルピペラジン(m-CPP)の投与によるラットの自発運動量の減少を軽減した43)

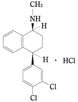
19. 有効成分に関する理化学的知見

一般的名称

セルトラリン塩酸塩(Sertraline Hydrochloride)

化学名

(+)-(1S,4S)-4-(3,4-Dichlorophenyl)-1,2,3,4-tetrahydro-N-methyl-1-naphthylamine monohydrochloride

分子式

C17H17Cl2N・HCl

分子量

342.69

性状

白色の結晶性の粉末である。メタノールにやや溶けやすく、エタノール(95)にやや溶けにくく、水に溶けにくい。

化学構造式

22. 包装

  • 〈セルトラリン錠25mg「サワイ」〉

    **PTP:100錠(10錠×10)
    バラ:100錠

  • 〈セルトラリン錠50mg「サワイ」〉

    PTP:100錠(10錠×10)
    バラ:100錠

  • 〈セルトラリン錠100mg「サワイ」〉

    PTP:100錠(10錠×10)

23. 主要文献

1) Chambers, C. D. et al.:N. Engl. J. Med., 2006;354(6):579-587

2) Källén, B. et al.:Pharmacoepidemiol. Drug Saf., 2008;17(8):801-806

3) Stowe, Z. N. et al.:J. Clin. Psychiatry, 2003;64(1):73-80

4) Wagner, K. D. et al.:JAMA, 2003;290(8):1033-1041

5) Robb, A. S. et al.:J. Child. Adolesc. Psychopharmacol., 2010;20(6):463-471

6) Obach, R. S. et al.:Drug Metab. Dispos., 2005;33(2):262-270

7) Alderman, J.:Clin. Ther., 2005;27(7):1050-1063

8) Apseloff, G. et al.:Clin. Pharmacokinet., 1997;32(Suppl.1):37-42

9) Tremaine, L. M. et al.:Clin. Pharmacokinet., 1997;32(Suppl.1):31-36

10) シメチジンとの薬物相互作用(ジェイゾロフト錠:2006年4月20日承認、申請資料概要ヘ.3.(4).3))

11) *MID-NET®を用いた調査結果の概要(MID-NET®を用いた抗うつ薬による血小板減少指標への影響評価):
https://www.pmda.go.jp/files/000265771.pdf

12) Safarinejad, M. R.:J. Urol., 2008;180(5):2124-2128

13) Tanrikut, C. et al.:Fertil. Steril., 2010;94(3):1021-1026

14) 上島国利他:神経精神薬理, 1997;19(6):395-423

15) 上島国利他:神経精神薬理, 1997;19(6):425-447

16) 松木俊二他:新薬と臨床, 2015;64(10):1119-1126

17) 松木俊二他:診療と新薬, 2016;53(4):309-315

18) 上島国利他:神経精神薬理, 1997;19(6):461-470

19) 蛋白結合(ジェイゾロフト錠:2006年4月20日承認、申請資料概要ヘ.2.(2).4))

20) ヒトにおける代謝及び排泄(ジェイゾロフト錠:2006年4月20日承認、申請資料概要ヘ.3.(3).1))

21) 腎機能障害患者における薬物動態(ジェイゾロフト錠:2006年4月20日承認、申請資料概要ヘ.3.(5).1))

22) 肝機能障害患者における薬物動態(ジェイゾロフト錠:2006年4月20日承認、申請資料概要ヘ.3.(5).2))

23) 上島国利他:神経精神薬理, 1997;19(6):569-585

24) Ronfeld, R. A. et al.:Clin. Pharmacokinet., 1997;32(Suppl.1):22-30

25) 高齢者における薬物動態(ジェイゾロフト錠:2006年4月20日承認、申請資料概要ヘ.3.(1).4))

26) 社内資料:生物学的同等性試験(錠25mg)

27) 国内第Ⅱ相及び第Ⅲ相試験〈うつ病・うつ状態〉(ジェイゾロフト錠:2006年4月20日承認、申請資料概要ト.1.(2).1), ト.2.(1).1), ト.2.(2).1))

28) Kamijima, K. et al.:Int. Clin. Psychopharmacol., 2006;21(1):1-9

29) 国内第Ⅲ相試験〈うつ病・うつ状態〉(ジェイゾロフト錠:2006年4月20日承認、申請資料概要ト.1.(2).1))

30) 国内第Ⅱ相及び第Ⅲ相試験〈パニック障害〉(ジェイゾロフト錠:2006年4月20日承認、申請資料概要ト.1.(3).1), ト.2.(1).2), ト.2.(2).1))

31) 国内第Ⅱ相試験〈パニック障害〉(ジェイゾロフト錠:2006年4月20日承認、申請資料概要ト.1.(3).1))

32) Kamijima, K. et al.:Int. Clin. Psychopharmacol., 2005;20(5):265-273

33) 国内第Ⅲ相試験〈パニック障害〉(ジェイゾロフト錠:2006年4月20日承認、申請資料概要ト.1.(3).1))

34) 日本人パニック障害患者を対象としたセルトラリンとパロキセチンの有効性および安全性を検討する無作為化、二重盲検、非劣性試験(製造販売後臨床試験)(ジェイゾロフト錠:2016年3月25日公表、再審査報告書)

35) 各種受容体に対する作用(ジェイゾロフト錠:2006年4月20日承認、申請資料概要ホ.1.(2).5))

36) Sprouse, J. et al.:Neuropsychopharmacology, 1996;14(4):225-231

37) Koe, B. K. et al.:J. Pharmacol. Exp. Ther., 1983;226(3):686-700

38) Koe, B. K. et al.:Psychopharmacology, 1990;100(4):470-476

39) Tadokoro, C. et al.:Psychopharmacology, 1997;130(2):124-130

40) Butler, J. et al.:Prog. Neuropsychopharmacol. Biol. Psychiatry, 1988;12(5):585-594

41) Kennett, G. A. et al.:Eur. J. Pharmacol., 1987;134(3):265-274

42) 山中教造他:神経精神薬理, 1997;19(6):387-393

43) Kennedy, A. J. et al.:Psychopharmacology, 1993;113(2):262-268

24. 文献請求先及び問い合わせ先

沢井製薬株式会社 医薬品情報センター

〒532-0003 大阪市淀川区宮原5丁目2-30

TEL:0120-381-999 FAX:06-7708-8966

26. 製造販売業者等

26.1 製造販売元

沢井製薬株式会社

大阪市淀川区宮原5丁目2-30

〒100-0013 東京都千代田区霞が関3-3-2 新霞が関ビル

画面を閉じる

Copyright © Pharmaceuticals and Medical Devices Agency, All Rights reserved.