医療用医薬品 詳細表示

イミダプリル塩酸塩錠2.5mg「サワイ」/イミダプリル塩酸塩錠5mg「サワイ」/イミダプリル塩酸塩錠10mg「サワイ」

処方せん医薬品

添付文書番号
企業コード
作成又は改訂年月
日本標準商品分類番号
薬効分類名
承認等
一般的名称
2.禁忌(次の患者には投与しないこと)
3.組成・性状
3.1組成
3.2製剤の性状
4.効能又は効果
6.用法及び用量
8.重要な基本的注意
9.特定の背景を有する患者に関する注意
9.1合併症・既往歴等のある患者
9.2腎機能障害患者
9.4生殖能を有する者
9.5妊婦
9.6授乳婦
9.7小児等
9.8高齢者
10.相互作用
10.1併用禁忌(併用しないこと)
10.2併用注意(併用に注意すること)
11.副作用
11.1重大な副作用
11.2その他の副作用
14.適用上の注意
15.その他の注意
15.1臨床使用に基づく情報
16.薬物動態
16.1血中濃度
16.3分布
16.4代謝
16.5排泄
16.6特定の背景を有する患者
17.臨床成績
17.1有効性及び安全性に関する試験
18.薬効薬理
18.1作用機序
18.4糖尿病性腎症改善作用
19.有効成分に関する理化学的知見
20.取扱い上の注意
22.包装
23.主要文献
24.文献請求先及び問い合わせ先
26.製造販売業者等

イミダプリル塩酸塩錠2.5mg「サワイ」/イミダプリル塩酸塩錠5mg「サワイ」/イミダプリル塩酸塩錠10mg「サワイ」

添付文書番号

2144008F1145_1_13

企業コード

300119

作成又は改訂年月

2025年9月改訂(第2版)
2024年2月改訂(第1版)

日本標準商品分類番号

872144

薬効分類名

アンジオテンシン変換選択性阻害剤

承認等

イミダプリル塩酸塩錠2.5mg「サワイ」

販売名コード

YJコード

2144008F1145

販売名英語表記

IMIDAPRIL HYDROCHLORIDE Tablets [SAWAI]

販売名ひらがな

いみだぷりるえんさんえんじょう

承認番号等

承認番号

22000AMX01724000

販売開始年月

2008年11月

貯法・有効期間

貯法

室温保存

有効期間

3年

基準名

日本薬局方

イミダプリル塩酸塩錠

イミダプリル塩酸塩錠5mg「サワイ」

販売名コード

YJコード

2144008F2141

販売名英語表記

IMIDAPRIL HYDROCHLORIDE Tablets [SAWAI]

販売名ひらがな

いみだぷりるえんさんえんじょう

承認番号等

承認番号

22000AMX01725000

販売開始年月

2008年11月

貯法・有効期間

貯法

室温保存

有効期間

3年

基準名

日本薬局方

イミダプリル塩酸塩錠

イミダプリル塩酸塩錠10mg「サワイ」

販売名コード

YJコード

2144008F3148

販売名英語表記

IMIDAPRIL HYDROCHLORIDE Tablets [SAWAI]

販売名ひらがな

いみだぷりるえんさんえんじょう

承認番号等

承認番号

22000AMX01726000

販売開始年月

2008年11月

貯法・有効期間

貯法

室温保存

有効期間

3年

基準名

日本薬局方

イミダプリル塩酸塩錠

一般的名称

イミダプリル塩酸塩

2. 禁忌(次の患者には投与しないこと)

  1. 2.1 本剤の成分に対し、過敏症の既往歴のある患者
  2. 2.2 *血管性浮腫の既往歴のある患者(アンジオテンシン変換酵素阻害剤等の薬剤による血管性浮腫、遺伝性血管性浮腫、後天性血管性浮腫、特発性血管性浮腫等)[呼吸困難を伴う血管性浮腫を発現することがある。]
  3. 2.3 デキストラン硫酸固定化セルロース、トリプトファン固定化ポリビニルアルコール又はポリエチレンテレフタレートを用いた吸着器によるアフェレーシスを施行中の患者
  4. 2.4 アクリロニトリルメタリルスルホン酸ナトリウム膜(AN69®)を用いた血液透析施行中の患者
  5. 2.5 妊婦又は妊娠している可能性のある女性
  6. 2.6 アリスキレンフマル酸塩を投与中の糖尿病患者(ただし、他の降圧治療を行ってもなお血圧のコントロールが著しく不良の患者を除く)
  7. 2.7 サクビトリルバルサルタンナトリウム水和物を投与中の患者、又は投与中止から36時間以内の患者

3. 組成・性状

3.1 組成

イミダプリル塩酸塩錠2.5mg「サワイ」

1錠中
有効成分日局イミダプリル塩酸塩   2.5mg
添加剤ステアリン酸Mg、乳糖、ポリビニルアルコール(部分けん化物)

イミダプリル塩酸塩錠5mg「サワイ」

1錠中
有効成分日局イミダプリル塩酸塩   5mg
添加剤ステアリン酸Mg、乳糖、ポリビニルアルコール(部分けん化物)

イミダプリル塩酸塩錠10mg「サワイ」

1錠中
有効成分日局イミダプリル塩酸塩   10mg
添加剤ステアリン酸Mg、乳糖、ポリビニルアルコール(部分けん化物)

3.2 製剤の性状

イミダプリル塩酸塩錠2.5mg「サワイ」

剤形素錠
外形

大きさ直径5.5mm
厚さ2.5mm
質量約60mg
識別コードSW 570
性状白色

イミダプリル塩酸塩錠5mg「サワイ」

剤形割線入り素錠
外形

大きさ直径6.0mm
厚さ2.7mm
質量約80mg
識別コードSW 571
性状白色

イミダプリル塩酸塩錠10mg「サワイ」

剤形割線入り素錠
外形

大きさ直径6.5mm
厚さ2.8mm
質量約90mg
識別コードSW 572
性状白色

4. 効能又は効果

  • 〈錠2.5mg、錠5mg、錠10mg〉
    • 高血圧症
    • 腎実質性高血圧症
  • 〈錠2.5mg、錠5mg〉
    • 1型糖尿病に伴う糖尿病性腎症

6. 用法及び用量

  • 〈高血圧症、腎実質性高血圧症〉

    通常、成人にはイミダプリル塩酸塩として5~10mgを1日1回経口投与する。なお、年齢、症状により適宜増減する。ただし、重症高血圧症、腎障害を伴う高血圧症又は腎実質性高血圧症の患者では2.5mgから投与を開始することが望ましい。

  • 〈1型糖尿病に伴う糖尿病性腎症〉

    通常、成人にはイミダプリル塩酸塩として5mgを1日1回経口投与する。ただし、重篤な腎障害を伴う患者では2.5mgから投与を開始することが望ましい。

8. 重要な基本的注意

  • 〈効能共通〉
    1. 8.1 降圧作用に基づくめまい、ふらつきがあらわれることがあるので、高所作業、自動車の運転等危険を伴う機械を操作する際には注意させること。
    2. 8.2 手術前24時間は投与しないことが望ましい。
  • 〈1型糖尿病に伴う糖尿病性腎症〉
    1. 8.3 投与初期(1ヵ月以内)に急速に腎機能の悪化や高カリウム血症が発現するおそれがあるので、投与初期は血清クレアチニン値及び血清カリウム値を測定し、急速な腎機能の悪化や血清カリウム値の上昇が認められた場合には減量あるいは投与中止などの適切な処置を行うこと。

9. 特定の背景を有する患者に関する注意

9.1 合併症・既往歴等のある患者

  1. 9.1.1 両側性腎動脈狭窄のある患者又は片腎で腎動脈狭窄のある患者

    治療上やむを得ないと判断される場合を除き、使用は避けること。腎血流量の減少や糸球体ろ過圧の低下により急速に腎機能を悪化させるおそれがある。

  2. 9.1.2 高カリウム血症の患者

    治療上やむを得ないと判断される場合を除き、使用は避けること。高カリウム血症を増悪させるおそれがある。
    また、腎機能障害、コントロール不良の糖尿病等により血清カリウム値が高くなりやすい患者では、血清カリウム値に注意すること。

  3. 9.1.3 脳血管障害のある患者

    過度の降圧が脳血流不全を惹起し、病態を悪化させることがある。

  4. 9.1.4 重症の高血圧症患者

    投与は少量より開始し、増量する場合は患者の状態を十分に観察しながら徐々に行うこと。初回投与後一過性の急激な血圧低下を起こす場合がある。

  5. 9.1.5 厳重な減塩療法中の患者

    投与は少量より開始し、増量する場合は患者の状態を十分に観察しながら徐々に行うこと。初回投与後一過性の急激な血圧低下を起こす場合がある。

9.2 腎機能障害患者

  1. 9.2.1 重篤な腎機能障害患者(クレアチニンクリアランスが30mL/分以下、又は血清クレアチニンが3mg/dL以上)

    投与量を半量にするか、若しくは投与間隔をのばすなど慎重に投与すること。排泄の遅延による過度の血圧低下及び腎機能を悪化させるおそれがある。,

  2. 9.2.2 血液透析中の患者

    投与は少量より開始し、増量する場合は患者の状態を十分に観察しながら徐々に行うこと。初回投与後一過性の急激な血圧低下を起こす場合がある。

9.4 生殖能を有する者

  1. 9.4.1 妊娠する可能性のある女性

    妊娠していることが把握されずアンジオテンシン変換酵素阻害剤又はアンジオテンシンⅡ受容体拮抗剤を使用し、胎児・新生児への影響(腎不全、頭蓋・肺・腎の形成不全、死亡等)が認められた例が報告されている1),2)
    本剤の投与に先立ち、代替薬の有無等も考慮して本剤投与の必要性を慎重に検討し、治療上の有益性が危険性を上回ると判断される場合にのみ投与すること。また、投与が必要な場合には次の注意事項に留意すること。

    1. (1) 本剤投与開始前に妊娠していないことを確認すること。本剤投与中も、妊娠していないことを定期的に確認すること。投与中に妊娠が判明した場合には、直ちに投与を中止すること。
    2. (2) 次の事項について、本剤投与開始時に患者に説明すること。また、投与中も必要に応じ説明すること。
      • 妊娠中に本剤を使用した場合、胎児・新生児に影響を及ぼすリスクがあること。
      • 妊娠が判明した又は疑われる場合は、速やかに担当医に相談すること。
      • 妊娠を計画する場合は、担当医に相談すること。

9.5 妊婦

妊婦又は妊娠している可能性のある女性には投与しないこと。また、投与中に妊娠が判明した場合には、直ちに投与を中止すること。妊娠中期及び後期にアンジオテンシン変換酵素阻害剤又はアンジオテンシンⅡ受容体拮抗剤を投与された患者で羊水過少症、胎児・新生児の死亡、新生児の低血圧、腎不全、高カリウム血症、頭蓋の形成不全及び羊水過少症によると推測される四肢の拘縮、頭蓋顔面の変形、肺の低形成等があらわれたとの報告がある。また、海外で実施されたレトロスペクティブな疫学調査で、妊娠初期にアンジオテンシン変換酵素阻害剤を投与された患者群において、胎児奇形の相対リスクは降圧剤が投与されていない患者群に比べ高かったとの報告がある。,

9.6 授乳婦

治療上の有益性及び母乳栄養の有益性を考慮し、授乳の継続または中止を検討すること。動物実験(ラット)で乳汁中へ移行することが認められている。

9.7 小児等

小児等を対象とした臨床試験は実施していない。

9.8 高齢者

低用量(例えば2.5mg)から投与を開始するなど、患者の状態を観察しながら慎重に投与すること。本剤は主として腎臓から排泄されるが、一般に高齢者では腎機能が低下していることが多いため高い血中濃度が持続するおそれがあり、副作用が発現又は作用が増強しやすい。
高齢者では一般に過度の降圧は好ましくないとされている。脳梗塞等が起こるおそれがある。

10. 相互作用

    10.1 併用禁忌(併用しないこと)

    薬剤名等臨床症状・措置方法機序・危険因子

    デキストラン硫酸固定化セルロース、トリプトファン固定化ポリビニルアルコール又はポリエチレンテレフタレートを用いた吸着器によるアフェレーシスの施行

    • リポソーバー®
    • イムソーバTR®
    • セルソーバ®

    ショックを起こすことがある。

    陰性に荷電したデキストラン硫酸固定化セルロース、トリプトファン固定化ポリビニルアルコール又はポリエチレンテレフタレートにより血中キニン系の産生が亢進し、さらに本剤によりブラジキニンの代謝が妨げられて、ブラジキニンが蓄積すると考えられる。

    アクリロニトリルメタリルスルホン酸ナトリウム膜を用いた透析(AN69®

    アナフィラキシーを発現することがある。

    多価イオン体であるAN69®により血中キニン系の産生が亢進し、さらに本剤によりブラジキニンの代謝が妨げられて、ブラジキニンが蓄積すると考えられる。

    アリスキレンフマル酸塩(ラジレス)
    (糖尿病患者に使用する場合。ただし、他の降圧治療を行ってもなお血圧のコントロールが著しく不良の患者を除く)

    非致死性脳卒中、腎機能障害、高カリウム血症及び低血圧のリスク増加が報告されている。

    併用によりレニン・アンジオテンシン系阻害作用が増強される可能性がある。

    サクビトリルバルサルタンナトリウム水和物(エンレスト)

    *血管性浮腫があらわれるおそれがある。
    左記薬剤を投与する場合は、本剤を少なくとも36時間前に中止すること。
    また、左記薬剤の投与終了後に本剤を投与する場合は、36時間以上の間隔をあけること。

    *併用により相加的にブラジキニンの分解を抑制し、血管性浮腫のリスクを増加させる可能性がある。

    10.2 併用注意(併用に注意すること)

    薬剤名等臨床症状・措置方法機序・危険因子

    カリウム保持性利尿剤

    • スピロノラクトン
    • トリアムテレン等

    カリウム補給剤

    • 塩化カリウム等

    血清カリウム値が上昇することがある。
    併用する場合は血清カリウム値に注意すること。

    本剤はアンジオテンシンⅡ産生を抑制し、アルドステロンの分泌を低下させるため、カリウム排泄を減少させると考えられる。
    腎機能障害のある患者には特に注意する。

    アリスキレンフマル酸塩

    腎機能障害、高カリウム血症及び低血圧を起こすおそれがあるため、腎機能、血清カリウム値及び血圧を十分に観察すること。
    なお、eGFRが60mL/min/1.73m2未満の腎機能障害のある患者へのアリスキレンフマル酸塩との併用については、治療上やむを得ないと判断される場合を除き避けること。

    併用によりレニン・アンジオテンシン系阻害作用が増強される可能性がある。

    アンジオテンシンⅡ受容体拮抗剤

    腎機能障害、高カリウム血症及び低血圧を起こすおそれがあるため、腎機能、血清カリウム値及び血圧を十分に観察すること。

    併用によりレニン・アンジオテンシン系阻害作用が増強される可能性がある。

    利尿降圧剤

    • トリクロルメチアジド
    • ヒドロクロロチアジド等

    利尿降圧剤で治療中の患者(特に最近利尿降圧剤投与を開始した患者)に本剤を初めて投与する場合、降圧作用が増強するおそれがあるので少量より投与するなど慎重に投与すること。

    利尿剤の投与は血漿レニン活性を上昇させているため、本剤の投与により急激な血圧低下を起こすと考えられる。

    リチウム製剤

    • 炭酸リチウム

    リチウム中毒(眠気、振戦、錯乱等)を起こすことがある。
    定期的にリチウムの血中濃度を測定し、異常があれば減量もしくは投与中止する。

    腎尿細管におけるリチウムの再吸収を促進すると考えられる。

    非ステロイド性抗炎症剤

    • インドメタシン等

    定期的に血圧を観察し、適切な処置をとる。

    非ステロイド性抗炎症剤のプロスタグランジン合成阻害作用により、本剤の降圧作用を減弱させると考えられる。

    非ステロイド性抗炎症剤

    • インドメタシン等

    腎機能を悪化させるおそれがある。異常が認められた場合には、投与を中止するなど適切な処置を行うこと。

    非ステロイド性抗炎症剤のプロスタグランジン合成阻害作用により、腎血流量が低下するためと考えられる。

    カリジノゲナーゼ製剤

    過度の血圧低下が引き起こされる可能性がある。

    本剤のキニン分解抑制作用とカリジノゲナーゼ製剤のキニン産生作用により、血管平滑筋の弛緩が増強すると考えられる。

    他の降圧作用を有する薬剤

    • 降圧剤
    • 硝酸剤等

    定期的に血圧を測定し、両剤の用量を調節する。

    相加的に作用(降圧作用)を増強させると考えられる。

    11. 副作用

    次の副作用があらわれることがあるので、観察を十分に行い、異常が認められた場合には投与を中止するなど適切な処置を行うこと。

    11.1 重大な副作用

    1. 11.1.1 *血管性浮腫(頻度不明)

      呼吸困難を伴う顔面、舌、声門、喉頭の腫脹を症状とする血管性浮腫があらわれることがあるので、異常が認められた場合には直ちに投与を中止し、抗ヒスタミン剤、副腎皮質ホルモン剤の投与及び気道確保等の適切な処置を行うこと。また、腹痛、嘔気、嘔吐、下痢等を伴う腸管血管性浮腫があらわれることがある。

    2. 11.1.2 血小板減少(0.1%未満)、汎血球減少(頻度不明)
    3. 11.1.3 急性腎障害(頻度不明)、腎機能障害の増悪(0.1%未満)

      ,

    4. 11.1.4 高カリウム血症(0.1%未満)

    5. 11.1.5 紅皮症(剥脱性皮膚炎)、皮膚粘膜眼症候群(Stevens-Johnson症候群)、天疱瘡様症状(いずれも頻度不明)

      紅斑、水疱、そう痒、発熱、粘膜疹等があらわれた場合には投与を中止すること。

    6. 11.1.6 膵炎(頻度不明)

      血中のアミラーゼ、リパーゼの上昇等が認められた場合には、投与を中止するなど適切な処置を行うこと。

    11.2 その他の副作用

    0.1~5%未満

    頻度不明

    血液

    赤血球、ヘモグロビン、ヘマトクリット、血小板、白血球の減少、好酸球増多

    腎臓

    血清クレアチニン、BUNの上昇、蛋白尿

    精神神経系

    頭痛、ふらつき、めまい、立ちくらみ、不眠

    眠気

    循環器

    動悸

    低血圧

    呼吸器

    咳、咽頭部異和感・不快感、痰

    嗄声

    消化器

    悪心、嘔吐、胃部不快感、腹痛、下痢

    嘔気、食欲不振

    肝臓

    AST、ALT、ALP、LDHの上昇

    γ-GTPの上昇、黄疸

    過敏症

    発疹、そう痒

    光線過敏症、蕁麻疹

    その他

    血清カリウムの上昇、口渇、CKの上昇、倦怠感、顔面潮紅

    脱毛、しびれ、脱力感、低血糖、耳鳴、味覚異常、胸部不快感、疲労、浮腫

    14. 適用上の注意

    14.1 薬剤交付時の注意

    PTP包装の薬剤はPTPシートから取り出して服用するよう指導すること。PTPシートの誤飲により、硬い鋭角部が食道粘膜へ刺入し、更には穿孔をおこして縦隔洞炎等の重篤な合併症を併発することがある。

    15. その他の注意

    15.1 臨床使用に基づく情報

    インスリン又は経口血糖降下剤の投与中にアンジオテンシン変換酵素阻害剤を投与することにより、低血糖が起こりやすいとの報告がある。

    16. 薬物動態

    16.1 血中濃度

    1. 16.1.1 単回投与

      健康成人にイミダプリル塩酸塩10mgを単回経口投与した場合、イミダプリルは投与2時間前後に最高血漿中濃度(Cmax)に達し、以後約2時間の半減期(t1/2)で減少した。一方、活性代謝物であるイミダプリラートの血漿中濃度は投与後6~8時間にCmax(約15ng/mL)に達した後、t1/2約8時間で緩徐に血漿中より消失した3)

    2. 16.1.2 反復投与

      健康成人にイミダプリル塩酸塩10mgを1日1回、7日間反復経口投与した時のイミダプリラートの血漿中濃度は投与3~5日目で定常状態に達した4)

      薬物動態パラメータ

      イミダプリル

      イミダプリラート

      初回投与

      反復投与

      初回投与

      反復投与

      Cmax(ng/mL)

      28.9

      27.1

      7.8

      20.3

      tmax(h)

      2.0

      2.3

      9.3

      7.0

      t1/2(h)

      1.7

      1.6

      14.8

      7.6

      AUC0-24h(ng・h/mL)

      113.3

      113.6

      107.8

      246.6

      (平均値、n=6)

    3. 16.1.3 生物学的同等性試験
      • 〈イミダプリル塩酸塩錠2.5mg「サワイ」〉

        イミダプリル塩酸塩錠2.5mg「サワイ」とタナトリル錠2.5を健康成人男子にそれぞれ1錠(イミダプリル塩酸塩として2.5mg)空腹時単回経口投与(クロスオーバー法)し、血漿中イミダプリル濃度を測定した。得られた薬物動態パラメータ(AUC、Cmax)について統計解析を行った結果、両剤の生物学的同等性が確認された5)

        各製剤1錠投与時の薬物動態パラメータ

        Cmax
        (ng/mL)

        Tmax
        (hr)

        T1/2
        (hr)

        AUC0-12hr
        (ng・hr/mL)

        イミダプリル塩酸塩錠2.5mg「サワイ」

        6.72±2.91

        2.2±0.6

        1.5±0.3

        32.02±12.52

        タナトリル錠2.5

        6.43±2.49

        2.4±0.7

        1.5±0.2

        30.94±11.54

        (Mean±S.D.)

      • 〈イミダプリル塩酸塩錠5mg「サワイ」〉

        イミダプリル塩酸塩錠5mg「サワイ」とタナトリル錠5を健康成人男子にそれぞれ1錠(イミダプリル塩酸塩として5mg)空腹時単回経口投与(クロスオーバー法)し、血漿中イミダプリル濃度を測定した。得られた薬物動態パラメータ(AUC、Cmax)について統計解析を行った結果、両剤の生物学的同等性が確認された5)

        各製剤1錠投与時の薬物動態パラメータ

        Cmax
        (ng/mL)

        Tmax
        (hr)

        T1/2
        (hr)

        AUC0-12hr
        (ng・hr/mL)

        イミダプリル塩酸塩錠5mg「サワイ」

        14.22±5.96

        2.4±0.5

        1.5±0.3

        66.58±24.04

        タナトリル錠5

        13.94±6.83

        2.4±0.6

        1.6±0.6

        67.10±27.62

        (Mean±S.D.)

      • 〈イミダプリル塩酸塩錠10mg「サワイ」〉

        イミダプリル塩酸塩錠10mg「サワイ」とタナトリル錠10を健康成人男子にそれぞれ1錠(イミダプリル塩酸塩として10mg)空腹時単回経口投与(クロスオーバー法)し、血漿中イミダプリル濃度を測定した。得られた薬物動態パラメータ(AUC、Cmax)について統計解析を行った結果、両剤の生物学的同等性が確認された5)

        各製剤1錠投与時の薬物動態パラメータ

        Cmax
        (ng/mL)

        Tmax
        (hr)

        T1/2
        (hr)

        AUC0-12hr
        (ng・hr/mL)

        イミダプリル塩酸塩錠10mg「サワイ」

        33.05±18.07

        2.1±0.5

        1.6±0.3

        144.68±70.89

        タナトリル錠10

        30.70±15.65

        2.4±0.9

        1.5±0.2

        136.16±56.18

        (Mean±S.D.)

        血漿中濃度ならびにAUC、Cmax等のパラメータは、被験者の選択、体液の採取回数・時間等の試験条件によって異なる可能性がある。

    16.3 分布

    1. 16.3.1 組織移行

      ラットに14C-イミダプリルを経口投与した場合、投与30分~1時間後の時点では消化管内容を除いて腎臓、肺に高濃度で分布し、次いで肝臓で高かった。他の臓器はいずれも血漿中濃度より低かった。動脈壁の濃度は投与2時間後まで血漿中濃度の約1/2であったが、6時間後以降は逆に2~4倍高くなった。投与24時間後における各組織の放射能濃度は検出限界近くまで減少したが、特に肺では血漿中濃度の約80倍の濃度を示した6)

    2. 16.3.2 蛋白結合率

      ヒトにおけるイミダプリル及びイミダプリラートの血漿蛋白結合率は、それぞれ、85%、51%(限外ろ過法)であった7)(in vitro)。

    16.4 代謝

    イミダプリル塩酸塩は、ヒトにおいて未変化体のほかに4種の代謝物が生成されるが、これらの代謝物の中で活性を有する代謝物はジアシド体(イミダプリラート)のみである8)

    16.5 排泄

    健康成人にイミダプリル塩酸塩10mgを単回経口投与した場合、投与後24時間までの尿中総排泄率は投与量の25.5%である9)

    16.6 特定の背景を有する患者

    1. 16.6.1 腎機能障害患者

      高度腎障害を伴う高血圧症患者3例(血清クレアチニン:3.3、2.9、1.9mg/dL)にイミダプリル塩酸塩5mgを1日1回反復経口投与した時の血漿中イミダプリラート濃度推移は、腎障害を伴わない高血圧症患者13例に10mgを投与した成績と比較すると、最高血漿中濃度到達時間(tmax)の延長(約11時間)ならびにt1/2の延長(約18時間)が認められた。腎障害患者のCmax(約18ng/mL)は腎障害を伴わない患者の値(約11ng/mL)に比べ高かった10),11),

    17. 臨床成績

    17.1 有効性及び安全性に関する試験

    国内で実施された二重盲検比較試験を含む臨床試験の概要は次のとおりである。

    • 〈本態性高血圧症(軽・中等症)〉
      1. 17.1.1 国内第Ⅲ相比較試験

        イミダプリル塩酸塩5mg錠又は10mg錠を1日1回12週間経口投与した二重盲検比較試験における有効率は、71.3%(77例/108例)であった。
        副作用発現頻度は5.6%(6例/108例)であった。主な副作用は動悸1.9%(2例/108例)であった12)

    • 〈重症高血圧症〉
      1. 17.1.2 国内後期第Ⅱ相試験

        重症高血圧症を対象とした一般臨床試験の有効率は100%(24例/24例)であった13)

    • 〈腎実質性高血圧症〉
      1. 17.1.3 国内後期第Ⅱ相試験

        イミダプリル塩酸塩2.5~20mgを1日1回(外来4~8週間、入院2~4週間)経口投与した時の有効率は78.8%(26例/33例)であった。
        副作用発現頻度は5.9%(2例/34例)であった。副作用の内訳は咽頭不快感、口渇感いずれも2.9%(1例/34例)であった14)

    • 〈1型糖尿病に伴う糖尿病性腎症〉
      1. 17.1.4 国内第Ⅲ相比較試験

        イミダプリル塩酸塩5mgを1日1回3年間経口投与した、二重盲検比較試験における尿中アルブミン排泄量の変化量はプラセボ群が72%増加したのに対し、イミダプリル塩酸塩投与群では41%減少し、両群間で有意な差が認められた(p<0.001)。
        副作用発現頻度は8%(2例/26例)であった。副作用の内訳は握力低下、不眠いずれも4%(1例/26例)であった15)

    18. 薬効薬理

    18.1 作用機序

    イミダプリル塩酸塩は経口投与後、加水分解により活性代謝物であるジアシド体(イミダプリラート)に変換される。イミダプリラートが血中・組織中のACE活性を阻害し、昇圧物質であるアンジオテンシンⅡの生成を抑制することによって降圧作用を発現する16)

    18.2 アンジオテンシン変換酵素阻害作用

    1. 18.2.1 イミダプリル塩酸塩の活性代謝物であるイミダプリラートは、ブタ腎皮質及びヒト血清から調製したACEの活性をin vitroで拮抗的かつ濃度依存的に阻害する17)
    2. 18.2.2 イミダプリル塩酸塩及びイミダプリラートをラットに経口投与すると、アンジオテンシンⅠにより誘発される昇圧反応は用量依存的に抑制される18)

    18.3 降圧作用

    1. 18.3.1 自然発症高血圧ラット(SHR)及び2腎性高血圧ラットにイミダプリル塩酸塩を経口投与すると用量依存的な降圧作用が認められるが、正常血圧ラットに対する降圧作用は極めて軽度で、DOCA/食塩高血圧ラットでは十分な降圧を認めなかった18)
    2. 18.3.2 SHRにおいてイミダプリル塩酸塩の2週間連続経口投与は心拍数に影響を与えず、持続的な降圧作用を示す18)
    3. 18.3.3 本態性高血圧症患者において、イミダプリル塩酸塩を通常用量にて1日1回反復投与した時、24時間にわたって安定した降圧作用が持続し、血圧日内変動幅及び日内較差には影響が認められていない19)

    18.4 糖尿病性腎症改善作用

    1. 18.4.1 イミダプリル塩酸塩はストレプトゾシン(STZ)誘発糖尿病マウスに28日間連続経口投与することにより、腎ACE活性阻害作用、尿中アルブミン排泄量の増加抑制作用及び収縮期血圧低下作用を示す20)
    2. 18.4.2 麻酔下、STZ誘発糖尿病ラットにおいて、イミダプリル塩酸塩の活性代謝物であるイミダプリラートは静脈内投与により、糸球体ろ過圧、輸入ならびに輸出細動脈血管抵抗を有意に低下させる21)

    18.5 その他の作用

    1. 18.5.1 イヌにイミダプリル塩酸塩又はイミダプリラートを十二指腸内投与又は静脈内投与すると、腎血流量及び糸球体ろ過値は有意に増加される22)
    2. 18.5.2 昇圧進展期のSHRにイミダプリル塩酸塩を9~10週間連続経口投与した時、昇圧進展の抑制及び高血圧性心肥大の抑制作用が認められている23)

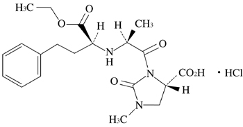
    19. 有効成分に関する理化学的知見

    一般的名称

    イミダプリル塩酸塩(Imidapril Hydrochloride)

    化学名

    (4S)-3-{(2S)-2-[(1S)-1-Ethoxycarbonyl-3-phenylpropylamino]propanoyl}-1-methyl-2-oxoimidazolidine-4-carboxylic acid monohydrochloride

    分子式

    C20H27N3O6・HCl

    分子量

    441.91

    性状

    白色の結晶である。メタノールに溶けやすく、水にやや溶けやすく、エタノール(99.5)にやや溶けにくい。1.0gを水100mLに溶かした液のpHは約2である。

    化学構造式

    融点

    約203℃(分解)

    20. 取扱い上の注意

    アルミピロー開封後は湿気を避けて保存すること。

    22. 包装

    • 〈イミダプリル塩酸塩錠2.5mg「サワイ」〉

      PTP[乾燥剤入り]:100錠(10錠×10)

    • 〈イミダプリル塩酸塩錠5mg「サワイ」〉

      PTP[乾燥剤入り]:100錠(10錠×10)、500錠(10錠×50)

    • 〈イミダプリル塩酸塩錠10mg「サワイ」〉

      PTP[乾燥剤入り]:100錠(10錠×10)

    23. 主要文献

    1) 阿部真也他:周産期医学, 2017;47:1353-1355

    2) 齊藤大祐他:鹿児島産科婦人科学会雑誌, 2021;29:49-54

    3) 弘田雄三他:臨床医薬, 1992;8(3):507-522

    4) 弘田雄三他:基礎と臨床, 1992;26(4):1457-1468

    5) 陶易王他:医学と薬学, 2008;60(3):477-491

    6) Yamada, Y. et al.:Arzneimittelforschung, 1992;42(4):466-474

    7) Yamada, Y. et al.:Arzneimittelforschung, 1992;42(4):457-465

    8) Matsuoka, M. et al.:J. Chromatogr., 1992;581:65-73

    9) 第十八改正日本薬局方解説書, 廣川書店, 2021;C-665-669

    10) 鈴木伸他:臨牀と研究, 1992;69(2):636-648

    11) 石井當男他:臨床医薬, 1992;8(2):299-313

    12) 猿田享男他:臨床医薬, 1992;8(3):661-697

    13) 猿田享男他:基礎と臨床, 1991;25(15):4809-4825

    14) 猿田享男他:基礎と臨床, 1992;26(1):363-383

    15) 国内第Ⅲ相比較試験(タナトリル錠:2002年1月17日承認、申請資料概要ト.I)

    16) 作用機序(タナトリル錠:2002年1月17日承認、申請資料概要ホ.)

    17) 菅谷健他:日薬理誌, 1992;100(1):39-45

    18) Kubo, M. et al.:Jpn. J. Pharmacol., 1990;53(2):201-210

    19) 猿田享男他:臨床医薬, 1991;7(10):2205-2219

    20) Katoh, M. et al.:Eur. J. Pharmacol., 2000;398(3):381-387

    21) 糖尿病性腎症改善作用(タナトリル錠:2002年1月17日承認、申請資料概要ホ.I.1(2))

    22) Nishiyama, S. et al.:Arzneimittelforschung, 1992;42(4):451-456

    23) Kubo, M. et al.:Jpn. J. Pharmacol., 1991;57(4):517-526

    24. 文献請求先及び問い合わせ先

    沢井製薬株式会社 医薬品情報センター

    〒532-0003 大阪市淀川区宮原5丁目2-30

    TEL:0120-381-999 FAX:06-7708-8966

    26. 製造販売業者等

    26.1 製造販売元

    沢井製薬株式会社

    大阪市淀川区宮原5丁目2-30

    〒100-0013 東京都千代田区霞が関3-3-2 新霞が関ビル

    画面を閉じる

    Copyright © Pharmaceuticals and Medical Devices Agency, All Rights reserved.