医療用医薬品 詳細表示

アラセプリル錠25mg「サワイ」

処方せん医薬品

添付文書番号
企業コード
作成又は改訂年月
日本標準商品分類番号
薬効分類名
承認等
一般的名称
2.禁忌(次の患者には投与しないこと)
3.組成・性状
3.1組成
3.2製剤の性状
4.効能又は効果
6.用法及び用量
7.用法及び用量に関連する注意
8.重要な基本的注意
9.特定の背景を有する患者に関する注意
9.1合併症・既往歴等のある患者
9.2腎機能障害患者
9.4生殖能を有する者
9.5妊婦
9.6授乳婦
9.7小児等
9.8高齢者
10.相互作用
10.1併用禁忌(併用しないこと)
10.2併用注意(併用に注意すること)
11.副作用
11.1重大な副作用
11.2その他の副作用
12.臨床検査結果に及ぼす影響
14.適用上の注意
15.その他の注意
15.1臨床使用に基づく情報
16.薬物動態
16.1血中濃度
16.2吸収
16.3分布
16.4代謝
16.5排泄
16.6特定の背景を有する患者
17.臨床成績
17.1有効性及び安全性に関する試験
18.薬効薬理
18.1作用機序
18.2降圧効果
19.有効成分に関する理化学的知見
22.包装
23.主要文献
24.文献請求先及び問い合わせ先
26.製造販売業者等

アラセプリル錠25mg「サワイ」

添付文書番号

2144003F2238_2_03

企業コード

300119

作成又は改訂年月

**2025年9月改訂(第4版)
2024年10月改訂(第3版)

日本標準商品分類番号

872144

薬効分類名

持続性アンジオテンシン変換酵素阻害剤

承認等

アラセプリル錠25mg「サワイ」

販売名コード

YJコード

2144003F2238

販売名英語表記

ALACEPRIL Tablets [SAWAI]

販売名ひらがな

あらせぷりるじょう

承認番号等

承認番号

22600AMX00676000

販売開始年月

1999年7月

貯法・有効期間

貯法

室温保存

有効期間

3年

基準名

日本薬局方

アラセプリル錠

一般的名称

アラセプリル

2. 禁忌(次の患者には投与しないこと)

  1. 2.1 本剤の成分に対し過敏症の既往歴のある患者
  2. 2.2 サクビトリルバルサルタンナトリウム水和物を投与中又は投与中止から36時間以内の患者
  3. 2.3 **血管性浮腫の既往歴のある患者(アンジオテンシン変換酵素阻害剤等の薬剤による血管性浮腫、遺伝性血管性浮腫、後天性血管性浮腫、特発性血管性浮腫等)[高度の呼吸困難を伴う血管性浮腫を発現することがある。]
  4. 2.4 *デキストラン硫酸固定化セルロース、トリプトファン固定化ポリビニルアルコール、フェニルアラニン固定化ポリビニルアルコール、又はデキストラン硫酸及びL-トリプトファン固定化セルロースを用いた吸着器によるアフェレーシスを施行中の患者
  5. 2.5 アクリロニトリルメタリルスルホン酸ナトリウム膜(AN69®)を用いた血液透析施行中の患者
  6. 2.6 妊婦又は妊娠している可能性のある女性
  7. 2.7 アリスキレンフマル酸塩を投与中の糖尿病患者(ただし、他の降圧治療を行ってもなお血圧のコントロールが著しく不良の患者を除く)

3. 組成・性状

3.1 組成

アラセプリル錠25mg「サワイ」

1錠中
有効成分日局アラセプリル   25mg
添加剤結晶セルロース、ステアリン酸Mg、ヒドロキシプロピルセルロース、D-マンニトール、リン酸水素Ca

3.2 製剤の性状

アラセプリル錠25mg「サワイ」

剤形割線入り素錠
外形

大きさ直径7.0mm
厚さ2.4mm
質量約115mg
識別コードSW 202
性状白色

4. 効能又は効果

本態性高血圧症、腎性高血圧症

6. 用法及び用量

通常、成人にアラセプリルとして1日25~75mgを1~2回に分割経口投与する。年齢、症状により適宜増減する。
なお、重症例においても1日最大投与量は100mgまでとする。

7. 用法及び用量に関連する注意

腎機能障害のある患者及び腎疾患の既往歴のある患者(重篤な腎機能障害のある患者を除く)に投与する場合は、投与は少量かつ1日1回投与より開始し、増量を必要とする場合は、患者の状態を十分に観察しながら徐々に行うこと。,

8. 重要な基本的注意

  1. 8.1 降圧作用に基づくめまい、ふらつきがあらわれることがあるので、高所作業、自動車の運転など危険を伴う機械を操作する際には注意させること。
  2. 8.2 手術前24時間は投与しないことが望ましい。

9. 特定の背景を有する患者に関する注意

9.1 合併症・既往歴等のある患者

  1. 9.1.1 両側性腎動脈狭窄のある患者又は片腎で腎動脈狭窄のある患者

    治療上やむを得ないと判断される場合を除き、使用は避けること。腎血流量の減少や糸球体ろ過圧の低下により急速に腎機能を悪化させるおそれがある。

  2. 9.1.2 高カリウム血症の患者

    治療上やむを得ないと判断される場合を除き、使用は避けること。高カリウム血症を増悪させるおそれがある。
    また、腎機能障害、コントロール不良の糖尿病等により血清カリウム値が高くなりやすい患者では、血清カリウム値に注意すること。

  3. 9.1.3 重症の高血圧症患者

    投与は少量より開始し、増量する場合は、患者の状態を十分に観察しながら徐々に行うこと。初回投与後一過性の急激な血圧低下を起こす場合がある。

  4. 9.1.4 厳重な減塩療法中の患者

    投与は少量より開始し、増量する場合は、患者の状態を十分に観察しながら徐々に行うこと。初回投与後一過性の急激な血圧低下を起こす場合がある。

9.2 腎機能障害患者

  1. 9.2.1 重篤な腎機能障害のある患者

    血清クレアチニン値が3mg/dLを超える場合には、投与量を減らすか又は投与間隔を延ばすなど慎重に投与すること。活性代謝物の血中濃度が上昇し、過度の血圧低下、腎機能の悪化が起こるおそれがある。

  2. 9.2.2 腎機能障害のある患者及び腎疾患の既往歴のある患者(重篤な腎機能障害のある患者を除く)

    投与は少量かつ1日1回投与より開始し、増量を必要とする場合は、患者の状態を十分に観察しながら徐々に行うこと。活性代謝物の血中濃度が上昇するおそれがある。,

  3. 9.2.3 血液透析中の患者

    投与は少量より開始し、増量する場合は、患者の状態を十分に観察しながら徐々に行うこと。初回投与後一過性の急激な血圧低下を起こす場合がある。

9.4 生殖能を有する者

  1. 9.4.1 妊娠する可能性のある女性

    妊娠していることが把握されずアンジオテンシン変換酵素阻害剤又はアンジオテンシンⅡ受容体拮抗剤を使用し、胎児・新生児への影響(腎不全、頭蓋・肺・腎の形成不全、死亡等)が認められた例が報告されている1),2)

    本剤の投与に先立ち、代替薬の有無等も考慮して本剤投与の必要性を慎重に検討し、治療上の有益性が危険性を上回ると判断される場合にのみ投与すること。また、投与が必要な場合には次の注意事項に留意すること。

    1. (1) 本剤投与開始前に妊娠していないことを確認すること。本剤投与中も、妊娠していないことを定期的に確認すること。投与中に妊娠が判明した場合には、直ちに投与を中止すること。
    2. (2) 次の事項について、本剤投与開始時に患者に説明すること。また、投与中も必要に応じ説明すること。
      • 妊娠中に本剤を使用した場合、胎児・新生児に影響を及ぼすリスクがあること。
      • 妊娠が判明した又は疑われる場合は、速やかに担当医に相談すること。
      • 妊娠を計画する場合は、担当医に相談すること。

9.5 妊婦

妊婦又は妊娠している可能性のある女性には投与しないこと。また、投与中に妊娠が判明した場合には、直ちに投与を中止すること。妊娠中期及び末期にアンジオテンシン変換酵素阻害剤又はアンジオテンシンⅡ受容体拮抗剤を投与された患者で羊水過少症、胎児・新生児の死亡、新生児の低血圧、腎不全、高カリウム血症、頭蓋の形成不全及び羊水過少症によると推測される四肢の拘縮、頭蓋顔面の変形、肺の低形成等があらわれたとの報告がある。また、海外で実施されたレトロスペクティブな疫学調査で、妊娠初期にアンジオテンシン変換酵素阻害剤を投与された患者群において、胎児奇形の相対リスクは降圧剤が投与されていない患者群に比べ高かったとの報告がある。,

9.6 授乳婦

治療上の有益性及び母乳栄養の有益性を考慮し、授乳の継続又は中止を検討すること。動物実験(ラット)で乳汁中へ移行することが認められている。

9.7 小児等

小児等を対象とした臨床試験は実施していない。

9.8 高齢者

低用量から投与を開始するなど患者の状態を観察しながら慎重に投与すること。一般に過度の降圧は好ましくないとされている。脳梗塞等が起こるおそれがある。

10. 相互作用

    10.1 併用禁忌(併用しないこと)

    薬剤名等臨床症状・措置方法機序・危険因子

    サクビトリルバルサルタンナトリウム水和物

    • エンレスト

    **血管性浮腫があらわれるおそれがある。サクビトリルバルサルタンナトリウム水和物が投与されている場合は、少なくとも本剤投与開始36時間前に中止すること。また、本剤投与終了後にサクビトリルバルサルタンナトリウム水和物を投与する場合は、本剤の最終投与から36時間後までは投与しないこと。

    併用により相加的にブラジキニンの分解が抑制される可能性がある。

    *デキストラン硫酸固定化セルロース、トリプトファン固定化ポリビニルアルコール、フェニルアラニン固定化ポリビニルアルコール、又はデキストラン硫酸及びL-トリプトファン固定化セルロースを用いた吸着器によるアフェレーシスの施行

    • リポソーバー®、リポソーバー®LA-15、セレソーブ®、イムソーバ®TR、イムソーバ®、レオカーナ®

    ショックを起こすことがある。

    陰性に荷電したこれらの吸着材により血中キニン系の代謝が亢進し、本剤によりブラジキニンの代謝が妨げられ蓄積すると考えられている。

    アクリロニトリルメタリルスルホン酸ナトリウム膜を用いた透析

    • AN69®

    アナフィラキシーを発現することがある。

    多価イオン体であるAN69®により血中キニン系の代謝が亢進し、本剤によりブラジキニンの代謝が妨げられ蓄積すると考えられている。

    アリスキレンフマル酸塩

    • ラジレス

    (糖尿病患者に使用する場合。ただし、他の降圧治療を行ってもなお血圧のコントロールが著しく不良の患者を除く)

    非致死性脳卒中、腎機能障害、高カリウム血症及び低血圧のリスク増加が報告されている。

    レニン-アンジオテンシン系阻害作用が増強される可能性がある。

    10.2 併用注意(併用に注意すること)

    薬剤名等臨床症状・措置方法機序・危険因子

    カリウム保持性利尿剤

    • スピロノラクトン
      トリアムテレン 等

    カリウム補給剤

    • 塩化カリウム等

    血清カリウム値が上昇することがある。

    本剤によりアンジオテンシンⅡが低下してアルドステロンの分泌減少をきたし、カリウム排泄量が少なくなる。特に腎機能障害のある患者では注意すること。

    アリスキレンフマル酸塩

    腎機能障害、高カリウム血症及び低血圧を起こすおそれがあるため、腎機能、血清カリウム値及び血圧を十分に観察すること。
    なお、eGFRが60mL/min/1.73m2未満の腎機能障害のある患者へのアリスキレンとの併用については、治療上やむを得ないと判断される場合を除き避けること。

    併用によりレニン-アンジオテンシン系阻害作用が増強される可能性がある。

    アンジオテンシンⅡ受容体拮抗剤

    腎機能障害、高カリウム血症及び低血圧を起こすおそれがあるため、腎機能、血清カリウム値及び血圧を十分に観察すること。

    併用によりレニン-アンジオテンシン系阻害作用が増強される可能性がある。

    カリジノゲナーゼ製剤

    本剤との併用により過度の血圧低下が引き起こされる可能性がある。

    カリジノゲナーゼによるキニン産生作用とアンジオテンシン変換酵素阻害剤のキニン分解抑制作用により、キニン系が亢進し、血管平滑筋の弛緩が増強されると考えられる。

    利尿降圧剤

    • チアジド系利尿剤
      • ヒドロクロロチアジド等
    • ループ利尿剤 等

    減塩療法
    血液透析の治療
    ,

    本剤を初めて併用する場合、降圧作用が増強するおそれがあるので、減量するなど慎重に投与すること。

    利尿降圧剤の投与中や減塩療法、血液透析の治療中には血漿レニン活性が上昇しており、本剤の投与により急激な血圧低下をきたす。特に最近利尿降圧剤投与を開始した患者では注意すること。

    リチウム

    他のアンジオテンシン変換酵素阻害剤(カプトプリル、エナラプリル、リシノプリル)との併用により、リチウム中毒が報告されているので、本剤においても血中のリチウム濃度に注意すること。

    リチウムとナトリウムは近位尿細管で競合的に再吸収されており、本剤によるナトリウム排泄作用によりリチウムの再吸収が促進される。

    アロプリノール

    過敏症状(Stevens-Johnson症候群、関節痛等)が発現したとの報告がある。患者の状態を注意深く観察し、発熱を伴う発疹等の過敏症状が発現した場合には直ちに両剤の投与を中止すること。

    機序は不明である。特に腎機能障害のある患者では注意すること。

    非ステロイド性消炎鎮痛剤

    • インドメタシン等

    本剤の降圧作用が減弱することがある。

    非ステロイド性消炎鎮痛剤のプロスタグランジン合成阻害作用により、本剤のプロスタグランジンを介した降圧作用が減弱される。

    非ステロイド性消炎鎮痛剤

    • インドメタシン等

    腎機能が低下している患者では、更に腎機能が悪化するおそれがある。

    プロスタグランジン合成阻害作用により、腎血流量が低下するためと考えられる。

    11. 副作用

    次の副作用があらわれることがあるので、観察を十分に行い、異常が認められた場合には投与を中止するなど適切な処置を行うこと。

    11.1 重大な副作用

    1. 11.1.1 **血管性浮腫(0.1%未満)

      呼吸困難を伴う顔面、舌、声門、喉頭の腫脹を症状とする血管性浮腫があらわれることがある。また、腹痛、嘔気、嘔吐、下痢等を伴う腸管血管性浮腫があらわれることがある。

    2. 11.1.2 無顆粒球症(0.1%未満)、汎血球減少(頻度不明)
    3. 11.1.3 天疱瘡様症状(0.1%未満)
    4. 11.1.4 高カリウム血症(0.1%未満)
    5. 11.1.5 急性腎障害(頻度不明)
    注)発現頻度は使用成績調査を含む。

    11.2 その他の副作用

    0.1~5%未満

    0.1%未満

    頻度不明

    腎臓

    BUN、クレアチニンの上昇、蛋白尿

    血液

    白血球減少、貧血、血小板減少、好酸球増多

    過敏症

    発疹

    そう痒感

    循環器

    起立性低血圧、胸部不快感、動悸

    呼吸器

    咳嗽

    咽喉頭異物感、喀痰増加

    精神神経系

    めまい、ふらつき感

    頭痛、頭重、眠気、浮遊感、四肢しびれ感、口内しびれ感

    消化器

    悪心

    下痢、食欲不振、胃部不快感、胸やけ、口渇、口内炎

    味覚注1)

    味覚異常

    肝臓

    ALTの上昇

    AST、γ-GTP、ALPの上昇

    黄疸

    その他

    全身倦怠感

    浮腫、顔面のほてり、血清カリウム値の上昇、抗核抗体の陽性例

    低血糖注2)

    注)発現頻度は使用成績調査を含む。
    注1)このような場合には、減量又は投与を中止するなど適切な処置を行うこと(通常、味覚異常は可逆的である)。
    注2)

    12. 臨床検査結果に及ぼす影響

    尿中ケトン(アセトン)が偽陽性を呈することがある。

    14. 適用上の注意

    14.1 薬剤交付時の注意

    PTP包装の薬剤はPTPシートから取り出して服用するよう指導すること。PTPシートの誤飲により、硬い鋭角部が食道粘膜へ刺入し、更には穿孔をおこして縦隔洞炎等の重篤な合併症を併発することがある。

    15. その他の注意

    15.1 臨床使用に基づく情報

    インスリン又は経口血糖降下剤の投与中にアンジオテンシン変換酵素阻害剤を投与することにより、低血糖が起こりやすいとの報告がある。

    16. 薬物動態

    16.1 血中濃度

    1. 16.1.1 単回投与
      (健康成人25、50mg(各6例)、空腹時1回経口投与後の血漿中濃度、測定対象:遊離型カプトプリル)3)

      投与量

      Tmax(h)

      Cmax(ng/mL)

      t1/2(h)

      25mg

      0.5~1

      86.1

      1~2

      50mg

      0.5~1

      150

      1~2

      (本態性高血圧症患者7例、非空腹時25mg 1回経口投与後の血漿中濃度)4)

      測定対象

      Tmax(h)

      Cmax(ng/mL)

      t1/2(h)

      遊離型カプトプリル

      3.4±0.2

      71.9±11.0

      2.6±0.6

      総カプトプリル

      3.9±0.4

      305.9±66.2

      7.2±0.9

      平均値±標準誤差

      (健康成人8例、非空腹時100mg 1回経口投与後の血漿中濃度)5)

      測定対象

      Tmax(h)

      Cmax(ng/mL)

      t1/2(h)

      遊離型デアセチルアラセプリル

      2.4±1.4

      23.6±14.0

      3.7

      総デアセチルアラセプリル

      3.9±2.9

      64.3±13.3

      4.9

      平均値±標準偏差

    2. 16.1.2 効果発現時間

      投与後約1時間(本態性高血圧症患者、非空腹時25mg 1回投与)4)

    3. 16.1.3 生物学的同等性試験
    • アラセプリル錠25mg「サワイ」とセタプリル錠25mgを健康成人男子にそれぞれ1錠(アラセプリルとして25mg)空腹時単回経口投与(クロスオーバー法)し、活性代謝物であるカプトプリルの血漿中濃度を測定した。得られた薬物動態パラメータ(AUC、Cmax)について統計解析を行った結果、両剤の生物学的同等性が確認された6)

      各製剤1錠投与時の薬物動態パラメータ

      Cmax
      (ng/mL)

      Tmax
      (hr)

      T1/2
      (hr)

      AUC0-10hr
      (ng・hr/mL)

      アラセプリル錠25mg「サワイ」

      146.6±68.4

      1.0±0.4

      1.8±2.2

      241.7±99.9

      セタプリル錠25mg

      143.8±65.9

      1.0±0.5

      2.0±2.0

      235.9±82.8

      (Mean±S.D.)

      血漿中濃度ならびにAUC、Cmax等のパラメータは、被験者の選択、体液の採取回数・時間等の試験条件によって異なる可能性がある。

    16.2 吸収

    1. 16.2.1 吸収率

      約67%(ラット)7)

    16.3 分布

    1. 16.3.1 血漿蛋白結合率

      約61%(健康成人、空腹時50mg投与1時間後)8)

    16.4 代謝

    1. 16.4.1 主な代謝産物

      カプトプリル(活性あり)、デアセチルアラセプリル(活性あり)9)

    2. 16.4.2 代謝経路

      アラセプリルは体内で脱アセチル化され、デアセチルアラセプリルとなり、次いでフェニルアラニンを遊離し、カプトプリルに至る。デアセチルアラセプリルとカプトプリルは生体内で蛋白質等とジスルフィド結合を行う10),11)

    16.5 排泄

    1. 16.5.1 排泄経路

      主として尿中3)

    2. 16.5.2 排泄率

      投与後24時間までに投与量の60~70%が遊離型カプトプリル及びジスルフィド結合体として尿中排泄される3)(健康成人)。

    16.6 特定の背景を有する患者

    1. 16.6.1 腎機能障害患者

      (血清クレアチニン2.0~8.7mg/dL(平均4.4mg/dL)の腎機能障害患者9例及び健康成人7例、空腹時50mg 1回投与後の血漿中濃度)12),,

      1. (1) 血中濃度

        パラメータ

        遊離型カプトプリル

        総カプトプリル

        腎障害者

        健康成人

        腎障害者

        健康成人

        Tmax(h)

        1.1±0.2

        1.0±0.2

        2.8±0.4

        1.6±0.4

        Cmax(ng/mL)

        239±33

        226±53

        1,433±142

        764±73

        t1/2(h)

        1.6±0.2

        1.5±0.1

        18.3±3.8

        5.0±0.1

        AUC(ng・h/mL)

        763±56

        861±47

        21,006±2,269

        4,056±395

        平均値±標準誤差

      2. (2) 排泄率

        総カプトプリル尿中排泄率(%)(0~24h)

        腎障害者

        健康成人

        34.5±3.4

        59.2±2.8

        平均値±標準誤差

    17. 臨床成績

    17.1 有効性及び安全性に関する試験

    1. 17.1.1 国内臨床試験

      二重盲検比較試験の臨床成績は次のとおりである13),14)

      対象疾患

      試験

      有効率

      本態性高血圧症

      二重盲検

      55%(111/202)

    18. 薬効薬理

    18.1 作用機序

    アラセプリルは、ラットにおけるin vivo試験でACE(キニナーゼⅡ)を阻害することにより昇圧系(レニン・アンジオテンシン・アルドステロン系)を抑制し15)、降圧系(カリクレイン・キニン・プロスタグランジン系)を亢進させ16)、降圧作用を発現する。また、デアセチルアラセプリルは動脈血管壁へ良好に移行し10)、末梢交感神経系を抑制する17),18)ことから、アラセプリルの降圧作用及びその持続性に関与していると考えられる。

    18.2 降圧効果

    本態性高血圧症患者を対象とした臨床薬理試験において、アラセプリルはカプトプリルと同重量投与で同等の降圧効果を示し、かつ、より長い作用持続性を示した19)

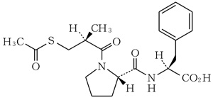
    19. 有効成分に関する理化学的知見

    一般的名称

    アラセプリル(Alacepril)

    化学名

    (2S)-2-{(2S)-1-[(2S)-3-(Acetylsulfanyl)-2-methylpropanoyl]pyrrolidine-2-carbonyl}amino-3-phenylpropanoic acid

    分子式

    C20H26N2O5S

    分子量

    406.50

    性状

    白色の結晶又は結晶性の粉末である。メタノールに溶けやすく、エタノール(95)にやや溶けやすく、水に溶けにくい。水酸化ナトリウム試液に溶ける。

    化学構造式

    融点

    153~157℃

    22. 包装

    PTP:100錠(10錠×10)

    24. 文献請求先及び問い合わせ先

    沢井製薬株式会社 医薬品情報センター

    〒532-0003 大阪市淀川区宮原5丁目2-30

    TEL:0120-381-999 FAX:06-7708-8966

    26. 製造販売業者等

    26.1 製造販売元

    沢井製薬株式会社

    大阪市淀川区宮原5丁目2-30

    〒100-0013 東京都千代田区霞が関3-3-2 新霞が関ビル

    画面を閉じる

    Copyright © Pharmaceuticals and Medical Devices Agency, All Rights reserved.