医療用医薬品 詳細表示

フルチカゾン点鼻液50μg「サワイ」28噴霧用/フルチカゾン点鼻液50μg「サワイ」56噴霧用

処方せん医薬品以外の医薬品

添付文書番号
企業コード
作成又は改訂年月
日本標準商品分類番号
薬効分類名
承認等
一般的名称
2.禁忌(次の患者には投与しないこと)
3.組成・性状
3.1組成
3.2製剤の性状
4.効能又は効果
6.用法及び用量
7.用法及び用量に関連する注意
8.重要な基本的注意
9.特定の背景を有する患者に関する注意
9.1合併症・既往歴等のある患者
9.5妊婦
9.6授乳婦
9.7小児等
9.8高齢者
10.相互作用
10.2併用注意(併用に注意すること)
11.副作用
11.1重大な副作用
11.2その他の副作用
14.適用上の注意
15.その他の注意
15.1臨床使用に基づく情報
16.薬物動態
16.1血中濃度
16.3分布
16.4代謝
17.臨床成績
17.1有効性及び安全性に関する試験
17.3その他
18.薬効薬理
18.1作用機序
18.2抗炎症作用
18.3アレルギー性鼻炎抑制作用
18.4抗アレルギー作用
19.有効成分に関する理化学的知見
22.包装
23.主要文献
24.文献請求先及び問い合わせ先
26.製造販売業者等

フルチカゾン点鼻液50μg「サワイ」28噴霧用/フルチカゾン点鼻液50μg「サワイ」56噴霧用

添付文書番号

1329707Q1076_2_05

企業コード

300119

作成又は改訂年月

2023年12月改訂(第1版)

日本標準商品分類番号

871329

薬効分類名

定量噴霧式鼻過敏症治療剤

承認等

フルチカゾン点鼻液50μg「サワイ」28噴霧用

販売名コード

YJコード

1329707Q1076

販売名英語表記

FLUTICASONE Nasal Solution [SAWAI]

販売名ひらがな

ふるちかぞんてんびえき

承認番号等

承認番号

21800AMZ10155000

販売開始年月

2006年7月

貯法・有効期間

貯法

室温保存

有効期間

3年

フルチカゾン点鼻液50μg「サワイ」56噴霧用

販売名コード

YJコード

1329707Q3117

販売名英語表記

FLUTICASONE Nasal Solution [SAWAI]

販売名ひらがな

ふるちかぞんてんびえき

承認番号等

承認番号

22100AMX00069000

販売開始年月

2009年5月

貯法・有効期間

貯法

室温保存

有効期間

3年

一般的名称

フルチカゾンプロピオン酸エステル

2. 禁忌(次の患者には投与しないこと)

  1. 2.1 有効な抗菌剤の存在しない感染症、全身の真菌症の患者[症状を増悪するおそれがある]
  2. 2.2 本剤の成分に対して過敏症の既往歴のある患者

3. 組成・性状

3.1 組成

フルチカゾン点鼻液50μg「サワイ」28噴霧用

有効成分フルチカゾンプロピオン酸エステル
1mL中 0.51mg
1回噴霧中 50μg
1容器中 2.04mg  
添加剤カルメロースNa、結晶セルロース、フェニルエチルアルコール、ブドウ糖、ベンザルコニウム塩化物、ポリソルベート80、pH調節剤
容量  1容器 4mL

フルチカゾン点鼻液50μg「サワイ」56噴霧用

有効成分フルチカゾンプロピオン酸エステル
1mL中 0.51mg
1回噴霧中 50μg
1容器中 4.08mg  
添加剤カルメロースNa、結晶セルロース、フェニルエチルアルコール、ブドウ糖、ベンザルコニウム塩化物、ポリソルベート80、pH調節剤
容量  1容器 8mL

3.2 製剤の性状

フルチカゾン点鼻液50μg「サワイ」28噴霧用

剤形定量噴霧式点鼻液
pH5.0~7.0
性状白色の懸濁液で、特異なにおいがある

フルチカゾン点鼻液50μg「サワイ」56噴霧用

剤形定量噴霧式点鼻液
pH5.0~7.0
性状白色の懸濁液で、特異なにおいがある

4. 効能又は効果

  • アレルギー性鼻炎
  • 血管運動性鼻炎

6. 用法及び用量

成人は、通常1回各鼻腔に1噴霧(フルチカゾンプロピオン酸エステルとして50μg)を1日2回投与する。なお、症状により適宜増減するが、1日の最大投与量は、8噴霧を限度とする。

7. 用法及び用量に関連する注意

本剤の十分な臨床効果を得るためには継続的に使用すること。

8. 重要な基本的注意

  • 〈効能共通〉
    1. 8.1 本剤の投与期間中に鼻症状の悪化がみられた場合には、抗ヒスタミン剤あるいは、全身性ステロイド剤を短期間併用し、症状の軽減にあわせて併用薬剤を徐々に減量すること。
    2. 8.2 本剤には持続効果が認められるので、特に通年性の患者において長期に使用する場合は、症状の改善状態が持続するようであれば、本剤の減量又は休薬につとめること。
    3. 8.3 全身性ステロイド剤の減量は本剤の投与開始後症状の安定をみて徐々に行う。減量にあたっては一般のステロイド剤の減量法に準ずる。
    4. 8.4 全身性ステロイド剤の減量並びに離脱に伴って、気管支喘息、ときに湿疹、蕁麻疹、眩暈、動悸、倦怠感、顔のほてり、結膜炎等の症状が発現・増悪することがあるので、このような症状があらわれた場合には適切な処置を行うこと。
    5. 8.5 全身性ステロイド剤と比較し可能性は低いが、点鼻ステロイド剤の投与により全身性の作用(クッシング症候群、クッシング様症状、副腎皮質機能抑制、小児の成長遅延、骨密度の低下、白内障、緑内障、中心性漿液性網脈絡膜症を含む)が発現する可能性がある。特に長期間、大量投与の場合には定期的に検査を行い、全身性の作用が認められた場合には適切な処置を行うこと。
  • 〈アレルギー性鼻炎〉
    1. 8.6 季節性の疾患に対しては、その好発期を考慮し初期治療を開始し、抗原との接触がなくなるまで続けることが望ましい。

9. 特定の背景を有する患者に関する注意

9.1 合併症・既往歴等のある患者

  1. 9.1.1 鼻咽喉感染症(有効な抗菌剤の存在しない感染症、全身の真菌症を除く)の患者

    症状を増悪するおそれがある。

  2. 9.1.2 反復性鼻出血の患者

    出血を増悪するおそれがある。

  3. 9.1.3 重症な肥厚性鼻炎や鼻茸の患者

    本剤の鼻腔内での作用を確実にするため、これらの症状がある程度減少するよう他の療法を併用するとよい。

  4. 9.1.4 長期又は大量の全身性ステロイド療法を受けている患者

    全身性ステロイド剤の減量中並びに離脱後も副腎皮質機能検査を行い、外傷、手術、重症感染症等の侵襲には十分に注意を払うこと。また必要があれば一時的に全身性ステロイド剤の増量を行うこと。これらの患者では副腎皮質機能不全となっていることが考えられる。

9.5 妊婦

妊婦又は妊娠している可能性のある女性には、治療上の有益性が危険性を上回ると判断される場合にのみ投与すること。本薬は皮下投与による動物実験(ラット1)、ウサギ2))で副腎皮質ステロイド剤に共通した奇形発生、胎児の発育抑制がみられ、これらの所見はウサギにおいて低い用量で出現することが報告されている。

9.6 授乳婦

治療上の有益性及び母乳栄養の有益性を考慮し、授乳の継続又は中止を検討すること。

9.7 小児等

小児等を対象とした臨床試験は実施していない。

9.8 高齢者

患者の状態を観察しながら慎重に投与すること。一般に、生理機能が低下している。

10. 相互作用

  • 本剤は、主としてCYP3A4で代謝される3)

10.2 併用注意(併用に注意すること)

薬剤名等臨床症状・措置方法機序・危険因子

CYP3A4阻害作用を有する薬剤

  • リトナビル等

副腎皮質ステロイド剤を全身投与した場合と同様の症状があらわれる可能性がある。
特に、リトナビルとフルチカゾンプロピオン酸エステル製剤の併用により、クッシング症候群、副腎皮質機能抑制等が報告されているので、リトナビルとの併用は治療上の有益性がこれらの症状発現の危険性を上回ると判断される場合に限ること。

CYP3A4による代謝が阻害されることにより、本剤の血中濃度が上昇する可能性がある。
リトナビルは強いCYP3A4阻害作用を有し、リトナビルとフルチカゾンプロピオン酸エステル製剤を併用した臨床薬理試験において、血中フルチカゾンプロピオン酸エステル濃度の大幅な上昇、また血中コルチゾール値の著しい低下が認められている。

11. 副作用

次の副作用があらわれることがあるので、観察を十分に行い、異常が認められた場合には投与を中止するなど適切な処置を行うこと。

11.1 重大な副作用

  • アナフィラキシー(頻度不明)

    アナフィラキシー(呼吸困難、全身潮紅、血管性浮腫、蕁麻疹等)があらわれることがある。

11.2 その他の副作用

0.1%~1%未満

0.1%未満

頻度不明

過敏症

発疹、浮腫

鼻腔

鼻症状(刺激感、疼痛、乾燥感)、鼻出血、不快臭

鼻中隔穿孔、鼻潰瘍

口腔並びに呼吸器

咽喉頭症状(刺激感、乾燥感)、不快な味

精神神経系

頭痛

振戦、睡眠障害

その他

眼圧上昇

発現頻度には使用成績調査の結果を含む。

14. 適用上の注意

14.1 薬剤交付時の注意

  1. 14.1.1 患者には添付の携帯袋及び鼻用定量噴霧器の使用説明書を渡し、使用方法を指導すること。
    1. (1) 鼻腔内噴霧用にのみ使用すること。
    2. (2) 用時振盪すること。

15. その他の注意

15.1 臨床使用に基づく情報

レセルピン系製剤、α-メチルドパ製剤等の降圧剤には、副作用として鼻閉がみられることがある。このような降圧剤服用中のアレルギー性鼻炎又は血管運動性鼻炎の患者に、本剤を投与すると、鼻閉症状に対する本剤の効果が隠蔽されるおそれがあるので、臨床的観察を十分に行いながら投与すること。

16. 薬物動態

16.1 血中濃度

  1. 16.1.1 単回投与

    健康成人に200μg又は400μgを単回鼻腔内投与した場合、血中濃度は検出限界(50pg/mL)以下である4)

  2. 16.1.2 反復投与

    健康成人に200μgを1日2回(400μg/日)14日間連続鼻腔内投与した場合、血中濃度は検出限界(50pg/mL)以下である4)

16.3 分布

  1. 16.3.1 分布容積

    ラットに3H-フルチカゾンプロピオン酸エステル10μg/kgを鼻腔内に単回使用した結果、使用後45分に大部分の組織は最高濃度を示し、消化管、鼻粘膜、下垂体及び甲状腺に高い濃度が認められた。使用後168時間では皮膚に最高濃度の7%、腎臓に2%、及び鼻粘膜に0.5%が認められたが、その他の組織はいずれも検出限界付近又はそれ以下であった5)

  2. 16.3.2 血漿蛋白結合率

    In vitroでのヒト血漿蛋白結合率は81~95%であった5)

16.4 代謝

フルチカゾンプロピオン酸エステルはCYP3A4によって代謝を受ける3)
健康成人における経口投与時の血中主要代謝物は、17β-カルボン酸体であり、尿中では17β-カルボン酸体及びそのグルクロン酸抱合体、糞中では未吸収による未変化体及び17β-カルボン酸体である(外国人データ)。

17. 臨床成績

17.1 有効性及び安全性に関する試験

  1. 17.1.1 国内第Ⅱ相試験

    通年性鼻アレルギー患者を対象に、フルチカゾンプロピオン酸エステル点鼻液100注1)、200及び400μg/日(1日2回)並びにフルチカゾンプロピオン酸エステル点鼻液200μg/日(1日1回)注1)を2週間鼻腔内投与し、至適用量及び用法を二重盲検並びに非盲検法により検討した時の最終全般改善度(中等度改善以上)注2)は下表のとおりであった6)

    投与群
    (μg/日)

    投与方法

    対象症例数

    中等度改善以上

    症例数

    有効率%

    100

    各鼻腔に25μg/噴霧×1日2回注1)

    47

    40

    85.1

    200

    各鼻腔に50μg/噴霧×1日2回

    45

    38

    84.4

    400

    各鼻腔に100μg/噴霧×1日2回

    46

    36

    78.3

    200

    各鼻腔に100μg/噴霧×1日1回注1)

    39

    27

    69.2

    副作用発現頻度は、フルチカゾンプロピオン酸エステル点鼻液200μg/日(1日2回)群で1.9%(1/53例)及び200μg/日(1日1回)注1)群で1.9%(1/53例)であり、その内訳はそれぞれ舌のかわき1.9%(1/53例)及び鼻内刺激感1.9%(1/53例)であった。100μg/日及び400μg/日投与群では副作用発現例は認められなかった。

  2. 17.1.2 国内第Ⅲ相試験

    通年性鼻アレルギー患者を対象として、フルチカゾンプロピオン酸エステル点鼻液200μg/日(1日2回)又は400μg/日(1日4回)注1)を4週間以上鼻腔内投与し、安全性と有効性を検討する長期投与試験を実施した(最長22週間)7)。200μg/日及び400μg/日群の合算による最終全般改善度注2)は、中等度改善以上が89.3%(67/75例)であった。
    200μg/日及び400μg/日群の合算による副作用発現頻度は、全体で1.2%(1/81例)に認められ、その内訳は200μg/日群の同一症例に認められた鼻出血1.2%(1/81例)及び鼻の疼痛1.2%(1/81例)であった。フルチカゾンプロピオン酸エステル点鼻液400μg/日群では副作用発現例は認められなかった。

  3. 17.1.3 国内第Ⅲ相試験

    通年性鼻アレルギー患者を対象として、フルチカゾンプロピオン酸エステル点鼻液又はエアゾール剤注3)をそれぞれ200μg/日(1日2回)を2週間鼻腔内投与し、有効性と安全性を検討する単盲検比較試験を実施した8)。最終全般改善度注2)は、中等度改善以上が点鼻液群及びエアゾール群でそれぞれ81.3%(61/75例)及び69.9%(51/73例)であった。
    副作用発現頻度は、点鼻液群で1.1%(1/87例)であり、鼻出血1例であった。

  4. 17.1.4 国内第Ⅲ相試験

    通年性鼻アレルギー患者を対象として、フルチカゾンプロピオン酸エステル点鼻液200μg/日(1日2回)又はクロモグリク酸ナトリウム点鼻液31.2mg/日(1日6回)を4週間鼻腔内投与し、有効性、安全性及び有用性を検討する単盲検比較試験を実施した9)。最終全般改善度注2)は、中等度改善以上がフルチカゾンプロピオン酸エステル群及びクロモグリク酸ナトリウム群でそれぞれ82.9%(63/76例)及び37.3%(25/67例)であった。
    副作用発現頻度は、フルチカゾンプロピオン酸エステル群で1.1%(1/92例)であり、鼻出血1例であった。

  5. 17.1.5 国内第Ⅲ相試験

    血管運動性鼻炎患者を対象として、フルチカゾンプロピオン酸エステル点鼻液200μg/日(1日2回)を2週間以上鼻腔内投与し、有効性、安全性及び有用性を検討する長期投与試験を実施した10)。最終全般改善度注2)は、中等度改善以上で72.7%(40/55例)であった。
    副作用発現頻度は、フルチカゾンプロピオン酸エステル点鼻液群で1.3%(1/76例)であり、軽度の動悸1例であった。

  6. 17.1.6 国内第Ⅲ相試験

    スギ花粉症患者を対象として、フルチカゾンプロピオン酸エステルエアゾール剤注3)200μg/日(1日2回)又はプラセボを花粉飛散期直前から8~9週間鼻腔内投与し、スギ花粉症発症抑制効果及び発症後の治療効果を検討する二重盲検比較試験を実施した11)。抑制効果は、下表のとおりであった。

    判定時期

    投与群

    投与症例数

    中等度の効果あり以上

    例数

    有効率%

    飛散初期

    エアゾール剤

    69

    50

    72.5

    飛散中期

    エアゾール剤→エアゾール剤
    プラセボ→エアゾール剤

    61
    59

    52
    46

    85.2
    78.0

    飛散後期

    エアゾール剤→エアゾール剤
    プラセボ→エアゾール剤

    63
    60

    56
    56

    88.9
    93.3

    副作用発現頻度は、フルチカゾンプロピオン酸エステルエアゾール剤において、飛散前及び飛散初期で2.2%(2/92例)及び飛散後期で1.7%(3/175例)に認められた。その内訳は飛散前及び飛散初期で鼻出血2.2%(2/92例)及び飛散後期で鼻出血0.6%(1/175例)、鼻内刺激感0.6%(1/175例)及び鼻内痛0.6%(1/175例)であった。
    注1)本剤の承認用量は、1回各鼻腔に50μgを1日2回、最大投与量は400μg/日である。
    注2)鼻症状と鼻所見の改善度を「鼻アレルギー(含む花粉症)の診断と治療(アレルギー疾患治療ガイドライン)」に従い判定した。
    注3)フルチカゾンプロピオン酸エステルエアゾール剤は、日本未発売である。

17.3 その他

  1. 17.3.1 下垂体・副腎皮質系機能への影響

    健康成人に400μg/日を14日間鼻腔内投与した場合、下垂体・副腎皮質系機能の抑制は認められなかった4)

  2. 17.3.2 生物学的同等性試験

    フルチカゾン点鼻液50μg「サワイ」28噴霧用及びフルナーゼ点鼻液50μg28噴霧用について、スギ花粉症患者(成人)を対象に、各鼻腔に1回1噴霧(フルチカゾンプロピオン酸エステルとして50μg)を1日2回(朝及び夕)投与し、くしゃみ発作、鼻の瘙痒感、鼻汁及び鼻閉の4症状の合計スコアを指標として治療効果を検討したところ、両剤の生物学的同等性が確認された12)

18. 薬効薬理

18.1 作用機序

フルチカゾンプロピオン酸エステルは合成副腎皮質ステロイドであり、グルココルチコイド受容体を刺激することにより、抗炎症作用、アレルギー性鼻炎抑制作用及び抗アレルギー作用を示す。

18.2 抗炎症作用

  1. 18.2.1 ヒト皮膚血管収縮作用

    フルチカゾンプロピオン酸エステルは、McKenzieらの方法による健康成人皮膚における血管収縮試験(皮膚蒼白度を指標)において、ベクロメタゾンプロピオン酸エステルの約1.9倍、ベタメタゾン吉草酸エステルの約2.6倍、フルオシノロンアセトニドの約9.5倍の血管収縮作用を示した13)

  2. 18.2.2 カラゲニン浮腫抑制作用

    ラットにおけるカラゲニン足蹠浮腫抑制作用の強さは、局所投与でフルチカゾンプロピオン酸エステル>ベタメタゾン吉草酸エステル=ベクロメタゾンプロピオン酸エステルの順である14)

18.3 アレルギー性鼻炎抑制作用

  1. 18.3.1 ラットアレルギー性鼻炎モデルにおいて、全身投与(皮下)あるいは局所投与により鼻粘膜血管透過性亢進反応を用量依存的に抑制する14)。全身投与による抑制作用の強さはED50の比較においてフルチカゾンプロピオン酸エステル>ベクロメタゾンプロピオン酸エステル>ベタメタゾン吉草酸エステルの順である14)
  2. 18.3.2 スギ花粉症患者に対し、好発期直前から200μg/日を鼻腔内投与した場合、鼻粘膜粘液上皮層中の好塩基性細胞数及び好酸球数の増加を抑制し、ヒスタミン含有量の減少傾向が認められた15)

18.4 抗アレルギー作用

ラットにおける48時間PCA反応に対し、皮下投与で用量依存的に抑制する14)。抑制作用の強さは、フルチカゾンプロピオン酸エステル>ベタメタゾン吉草酸エステル>クロモグリク酸ナトリウムの順である14)。また、picryl chloride誘発マウス耳浮腫法による遅延型アレルギー反応に対し、皮下投与で用量依存的に抑制し、その強さはED50の比較において、フルチカゾンプロピオン酸エステル=ベクロメタゾンプロピオン酸エステル>ベタメタゾン吉草酸エステルの順である14)

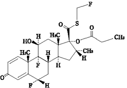
19. 有効成分に関する理化学的知見

一般的名称

フルチカゾンプロピオン酸エステル(Fluticasone Propionate)

化学名

S-Fluoromethyl 6α,9α-difluoro-11β-hydroxy-16α-methyl-3-oxo-17α-propionyloxyandrost-1,4-diene-17β-carbothioate

分子式

C25H31F3O5S

分子量

500.57

性状

白色の微細な粉末である。アセトニトリルにやや溶けにくく、メタノール又はエタノール(99.5)に溶けにくく、水にほとんど溶けない。

化学構造式

融点

約273℃(分解)

22. 包装

  • 〈フルチカゾン点鼻液50μg「サワイ」28噴霧用〉

    プラスチック点鼻容器:4mL×10本

  • 〈フルチカゾン点鼻液50μg「サワイ」56噴霧用〉

    プラスチック点鼻容器:8mL×5本

24. 文献請求先及び問い合わせ先

沢井製薬株式会社 医薬品情報センター

〒532-0003 大阪市淀川区宮原5丁目2-30

*TEL:0120-381-999 FAX:06-7708-8966

26. 製造販売業者等

26.1 製造販売元

沢井製薬株式会社

大阪市淀川区宮原5丁目2-30

〒100-0013 東京都千代田区霞が関3-3-2 新霞が関ビル

画面を閉じる

Copyright © Pharmaceuticals and Medical Devices Agency, All Rights reserved.