医療用医薬品 詳細表示

ラタノプロスト点眼液0.005%「サワイ」

処方せん医薬品

添付文書番号
企業コード
作成又は改訂年月
日本標準商品分類番号
薬効分類名
承認等
一般的名称
2.禁忌(次の患者には投与しないこと)
3.組成・性状
3.1組成
3.2製剤の性状
4.効能又は効果
6.用法及び用量
7.用法及び用量に関連する注意
8.重要な基本的注意
9.特定の背景を有する患者に関する注意
9.1合併症・既往歴等のある患者
9.5妊婦
9.6授乳婦
9.7小児等
9.8高齢者
10.相互作用
10.2併用注意(併用に注意すること)
11.副作用
11.1重大な副作用
11.2その他の副作用
14.適用上の注意
15.その他の注意
15.1臨床使用に基づく情報
15.2非臨床試験に基づく情報
16.薬物動態
16.1血中濃度
16.3分布
16.5排泄
17.臨床成績
17.1有効性及び安全性に関する試験
18.薬効薬理
18.1作用機序
18.2ぶどう膜強膜流出促進作用
18.3眼圧下降作用
18.4生物学的同等性試験
19.有効成分に関する理化学的知見
20.取扱い上の注意
22.包装
23.主要文献
24.文献請求先及び問い合わせ先
26.製造販売業者等

ラタノプロスト点眼液0.005%「サワイ」

添付文書番号

1319739Q1150_1_09

企業コード

300119

作成又は改訂年月

2023年6月改訂(第1版)

日本標準商品分類番号

871319

薬効分類名

プロスタグランジンF誘導体
緑内障・高眼圧症治療剤

承認等

ラタノプロスト点眼液0.005%「サワイ」

販売名コード

YJコード

1319739Q1150

販売名英語表記

LATANOPROST Ophthalmic Solution [SAWAI]

販売名ひらがな

らたのぷろすとてんがんえき

承認番号等

承認番号

22200AMX00089000

販売開始年月

2010年5月

貯法・有効期間

貯法

室温保存

有効期間

3年

一般的名称

ラタノプロスト

2. 禁忌(次の患者には投与しないこと)

本剤の成分に対し過敏症の既往歴のある患者

3. 組成・性状

3.1 組成

ラタノプロスト点眼液0.005%「サワイ」

1mL中
有効成分ラタノプロスト   50μg
添加剤塩酸、クエン酸、グリセリン、トロメタモール、ヒプロメロース、ベンザルコニウム塩化物、ポリソルベート80、D-マンニトール

3.2 製剤の性状

ラタノプロスト点眼液0.005%「サワイ」

pH6.4~6.8
浸透圧比1.0~1.1(生理食塩液に対する比)
性状無色澄明
無菌水性点眼液

4. 効能又は効果

緑内障、高眼圧症

6. 用法及び用量

1回1滴、1日1回点眼する。

7. 用法及び用量に関連する注意

頻回投与により眼圧下降作用が減弱する可能性があるので、1日1回を超えて投与しないこと。

8. 重要な基本的注意

  1. 8.1 本剤の投与により、虹彩色素沈着(メラニンの増加)があらわれることがある。投与に際しては虹彩色素沈着及び色調変化について患者に十分説明しておくこと。この色素沈着は投与により徐々に増加し、投与中止により停止するが、投与中止後消失しないことが報告されている。また、虹彩色素沈着による色調変化があらわれる可能性があり、特に片眼治療の場合、左右眼で虹彩の色調に差が生じる可能性がある。褐色を基調とする虹彩の患者において、虹彩色素沈着が多く報告されているが、虹彩の変色が軽度であり、臨床所見によって発見されないことが多い。
  2. 8.2 本剤投与中に角膜上皮障害(点状表層角膜炎、糸状角膜炎、角膜びらん)があらわれることがあるので、しみる、そう痒感、眼痛等の自覚症状が持続する場合には、直ちに受診するよう患者に十分指導すること。
  3. 8.3 本剤の点眼後、一時的に霧視があらわれることがあるため、症状が回復するまで機械類の操作や自動車等の運転には従事させないよう注意すること。

9. 特定の背景を有する患者に関する注意

9.1 合併症・既往歴等のある患者

  1. 9.1.1 無水晶体眼又は眼内レンズ挿入眼の患者

    嚢胞様黄斑浮腫を含む黄斑浮腫、及びそれに伴う視力低下を起こすとの報告がある。

  2. 9.1.2 気管支喘息又はその既往歴のある患者

    喘息発作を悪化又は誘発するおそれがある。

  3. 9.1.3 眼内炎(虹彩炎、ぶどう膜炎)のある患者

    眼圧上昇がみられたことがある。

  4. 9.1.4 ヘルペスウイルスが潜在している可能性のある患者

    角膜ヘルペスがみられたことがある。

  5. 9.1.5 閉塞隅角緑内障患者

    使用経験が少ない。

9.5 妊婦

妊婦又は妊娠している可能性のある女性には治療上の有益性が危険性を上回ると判断される場合にのみ投与すること。動物実験(妊娠ウサギ)における器官形成期投与試験において、臨床用量の約80倍量(5.0μg/kg/日)を静脈内投与したことにより、流産及び後期吸収胚の発現率増加、胎児体重の減少が認められている。

9.6 授乳婦

治療上の有益性及び母乳栄養の有益性を考慮し、授乳の継続又は中止を検討すること。動物実験(ラット:静脈内投与)で乳汁中へ移行することが報告されている。

9.7 小児等

小児等を対象とした有効性及び安全性を指標とした国内臨床試験は実施していない。

9.8 高齢者

一般に生理機能が低下している。

10. 相互作用

    10.2 併用注意(併用に注意すること)

    薬剤名等臨床症状・措置方法機序・危険因子

    プロスタグランジン系点眼薬

    • イソプロピルウノプロストン
      ビマトプロスト等

    眼圧上昇がみられたとの報告がある1),2)

    機序不明

    11. 副作用

    次の副作用があらわれることがあるので、観察を十分に行い、異常が認められた場合には投与を中止するなど適切な処置を行うこと。

    11.1 重大な副作用

    1. 11.1.1 虹彩色素沈着(2.37%注)

      患者を定期的に診察し、虹彩色素沈着があらわれた場合には臨床状態に応じて投与を中止すること。

    11.2 その他の副作用

    5%以上

    5%未満

    頻度不明

    眼:結膜

    結膜充血

    結膜炎、眼脂、結膜濾胞

    偽眼類天疱瘡

    眼:ぶどう膜

    ぶどう膜炎、虹彩炎

    虹彩嚢腫

    眼:角膜

    角膜上皮障害、点状表層角膜炎、糸状角膜炎、角膜びらん、角膜浮腫

    ヘルペス性角膜炎、角膜沈着物、角膜混濁、潰瘍性角膜炎

    眼:眼瞼

    眼瞼色素沈着、眼瞼炎、眼瞼部多毛、眼瞼浮腫、眼瞼発赤

    眼瞼溝深化

    眼:その他

    しみる等の眼刺激症状、そう痒感、眼痛、霧視、前房細胞析出、流涙、睫毛の異常(睫毛が濃く、太く、長くなる)、異物感等の眼の異常感

    嚢胞様黄斑浮腫を含む黄斑浮腫、及びそれに伴う視力低下、接触性皮膚炎、羞明

    循環器

    動悸、狭心症

    その他

    頭痛、そう痒感、咽頭違和感、嘔気、めまい、胸痛

    喘息、筋肉痛、関節痛、発疹

    注)使用成績調査を含む

    14. 適用上の注意

    14.1 薬剤交付時の注意

    • 患者に対し以下の点に注意するよう指導すること。
      • 薬液汚染防止のため、点眼のとき、容器の先端が直接目に触れないように注意すること。
      • 点眼に際しては、原則として仰臥位をとり、患眼を開瞼して結膜囊内に点眼し、1~5分間閉瞼して涙囊部を圧迫させた後、開瞼すること。
      • 点眼のとき、液が眼瞼皮膚等についた場合には、すぐにふき取ること。
      • 他の点眼剤を併用する場合には、少なくとも5分間以上間隔をあけてから点眼すること。
      • ベンザルコニウム塩化物によりコンタクトレンズを変色させることがあるので、コンタクトレンズを装用している場合は、点眼前にレンズを外し、15分以上経過後に再装用すること。

    15. その他の注意

    15.1 臨床使用に基づく情報

    外国において、眼局所有害事象として、網膜動脈閉塞、網膜剥離、糖尿病性網膜症に伴う硝子体出血、全身有害事象として、上気道感染症、感冒、インフルエンザ、筋肉痛、関節痛、腰痛、胸痛、狭心症、皮疹、アレルギー性皮膚反応があらわれたとの報告がある。

    15.2 非臨床試験に基づく情報

    ラタノプロストをサルに静脈内投与(2μg/kg)すると一過性の気道抵抗の増加が起こった。しかし、臨床用量(1.5μg/眼)の7倍量のラタノプロストを中等度の気管支喘息患者11例に点眼した場合、肺機能に影響はなかったとの報告がある。

    16. 薬物動態

    16.1 血中濃度

    健康成人(外国人)に3H-ラタノプロスト点眼液1.5μg(50μg/mL)を両眼に点眼後、活性代謝物であるラタノプロスト遊離酸の血漿中濃度を測定したとき、点眼5分後に53pg/mLで最高に達し、半減期17分で消失した3)

    16.3 分布

    1. 16.3.1 房水中濃度

      白内障手術を受ける患者(外国人)にラタノプロスト点眼液1.5μgを片眼に点眼したとき、ラタノプロスト遊離酸の房水中濃度は点眼後約2.5時間に32.6ng/mLとなり、24時間後には0.2ng/mL以下に低下した3)

    2. 16.3.2 眼組織移行(サル)

      雌雄カニクイザルに3H-ラタノプロスト点眼液4.8μgを単回点眼したとき、眼組織内放射能濃度は常に角膜で最も高く、結膜及び前部強膜においても高濃度で検出された。角膜では、実質層よりも上皮組織で高濃度の放射能が認められた。次いで、虹彩、前房及び毛様体の順に高濃度の放射能が検出され、後房、硝子体及び網膜では検出されなかった。角膜における放射能は点眼後の最初の測定時点(0.5時間)で最高に達し、半減期4時間で消失した4)

    16.5 排泄

    健康成人(外国人)に3H-ラタノプロスト点眼液1.5μg(50μg/mL)を両眼に点眼後、尿及び糞中排泄率はそれぞれ88%及び15%で、それぞれほぼ24時間及び72時間で排泄が完了した3)

    17. 臨床成績

    17.1 有効性及び安全性に関する試験

    1. 17.1.1 国内第Ⅲ相試験

      全国35施設で実施された二重盲検試験において、原発開放隅角緑内障及び高眼圧症に対する改善率は、87.5%(70/80)であった5)

    18. 薬効薬理

    18.1 作用機序

    ラタノプロストの眼圧下降作用は、房水の流出経路のうち、ぶどう膜強膜流出経路からの流出を促進することによりもたらされると考えられている6)

    18.2 ぶどう膜強膜流出促進作用

    1. 18.2.1 サルのラタノプロスト点眼後の房水動態をconstant pressure infusion法及び125Ⅰ、131Ⅰ標識アルブミン灌流法により検討したところ、ぶどう膜強膜流出量は有意に増大した7)
    2. 18.2.2 健常人にラタノプロスト点眼液を点眼後、フルオロフォトメトリーにより房水動態を検討したところ、ぶどう膜強膜流出量の増加が認められた6)

    18.3 眼圧下降作用

    1. 18.3.1 サルに対するラタノプロストの単回点眼では、点眼後4~6時間に用量依存性の眼圧下降が認められた。同じくサルに対する5ないし6日間の反復点眼では、点眼期間中安定した眼圧下降が持続し、作用の減弱は認められなかった8)
    2. 18.3.2 健常人又は緑内障・高眼圧症患者にラタノプロスト点眼液を点眼した場合、瞳孔径、視力、血圧及び脈拍数に影響を及ぼすことなく眼圧を下降させた9),10),11),12),13)

    18.4 生物学的同等性試験

    ラタノプロスト点眼液0.005%「サワイ」とキサラタン点眼液0.005%を健康成人男子にそれぞれ1滴両眼の結膜嚢内に点眼し、無投与群を含む3群(クロスオーバー法)の眼圧値を測定した。各測定時点の眼圧値及び得られたパラメータ(最大眼圧差、眼圧下降-時間曲線下面積)について統計解析を行った結果、両剤の生物学的同等性が確認された。
    なお、各パラメータは同時刻における無投与群の測定値との差を用いて算出した14)

    最大眼圧差
    (mmHg)

    眼圧下降-時間曲線下面積
    (mmHg・hr)

    ラタノプロスト点眼液0.005%「サワイ」

    3.4±1.0

    39.3±26.8

    キサラタン点眼液0.005%

    3.5±1.2

    37.3±28.5

    (Mean±S.D.)

    眼圧値ならびに最大眼圧差、眼圧下降-時間曲線下面積のパラメータは、被験者の選択、眼圧の測定回数・時間等の試験条件によって異なる可能性がある。

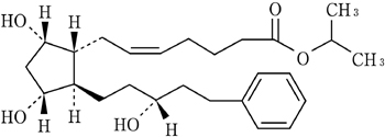
    19. 有効成分に関する理化学的知見

    一般的名称

    ラタノプロスト(Latanoprost)

    化学名

    (+)-Isopropyl(Z)-7-[(1R,2R,3R,5S)-3,5-dihydroxy-2-[(3R)-3-hydroxy-5-phenylpentyl]cyclopentyl]-5-heptenoate

    分子式

    C26H40O5

    分子量

    432.59

    性状

    無色~微黄色の粘稠性のある液である。アセトニトリルに極めて溶けやすく、アセトン、酢酸エチル、メタノール、エタノール(95)、2-プロパノール又は1-オクタノールに溶けやすく、水にほとんど溶けない。

    化学構造式

    20. 取扱い上の注意

    1. 20.1 外箱開封後は遮光して保存すること。
    2. 20.2 開栓後4週間経過した場合は、残液を使用しないこと。

    22. 包装

    プラスチック点眼容器:2.5mL×10本

    24. 文献請求先及び問い合わせ先

    沢井製薬株式会社 医薬品情報センター

    〒532-0003 大阪市淀川区宮原5丁目2-30

    *TEL:0120-381-999 FAX:06-7708-8966

    26. 製造販売業者等

    26.1 製造販売元

    沢井製薬株式会社

    大阪市淀川区宮原5丁目2-30

    〒100-0013 東京都千代田区霞が関3-3-2 新霞が関ビル

    画面を閉じる

    Copyright © Pharmaceuticals and Medical Devices Agency, All Rights reserved.