医療用医薬品 詳細表示

オロパタジン点眼液0.1%「サワイ」

処方せん医薬品以外の医薬品

添付文書番号
企業コード
作成又は改訂年月
日本標準商品分類番号
薬効分類名
承認等
一般的名称
2.禁忌(次の患者には投与しないこと)
3.組成・性状
3.1組成
3.2製剤の性状
4.効能又は効果
6.用法及び用量
8.重要な基本的注意
9.特定の背景を有する患者に関する注意
9.5妊婦
9.6授乳婦
9.7小児等
11.副作用
11.2その他の副作用
14.適用上の注意
16.薬物動態
16.1血中濃度
16.8その他
17.臨床成績
17.1有効性及び安全性に関する試験
18.薬効薬理
18.1作用機序
19.有効成分に関する理化学的知見
20.取扱い上の注意
22.包装
23.主要文献
24.文献請求先及び問い合わせ先
26.製造販売業者等

オロパタジン点眼液0.1%「サワイ」

添付文書番号

1319752Q1059_1_02

企業コード

300119

作成又は改訂年月

2023年10月改訂(第1版)

日本標準商品分類番号

871319

薬効分類名

抗アレルギー点眼剤

承認等

オロパタジン点眼液0.1%「サワイ」

販売名コード

YJコード

1319752Q1059

販売名英語表記

OLOPATADINE Ophthalmic Solution [SAWAI]

販売名ひらがな

おろぱたじんてんがんえき

承認番号等

承認番号

30300AMX00397000

販売開始年月

2021年12月

貯法・有効期間

貯法

室温保存

有効期間

3年

一般的名称

オロパタジン塩酸塩

2. 禁忌(次の患者には投与しないこと)

  1. 2.1 本剤の成分に対して過敏症の既往歴のある患者

3. 組成・性状

3.1 組成

オロパタジン点眼液0.1%「サワイ」

1mL中
有効成分日局オロパタジン塩酸塩   1.11mg
(オロパタジンとして   1mg )
添加剤塩化ナトリウム、ベンザルコニウム塩化物、無水リン酸一水素ナトリウム、pH調節剤

3.2 製剤の性状

オロパタジン点眼液0.1%「サワイ」

pH6.5~7.5
浸透圧比0.9~1.1(生理食塩液に対する比)
性状無色~微黄色澄明
無菌水性点眼液

4. 効能又は効果

アレルギー性結膜炎

6. 用法及び用量

通常、1回1~2滴、1日4回(朝、昼、夕方及び就寝前)点眼する。

8. 重要な基本的注意

  1. 8.1 本剤の使用により効果が認められない場合には、漫然と長期にわたり投与しないよう注意すること。

9. 特定の背景を有する患者に関する注意

9.5 妊婦

妊婦又は妊娠している可能性のある女性には、治療上の有益性が危険性を上回ると判断される場合にのみ投与すること。

9.6 授乳婦

治療上の有益性及び母乳栄養の有益性を考慮し、授乳の継続又は中止を検討すること。動物実験(ラット、経口)で乳汁中への移行及び出生児の体重増加抑制が報告されている。

9.7 小児等

低出生体重児、新生児、乳児を対象とした臨床試験は実施していない。

11. 副作用

次の副作用があらわれることがあるので、観察を十分に行い、異常が認められた場合には投与を中止するなど適切な処置を行うこと。

11.2 その他の副作用

0.5~5%未満

0.5%未満

頻度不明

眼痛

角膜炎、そう痒症、眼刺激、眼瞼浮腫、眼の異常感、充血、眼瞼炎、眼脂、結膜濾胞、結膜出血、眼瞼湿疹、眼瞼紅斑、流涙増加、眼の異物感、眼部不快感、眼瞼障害

眼乾燥、眼瞼縁痂皮、霧視、眼瞼痛

精神神経系

頭痛

味覚異常、めまい

肝臓

ALT上昇、AST上昇

その他

ヘマトクリット減少、尿中ブドウ糖陽性

接触性皮膚炎、口内乾燥、悪心、過敏症、咽喉乾燥

注)使用成績調査及び特定使用成績調査を含む。

14. 適用上の注意

14.1 薬剤交付時の注意

患者に対し以下の点に注意するよう指導すること。

  • 薬液汚染防止のため、点眼のとき、容器の先端が直接目に触れないように注意すること。
  • 患眼を開瞼して結膜囊内に点眼し、1~5分間閉瞼して涙囊部を圧迫させた後、開瞼すること。
  • 他の点眼剤を併用する場合には、少なくとも5分以上間隔をあけてから点眼すること。
  • 本剤に含まれているベンザルコニウム塩化物は、ソフトコンタクトレンズに吸着されることがあるので、点眼時はコンタクトレンズをはずし、10分以上経過後装用すること1),2)

16. 薬物動態

16.1 血中濃度

  1. 16.1.1 反復投与

    アレルギー患者(12例)に0.1%オロパタジン点眼液を、両眼に1回2滴、6時間ごとに(1日4回点眼)4日間反復点眼したときのオロパタジン(未変化体)の薬物動態パラメータは下記のとおりであった3)

    オロパタジン(未変化体)の薬物動態パラメータ
    (平均値±標準偏差 n=12)

    点眼日

    Cmax
    (ng/mL)

    Tmax
    (hr)

    AUC0-6
    (ng・hr/mL)

    消失半減期
    (hr)

    3日目

    0.610±0.518

    1.21±0.62

    2.07±1.46

    算出できず

    4日目

    0.520±0.416

    1.23±0.62

    1.90±1.16※2

    3.1±1.3

    検定※1
    (Paired t test)

    p=0.0814

    検定せず

    p=0.1249

    検定せず

    ※1:3日目と4日目の比較
    ※2:n=11

16.8 その他

オロパタジン点眼液0.1%「サワイ」は、パタノール点眼液0.1%の分析結果に基づき添加剤の種類及び含量(濃度)がパタノール点眼液0.1%と同一となるよう処方設計を行ったものであり、pH、粘度、浸透圧などの物理化学的性質が近似することから、生物学的に同等とみなされた。

17. 臨床成績

17.1 有効性及び安全性に関する試験

  1. 17.1.1 海外後期第Ⅱ相試験(抗原誘発試験)

    無症状期の日本人アレルギー性結膜炎患者(147例)を対象に海外で実施した後期第Ⅱ相試験において、片眼にオロパタジン点眼液(0.01%群38例、0.05%群38例、0.1%群35例、0.15%群36例)、対眼にプラセボをそれぞれ1回1滴点眼し、点眼4時間後に抗原誘発を行った。抗原誘発5分後におけるそう痒感の平均スコアの0.1%群とプラセボ群との差と95%信頼区間は、-1.19、[-1.52, -0.85]であり、抗原誘発20分後における総合充血の平均スコアの0.1%群とプラセボ群との差と95%信頼区間は、-0.93、[-1.49, -0.37]であった。
    0.1%投与群35例(安全評価対象例)で副作用は認められなかった4)

  2. 17.1.2 国内第Ⅲ相比較試験(ケトチフェンフマル酸塩点眼液を対照薬とした二重盲検並行群間比較試験)

    アレルギー性結膜炎患者(247例)を対象に、0.1%オロパタジン点眼液又は0.05%ケトチフェンフマル酸塩点眼液を両眼に1回2滴、1日4回(朝、昼、夕、就寝前)28日間点眼投与したところ、そう痒感及び充血の重症度点数において、0.1%オロパタジン点眼液は0.05%ケトチフェンフマル酸塩点眼液に劣らない有効性を示した。

    副作用発現頻度は、0.1%オロパタジン点眼液投与群で4.8%(6/124例)であった。副作用は眼痛2.4%(3/124例)、角膜炎NOS0.8%(1/124例)、アラニン・アミノトランスフェラーゼ増加1.6%(2/124例)、アスパラギン酸アミノトランスフェラーゼ増加0.8%(1/124例)であった5)

18. 薬効薬理

18.1 作用機序

オロパタジン塩酸塩は、選択的ヒスタミンH1受容体拮抗作用を主作用とし、更に肥満細胞からの化学伝達物質の遊離・産生抑制作用を有する。

18.2 抗ヒスタミン作用(in vitro

受容体結合実験において、ヒスタミンH1受容体に強い拮抗作用(Ki値:41~59nmol/L)を有し、その作用は選択的である。
ヒスタミン刺激によるヒト結膜上皮細胞からのインターロイキン-6(IC50値:5.5nmol/L)及びインターロイキン-8(IC50値:1.7nmol/L)の遊離・産生を抑制した6),7),8)

18.3 抗アレルギー作用(in vitro

抗ヒトIgE抗体刺激によるヒト結膜肥満細胞からのヒスタミン(IC50値:314~859μmol/L)、トリプターゼ、プロスタグランジンD2(IC50値:736μmol/L)及びTNFα(IC50値:13.1μmol/L)の遊離・産生を抑制した9),10)

18.4 動物結膜炎モデルにおける作用

ヒスタミン誘発によるモルモット結膜における血管透過性亢進を抑制(ED50値:0.002%)した。感作モルモットの抗原誘発による眼瞼と眼球結膜の充血及び膨疹を抑制(ED50値:0.017%)した11)

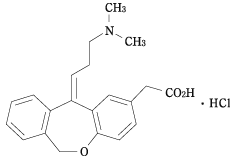
19. 有効成分に関する理化学的知見

一般的名称

オロパタジン塩酸塩(Olopatadine Hydrochloride)

化学名

{11-[(1Z)-3-(Dimethylamino)propylidene]-6,11-dihydrodibenzo[b,e]oxepin-2-yl}acetic acid monohydrochloride

分子式

C21H23NO3・HCl

分子量

373.87

性状

白色の結晶又は結晶性の粉末である。ギ酸に極めて溶けやすく、水にやや溶けにくく、エタノール(99.5)に極めて溶けにくい。0.01mol/L塩酸試液に溶ける。1.0gを水100mLに溶かした液のpHは2.3~3.3である。

化学構造式

融点

約250℃(分解)

20. 取扱い上の注意

外箱開封後は、遮光して保存すること。

22. 包装

プラスチック点眼容器:5mL×10本

24. 文献請求先及び問い合わせ先

沢井製薬株式会社 医薬品情報センター

〒532-0003 大阪市淀川区宮原5丁目2-30

*TEL:0120-381-999 FAX:06-7708-8966

26. 製造販売業者等

26.1 製造販売元

沢井製薬株式会社

大阪市淀川区宮原5丁目2-30

〒100-0013 東京都千代田区霞が関3-3-2 新霞が関ビル

画面を閉じる

Copyright © Pharmaceuticals and Medical Devices Agency, All Rights reserved.