医療用医薬品 詳細表示

アムバロ配合錠「サワイ」

処方せん医薬品

添付文書番号
企業コード
作成又は改訂年月
日本標準商品分類番号
薬効分類名
承認等
一般的名称
2.禁忌(次の患者には投与しないこと)
3.組成・性状
3.1組成
3.2製剤の性状
4.効能又は効果
5.効能又は効果に関連する注意
6.用法及び用量
7.用法及び用量に関連する注意
8.重要な基本的注意
9.特定の背景を有する患者に関する注意
9.1合併症・既往歴等のある患者
9.2腎機能障害患者
9.3肝機能障害患者
9.4生殖能を有する者
9.5妊婦
9.6授乳婦
9.7小児等
9.8高齢者
10.相互作用
10.1併用禁忌(併用しないこと)
10.2併用注意(併用に注意すること)
11.副作用
11.1重大な副作用
11.2その他の副作用
13.過量投与
14.適用上の注意
15.その他の注意
15.1臨床使用に基づく情報
16.薬物動態
16.1血中濃度
16.2吸収
16.3分布
16.4代謝
16.5排泄
16.7薬物相互作用
17.臨床成績
17.1有効性及び安全性に関する試験
18.薬効薬理
18.1作用機序
18.2降圧作用
19.有効成分に関する理化学的知見
22.包装
23.主要文献
24.文献請求先及び問い合わせ先
26.製造販売業者等

アムバロ配合錠「サワイ」

添付文書番号

2149114F1170_1_09

企業コード

300119

作成又は改訂年月

**2025年9月改訂(第3版)
2023年5月改訂(第2版)

日本標準商品分類番号

872149

薬効分類名

選択的AT1受容体ブロッカー/持続性Ca拮抗薬合剤

承認等

アムバロ配合錠「サワイ」

販売名コード

YJコード

2149114F1170

販売名英語表記

AMVALO Combination Tablets [SAWAI]

販売名ひらがな

あむばろはいごうじょう

承認番号等

承認番号

22700AMX00762000

販売開始年月

2015年12月

貯法・有効期間

貯法

室温保存

有効期間

3年

一般的名称

バルサルタン
アムロジピンベシル酸塩

2. 禁忌(次の患者には投与しないこと)

  1. 2.1 本剤の成分に対し過敏症の既往歴のある患者
  2. 2.2 ジヒドロピリジン系化合物に対し過敏症の既往歴のある患者
  3. 2.3 妊婦又は妊娠している可能性のある女性
  4. 2.4 アリスキレンフマル酸塩を投与中の糖尿病患者(ただし、他の降圧治療を行ってもなお血圧のコントロールが著しく不良の患者を除く)

3. 組成・性状

3.1 組成

アムバロ配合錠「サワイ」

1錠中
有効成分日局バルサルタン   80mg
日局アムロジピンベシル酸塩   6.93mg
(アムロジピンとして   5mg )
添加剤カルナウバロウ、軽質無水ケイ酸、酸化チタン、三二酸化鉄、ステアリン酸Mg、タルク、ヒドロキシプロピルセルロース、ヒプロメロース

3.2 製剤の性状

アムバロ配合錠「サワイ」

剤形フィルムコーティング錠
外形

大きさ直径8.1mm
厚さ3.9mm
質量約187mg
識別コードSW アムバロ
性状帯黄白色

4. 効能又は効果

高血圧症

5. 効能又は効果に関連する注意

  1. 5.1 過度な血圧低下のおそれ等があり、本剤を高血圧治療の第一選択薬としないこと。
  2. 5.2 原則として、バルサルタン80mg及びアムロジピン5mgを併用している場合、あるいはいずれか一方を使用し血圧コントロールが不十分な場合に、本剤への切り替えを検討すること。

6. 用法及び用量

成人には1日1回1錠(バルサルタンとして80mg及びアムロジピンとして5mg)を経口投与する。本剤は高血圧治療の第一選択薬として用いない。

7. 用法及び用量に関連する注意

以下のバルサルタンとアムロジピンベシル酸塩の用法・用量を踏まえ、患者毎に本剤の適応を考慮すること。

  • バルサルタン

    通常、成人にはバルサルタンとして40~80mgを1日1回経口投与する。
    なお、年齢、症状に応じて適宜増減するが、1日160mgまで増量できる。

  • アムロジピンベシル酸塩

    〈高血圧症〉
    通常、成人にはアムロジピンとして2.5~5mgを1日1回経口投与する。なお、症状に応じ適宜増減するが、効果不十分な場合には1日1回10mgまで増量することができる。

8. 重要な基本的注意

  1. 8.1 本剤は、バルサルタン80mg及びアムロジピン5mgの配合剤であり、バルサルタンとアムロジピン双方の副作用が発現するおそれがあり、適切に本剤の使用を検討すること。
  2. 8.2 バルサルタンを含むアンジオテンシンⅡ受容体拮抗剤投与中に肝炎等の重篤な肝障害があらわれたとの報告があるので、肝機能検査を実施するなど観察を十分に行うこと。
  3. 8.3 手術前24時間は投与しないことが望ましい。アンジオテンシンⅡ受容体拮抗剤投与中の患者は、麻酔及び手術中にレニン-アンジオテンシン系の抑制作用による低血圧を起こす可能性がある。
  4. 8.4 降圧作用に基づくめまい、ふらつき等があらわれることがあるので、高所作業、自動車の運転等危険を伴う機械を操作する際には注意させること。
  5. 8.5 アムロジピンは血中濃度半減期が長く投与中止後も緩徐な降圧効果が認められるので、本剤投与中止後に他の降圧剤を使用するときは、用量並びに投与間隔に留意するなど患者の状態を観察しながら慎重に投与すること。

9. 特定の背景を有する患者に関する注意

9.1 合併症・既往歴等のある患者

  1. 9.1.1 両側性腎動脈狭窄のある患者又は片腎で腎動脈狭窄のある患者

    治療上やむを得ないと判断される場合を除き、投与は避けること。腎血流量の減少や糸球体濾過圧の低下により急速に腎機能を悪化させるおそれがある。

  2. 9.1.2 高カリウム血症の患者

    治療上やむを得ないと判断される場合を除き、投与は避けること。バルサルタンは高カリウム血症を増悪させるおそれがある。また、腎機能障害、コントロール不良の糖尿病等により血清カリウム値が高くなりやすい患者では、血清カリウム値に注意すること。

  3. 9.1.3 脳血管障害のある患者

    過度の降圧が脳血流不全を引き起こし、病態を悪化させるおそれがある。

  4. 9.1.4 厳重な減塩療法中の患者

    一過性の急激な血圧低下(失神及び意識消失等を伴う)を起こすおそれがある。

9.2 腎機能障害患者

  1. 9.2.1 重篤な腎機能障害(血清クレアチニン値が3.0mg/dL以上)のある患者

    腎機能障害を悪化させるおそれがある1)

  2. 9.2.2 血液透析中の患者

    一過性の急激な血圧低下(失神及び意識消失等を伴う)を起こすおそれがある。

9.3 肝機能障害患者

  1. 9.3.1 肝障害のある患者、特に胆汁性肝硬変及び胆汁うっ滞のある患者

    バルサルタンは主に胆汁中に排泄されるため、血中濃度が上昇するおそれがある。外国において、軽度~中等度の肝障害患者でバルサルタンの血漿中濃度が、健康成人と比較して約2倍に上昇することが報告されている。また、アムロジピンは主に肝で代謝されるため、肝障害患者では、血中濃度半減期の延長及び血中濃度-時間曲線下面積(AUC)が増大することがある。

9.4 生殖能を有する者

  1. 9.4.1 *妊娠する可能性のある女性

    妊娠していることが把握されずアンジオテンシン変換酵素阻害剤又はアンジオテンシンⅡ受容体拮抗剤を使用し、胎児・新生児への影響(腎不全、頭蓋・肺・腎の形成不全、死亡等)が認められた例が報告されている2),3)

    本剤の投与に先立ち、代替薬の有無等も考慮して本剤投与の必要性を慎重に検討し、治療上の有益性が危険性を上回ると判断される場合にのみ投与すること。また、投与が必要な場合には次の注意事項に留意すること。

    1. (1) 本剤投与開始前に妊娠していないことを確認すること。本剤投与中も、妊娠していないことを定期的に確認すること。投与中に妊娠が判明した場合には、直ちに投与を中止すること。
    2. (2) 次の事項について、本剤投与開始時に患者に説明すること。また、投与中も必要に応じ説明すること。
      • 妊娠中に本剤を使用した場合、胎児・新生児に影響を及ぼすリスクがあること。
      • 妊娠が判明した又は疑われる場合は、速やかに担当医に相談すること。
      • 妊娠を計画する場合は、担当医に相談すること。

9.5 妊婦

妊婦又は妊娠している可能性のある女性には投与しないこと。投与中に妊娠が判明した場合には、直ちに投与を中止すること。バルサルタンを含むアンジオテンシンⅡ受容体拮抗剤並びにアンジオテンシン変換酵素阻害剤で、妊娠中期~末期に投与された患者に胎児・新生児死亡、羊水過少症、胎児・新生児の低血圧、腎不全、高カリウム血症、頭蓋の形成不全、羊水過少症によると推測される四肢の拘縮、脳、頭蓋顔面の奇形、肺の発育形成不全等があらわれたとの報告がある1),4)。また、海外で実施されたアンジオテンシン変換酵素阻害剤におけるレトロスペクティブな疫学調査で、妊娠初期にアンジオテンシン変換酵素阻害剤を投与された患者群において、胎児奇形の相対リスクは降圧剤が投与されていない患者群に比べ高かったとの報告がある5)。また、アムロジピンにおける動物実験で妊娠末期に投与すると妊娠期間及び分娩時間が延長することが認められている。,

9.6 授乳婦

授乳しないことが望ましい。バルサルタンにおける動物実験(ラットの授乳期経口投与)の3mg/kg/日で、乳汁中へ移行するとの報告がある。また、アムロジピンはヒトで乳汁中へ移行することが報告されている6)。更に、バルサルタンにおける動物実験(ラットの周産期及び授乳期経口投与)の600mg/kg/日で出生児の低体重及び生存率の低下が認められており、200mg/kg/日以上で外表分化の遅延が認められている。

9.7 小児等

小児等を対象とした臨床試験は実施していない。

9.8 高齢者

  1. 9.8.1 一般に過度の降圧は好ましくないとされている。脳梗塞等が起こるおそれがある。
  2. 9.8.2 バルサルタン単独投与による高齢者での薬物動態試験で、バルサルタンの血漿中濃度が非高齢者に比べて高くなることが認められている。また、アムロジピン単独投与による高齢者での薬物動態試験で、血漿中濃度が高く、血中濃度半減期が長くなる傾向が認められている。

10. 相互作用

  • アムロジピンの代謝には主として薬物代謝酵素CYP3A4が関与していると考えられている。

10.1 併用禁忌(併用しないこと)

薬剤名等臨床症状・措置方法機序・危険因子
  • アリスキレンフマル酸塩
    • ラジレス
  • (糖尿病患者に使用する場合。ただし、他の降圧治療を行ってもなお血圧のコントロールが著しく不良の患者を除く)

非致死性脳卒中、腎機能障害、高カリウム血症及び低血圧のリスク増加が報告されている。

レニン-アンジオテンシン系阻害作用が増強される可能性がある。

10.2 併用注意(併用に注意すること)

薬剤名等臨床症状・措置方法機序・危険因子

アリスキレンフマル酸塩

腎機能障害、高カリウム血症及び低血圧を起こすおそれがある。
なお、eGFRが60mL/min/1.73m2未満の腎機能障害のある患者へのアリスキレンフマル酸塩との併用については、治療上やむを得ないと判断される場合を除き避けること。

レニン-アンジオテンシン系阻害作用が増強される可能性がある。

アンジオテンシン変換酵素阻害剤

腎機能障害、高カリウム血症及び低血圧を起こすおそれがある。

レニン-アンジオテンシン系阻害作用が増強される可能性がある。

  • 利尿降圧剤
    • フロセミド
    • トリクロルメチアジド等

一過性の急激な血圧低下(失神及び意識消失等を伴う)を起こすおそれがある。

利尿降圧剤で治療を受けている患者にはレニン活性が亢進している患者が多く、本剤が奏効しやすい。
重度のナトリウムないし体液量の減少した患者では、まれに症候性の低血圧が生じることがある。

  • カリウム保持性利尿剤
    • スピロノラクトン
    • トリアムテレン等
  • カリウム補給製剤
    • 塩化カリウム

血清カリウム値が上昇することがある。

バルサルタンのアルドステロン分泌抑制によりカリウム貯留作用が増強する可能性がある。
危険因子:腎機能障害

ドロスピレノン・エチニルエストラジオール

血清カリウム値が上昇することがある。

バルサルタンによる血清カリウム値の上昇とドロスピレノンの抗ミネラルコルチコイド作用によると考えられる。
危険因子:腎障害患者、血清カリウム値の高い患者

シクロスポリン

血清カリウム値が上昇することがある。

高カリウム血症の副作用が相互に増強されると考えられる。

  • トリメトプリム含有製剤
    • スルファメトキサゾール・トリメトプリム

血清カリウム値が上昇することがある。

血清カリウム値の上昇が増強されるおそれがある。

  • 非ステロイド性消炎鎮痛剤(NSAIDs)
    • インドメタシン等

バルサルタンの降圧作用が減弱することがある。

NSAIDsの腎プロスタグランジン合成阻害作用により、バルサルタンの降圧作用が減弱することがある。

  • 非ステロイド性消炎鎮痛剤(NSAIDs)
    • インドメタシン等

腎機能を悪化させるおそれがある。

NSAIDsの腎プロスタグランジン合成阻害作用により、腎血流量が低下するためと考えられる。
危険因子:高齢者

ビキサロマー

バルサルタンの血中濃度が約30~40%に低下したとの報告がある。バルサルタンの作用が減弱するおそれがある。

リン酸結合性ポリマーにより、同時に服用した場合、バルサルタンの吸収を遅延あるいは減少させる可能性がある。

リチウム

リチウム中毒を起こすことが報告されている。

バルサルタンのナトリウム排泄作用により、リチウムの蓄積が起こると考えられている。

  • CYP3A4阻害剤
    • エリスロマイシン
    • ジルチアゼム
    • リトナビル
    • イトラコナゾール

エリスロマイシン及びジルチアゼムとの併用により、アムロジピンの血中濃度が上昇したとの報告がある。

アムロジピンの代謝が競合的に阻害される可能性が考えられる。

  • CYP3A4誘導剤
    • リファンピシン等

アムロジピンの血中濃度が低下するおそれがある。

アムロジピンの代謝が促進される可能性が考えられる。

グレープフルーツジュース

アムロジピンの降圧作用が増強されるおそれがある。

グレープフルーツに含まれる成分がアムロジピンの代謝を阻害し、アムロジピンの血中濃度が上昇する可能性が考えられる。

降圧作用を有する他の薬剤

降圧作用が増強されるおそれがある。

共に降圧作用を有するため。

シンバスタチン

シンバスタチン80mg(国内未承認の高用量)とアムロジピンの併用により、シンバスタチンのAUCが77%上昇したとの報告がある。

機序不明

タクロリムス

タクロリムスとアムロジピンとの併用によりタクロリムスの血中濃度が上昇し、腎障害等のタクロリムスの副作用が発現するおそれがある。併用時にはタクロリムスの血中濃度をモニターし、必要に応じてタクロリムスの用量を調整すること。

アムロジピンとタクロリムスは、主としてCYP3A4により代謝されるため、併用によりタクロリムスの代謝が阻害される可能性が考えられる。

11. 副作用

次の副作用があらわれることがあるので、観察を十分に行い、異常が認められた場合には投与を中止するなど適切な処置を行うこと。

11.1 重大な副作用

  1. 11.1.1 **血管性浮腫(頻度不明)

    顔面、口唇、咽頭、舌の腫脹等が症状としてあらわれることがある。また、腹痛、嘔気、嘔吐、下痢等を伴う腸管血管性浮腫があらわれることがある。

  2. 11.1.2 劇症肝炎、肝炎、肝機能障害、黄疸(いずれも頻度不明)

  3. 11.1.3 腎不全(頻度不明)
  4. 11.1.4 高カリウム血症(頻度不明)
  5. 11.1.5 ショック、失神、意識消失(いずれも頻度不明)

    冷感、嘔吐、意識消失等があらわれた場合には投与を中止し、直ちに適切な処置を行うこと。,,

  6. 11.1.6 無顆粒球症、白血球減少、血小板減少(いずれも頻度不明)
  7. 11.1.7 間質性肺炎(頻度不明)

    発熱、咳嗽、呼吸困難、胸部X線異常等を伴う間質性肺炎があらわれることがあるので、このような場合には投与を中止し、副腎皮質ホルモン剤の投与等の適切な処置を行うこと。

  8. 11.1.8 低血糖(頻度不明)

    脱力感、空腹感、冷汗、手の震え、集中力低下、痙攣、意識障害等があらわれた場合には投与を中止し、適切な処置を行うこと。糖尿病治療中の患者であらわれやすい。

  9. 11.1.9 房室ブロック(頻度不明)

    徐脈、めまい等の初期症状があらわれることがある。

  10. 11.1.10 横紋筋融解症(頻度不明)

    筋肉痛、脱力感、CK上昇、血中及び尿中ミオグロビン上昇を特徴とする横紋筋融解症があらわれることがあるのでこのような場合には直ちに投与を中止し、適切な処置を行うこと。また、横紋筋融解症による急性腎障害の発症に注意すること。

  11. 11.1.11 中毒性表皮壊死融解症(Toxic Epidermal Necrolysis:TEN)、皮膚粘膜眼症候群(Stevens-Johnson症候群)、多形紅斑(いずれも頻度不明)
  12. 11.1.12 天疱瘡、類天疱瘡(いずれも頻度不明)

    水疱、びらん等があらわれた場合には、皮膚科医と相談すること。

11.2 その他の副作用

0.5%以上

0.5%未満

頻度不明

皮膚障害

発疹

そう痒症、蕁麻疹

紅斑、脱毛症、多汗症、皮膚変色、光線過敏症

精神神経系障害

めまい

頭痛、頭重、傾眠、不眠症、錯感覚、末梢神経障害

しびれ、味覚異常、異常感覚、気分動揺、不安、振戦、錐体外路症状

血液及びリンパ系障害

貧血、好酸球数増加、白血球数増加

紫斑

心臓障害

期外収縮、心房細動、動悸

頻脈、徐脈、洞房ブロック、洞停止

血管障害

低血圧、ほてり

起立性低血圧、血管炎

胃腸障害

便秘、下痢、腹痛、口内炎、消化不良、腹部膨満、胃腸炎

嘔気、嘔吐、膵炎、口内乾燥、排便回数増加

肝胆道系障害

γ-GTP増加、ALT増加

AST増加、血中ビリルビン増加

腹水、ALP増加、LDH増加

呼吸器障害

鼻咽頭炎

咳嗽、咽喉頭疼痛、呼吸困難、鼻出血

腎及び尿路障害

尿中血陽性

頻尿、血中クレアチニン増加、尿中蛋白陽性

排尿障害、多尿、BUN増加、尿管結石

代謝及び栄養障害

高脂血症、高尿酸血症、糖尿病

食欲不振、高血糖、総蛋白減少、尿中ブドウ糖陽性、血中カリウム減少、低ナトリウム血症

筋骨格系障害

腰背部痛、筋痙縮

筋肉痛、関節痛、関節腫脹、筋緊張亢進、四肢重感

その他

CK増加

浮腫、耳鳴、無力症(脱力感等)、けん怠感

胸痛、疲労、口渇、体重増加、体重減少、疼痛、発熱、視力異常、視覚障害、歯肉肥厚、女性化乳房、勃起障害、インフルエンザ、過敏症

13. 過量投与

  1. 13.1 症状

    バルサルタンの過量投与により、著しい血圧低下が生じ、意識レベルの低下、循環虚脱に至るおそれがある。また、アムロジピンの過量投与により、過度の末梢血管拡張が起こり、ショックを含む著しい血圧低下と反射性頻脈を起こすことがある。

  2. 13.2 処置
    1. 13.2.1 アムロジピン服用直後に活性炭を投与した場合、アムロジピンのAUCは99%減少し、服用2時間後では49%減少したことから、アムロジピン過量投与時の吸収抑制処置として活性炭投与が有効であるとの報告がある。
    2. 13.2.2 心・呼吸機能のモニターを行い、頻回に血圧を測定する。著しい血圧低下が認められた場合は、四肢の挙上、輸液の投与等、心血管系に対する処置を行う。症状が改善しない場合は、循環血液量及び排尿量に注意しながら昇圧剤の投与を考慮する。なお、バルサルタン及びアムロジピンの血漿蛋白結合率はそれぞれ93~96%、98%であり、血液透析によって除去できない。

14. 適用上の注意

14.1 薬剤交付時の注意

PTP包装の薬剤はPTPシートから取り出して服用するよう指導すること。PTPシートの誤飲により、硬い鋭角部が食道粘膜へ刺入し、更には穿孔をおこして縦隔洞炎等の重篤な合併症を併発することがある。

15. その他の注意

15.1 臨床使用に基づく情報

因果関係は明らかでないが、アムロジピンによる治療中に心筋梗塞や不整脈(心室性頻拍を含む)がみられたとの報告がある。

16. 薬物動態

16.1 血中濃度

  1. 16.1.1 単回投与

    健康成人男子にバルサルタン80mg/アムロジピン5mg配合錠を空腹時に単回経口投与したとき、血漿中のバルサルタン及びアムロジピンは、それぞれ投与後3及び6時間で最高濃度に到達し、消失半減期はそれぞれ8.5及び38.2時間であった。バルサルタン/アムロジピン配合錠投与時におけるバルサルタンのCmaxは、バルサルタン80mg及びアムロジピン5mgの併用投与時と比較して若干低かったものの、他のパラメータは同様であった7)

    健康成人男子にバルサルタン/アムロジピン配合錠及びバルサルタン/アムロジピン併用を単回経口投与した時のバルサルタン及びアムロジピンの薬物動態パラメータ

    薬物動態パラメータ

    バルサルタン80mg/アムロジピン5mg配合錠投与時(n=64)

    バルサルタン80mg及びアムロジピン5mgの併用投与時(n=64)

    バルサルタン

    アムロジピン

    バルサルタン

    アムロジピン

    Cmax(ng/mL)

    3,260±1,330

    2.63±0.462

    3,630±1,200

    2.75±0.584

    Tmax(h)

    3.0(1.0~4.0)

    6.0(4.0~12.0)

    2.0(1.0~6.0)

    6.0(3.0~12.0)

    AUC0-inf(ng・h/mL)

    20,000±7,890

    126±32.9

    22,000±7,230

    129±33.7

    T1/2(h)

    8.5±2.2

    38.2±7.2

    8.4±2.4

    38.1±6.6

    平均値±標準偏差、Tmaxに関しては中央値(最小値~最大値)

  2. 16.1.2 生物学的同等性試験

    アムバロ配合錠「サワイ」とエックスフォージ配合錠を健康成人男子にそれぞれ1錠(バルサルタンとして80mg、アムロジピンとして5mg)空腹時単回経口投与(クロスオーバー法)し、バルサルタン及びアムロジピンの血漿中濃度を測定した。得られた薬物動態パラメータ(AUC、Cmax)について90%信頼区間法にて統計解析を行った結果、log(0.80)~log(1.25)の範囲内であり、両剤の生物学的同等性が確認された8)

    各製剤1錠投与時の薬物動態パラメータ

    Cmax
    (ng/mL)

    Tmax
    (hr)

    T1/2
    (hr)

    AUC
    (ng・hr/mL)

    バルサルタン

    アムバロ配合錠「サワイ」

    3477±1241

    3.1±1.1

    5.5±0.5

    20727±7241

    エックスフォージ配合錠

    3482±1268

    2.7±1.1

    5.8±1.3

    20729±7283

    アムロジピン

    アムバロ配合錠「サワイ」

    2.73±0.49

    6.8±1.0

    42.4±11.1

    117.70±25.63

    エックスフォージ配合錠

    2.77±0.65

    6.5±1.1

    40.9±8.8

    120.74±28.76

    ※バルサルタン:AUC0-24hr、アムロジピン:AUC0-124hr
    (Mean±S.D.)

    血漿中濃度ならびにAUC、Cmax等のパラメータは、被験者の選択、体液の採取回数・時間等の試験条件によって異なる可能性がある。

16.2 吸収

  1. 16.2.1 食事の影響

    健康成人男子にバルサルタン80mg/アムロジピン5mg配合錠を単回経口投与したとき、バルサルタンのCmax及びAUCは空腹時投与に比べて食後投与でそれぞれ9%及び16%低下し、アムロジピンは食事の影響を受けなかった9)

16.3 分布

バルサルタン及びアムロジピンの血漿蛋白結合率はそれぞれ93~96%及び98%であった10),11)

16.4 代謝

健康成人男子に14Cバルサルタン80mgを空腹時単回経口投与8時間後の血漿中には、主として未変化体が存在し、そのほかに代謝物として4-ヒドロキシ体が認められ12)in vitroの試験において主としてCYP2C9の関与が示唆されている13)(外国人のデータ)。
アムロジピンは主にCYP3A4により代謝されると考えられる14)

16.5 排泄

健康成人男子に14Cバルサルタン80mgを空腹時単回経口投与したとき、投与後168時間までに投与量の13%及び86%の放射能がそれぞれ尿中及び糞中に排泄され、そのうちほとんどが未変化体であった12)(外国人のデータ)。
健康成人男子に14Cアムロジピン15mg1)を空腹時単回経口投与したとき、投与後12日までに投与量の59%及び23%の放射能がそれぞれ尿中及び糞中に排泄され、尿中放射能の9%が未変化体であった15)(外国人のデータ)。

1) 本剤の承認された1日用量は、バルサルタンとして80mg及びアムロジピンとして5mgである。

16.7 薬物相互作用

健康成人男子にバルサルタン160mg及びアムロジピン5mg2)を併用単回投与したときのバルサルタン及びアムロジピンの薬物動態は各単剤投与後と差はなく、バルサルタンとアムロジピンの間に薬物動態学的相互作用は認められなかった16)(外国人のデータ)。

2) 本剤の承認された1日用量は、バルサルタンとして80mg及びアムロジピンとして5mgである。

17. 臨床成績

17.1 有効性及び安全性に関する試験

  1. 17.1.1 国内第Ⅲ相試験

    軽症から中等症の本態性高血圧症患者を対象に国内で実施した二重盲検比較試験(要因試験)において、バルサルタン80mg/アムロジピン5mg配合錠を1日1回8週間経口投与した時のレスポンダー率(最終評価時の拡張期血圧が90mmHg未満に低下した又はベースラインと比較して10mmHg以上低下した患者の割合)及び血圧の変化量は、次のとおりである。

    二重盲検比較試験におけるレスポンダー率及び血圧の変化量

    薬剤

    レスポンダー率

    最終評価時における収縮期血圧/拡張期血圧のベースラインからの変化量(平均値)

    バルサルタン80mg/アムロジピン5mg配合錠

    86.4%
    (140/162)

    -23.6/-17.0mmHg

    プラセボ

    36.1%
    (60/166)

    -4.7/-4.8mmHg

    本臨床試験成績より、バルサルタン/アムロジピン配合錠の優れた降圧効果が確認された17),18)
    副作用発現頻度は、バルサルタン/アムロジピン配合錠群で6.8%(11/162例)であった。バルサルタン/アムロジピン配合錠群での主な副作用は、γ-GTP増加1.2%(2/162例)であった。

  2. 17.1.2 国内第Ⅲ相試験(継続長期投与試験)

    二重盲検比較試験(要因試験)からの継続投与長期試験として、バルサルタン80mg又はアムロジピン5mgを2週間投与した後、収縮期血圧130mmHg以上又は拡張期血圧85mmHg以上の患者にバルサルタン80mg/アムロジピン5mg配合錠を52週間投与した。
    バルサルタン80mg又はアムロジピン5mgを2週間投与した後の収縮期血圧及び拡張期血圧(平均値)は138.6/89.1mmHgであり、バルサルタン/アムロジピン配合錠に切り替えた後2週間で129.4/81.7mmHgまで低下し、単剤からバルサルタン/アムロジピン配合錠に切り替えることにより更なる降圧が認められた。また、バルサルタン/アムロジピン配合錠52週間投与後の収縮期血圧及び拡張期血圧は126.7/79.3mmHgであり、長期にわたる安定した降圧効果が認められた19)
    副作用発現頻度は、バルサルタン/アムロジピン配合錠群で15.1%(55/365例)であった。バルサルタン/アムロジピン配合錠群の主な副作用は、高脂血症1.4%(5/365例)であり、次いでALT増加1.1%(4/365例)であった。

18. 薬効薬理

18.1 作用機序

本剤は、バルサルタン及びアムロジピンの配合剤である。バルサルタンは、アンジオテンシンⅡ受容体のサブタイプであるAT1受容体に結合し、昇圧系として作用するアンジオテンシンⅡに対して拮抗することによって降圧効果を発揮する。アムロジピンは、電位依存性カルシウムチャネルに結合し、細胞内へのカルシウム流入を抑制することで末梢血管の平滑筋を弛緩させて降圧効果を発揮する。アムロジピンの降圧効果によって交感神経系が活性化されることで、血圧調節におけるレニン・アンジオテンシン系への依存度が増大するため、バルサルタンの降圧効果が増強されるものと考えられる20)

18.2 降圧作用

高血圧自然発症ラットにバルサルタンとアムロジピンを併用して投与すると、それぞれの単独投与を上回る降圧効果が示された21)

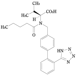
19. 有効成分に関する理化学的知見

19.1 バルサルタン

一般的名称

バルサルタン(Valsartan)

化学名

(2S)-3-Methyl-2-(N-{[2'-(1H-tetrazol-5-yl)biphenyl-4-yl]methyl}pentanamido)butanoic acid

分子式

C24H29N5O3

分子量

435.52

性状

白色の粉末である。メタノール又はエタノール(99.5)に極めて溶けやすく、水にほとんど溶けない。

化学構造式

19.2 アムロジピンベシル酸塩

一般的名称

アムロジピンベシル酸塩(Amlodipine Besilate)

化学名

3-Ethyl 5-methyl(4RS)-2-[(2-aminoethoxy)methyl]-4-(2-chlorophenyl)-6-methyl-1,4-dihydropyridine-3,5-dicarboxylate monobenzenesulfonate

分子式

C20H25ClN2O5・C6H6O3S

分子量

567.05

性状

白色~帯黄白色の結晶性の粉末である。メタノールに溶けやすく、エタノール(99.5)にやや溶けにくく、水に溶けにくい。メタノール溶液(1→100)は旋光性を示さない。

化学構造式

融点

約198℃(分解)

22. 包装

*PTP:100錠(10錠×10)、140錠(14錠×10)、500錠(10錠×50)

23. 主要文献

1) Sheps, S. G. et al.:Arch. Intern. Med., 1997;157(21):2413-2446

2) *阿部真也他:周産期医学, 2017;47:1353-1355

3) *齊藤大祐他:鹿児島産科婦人科学会雑誌, 2021;29:49-54

4) Briggs, G. G. et al.:Ann. Pharmacother., 2001;35(7-8):859-861

5) Cooper, W. O. et al.:N. Engl. J. Med., 2006;354(23):2443-2451

6) Naito, T. et al.:J. Human Lactation, 2015;31(2):301-306

7) 配合剤投与時と併用投与時の生物学的同等性の検討(エックスフォージ配合錠:2010年1月20日承認、申請資料概要2.7.6-1.2.3)

8) 竹内譲他:診療と新薬, 2016;53(1):9-16

9) 薬物動態に及ぼす食事の影響の検討(エックスフォージ配合錠:2010年1月20日承認、申請資料概要2.7.6-1.1.1)

10) Colussi, D. M. et al.:J. Clin. Pharmacol., 1997;37(3):214-221

11) Meredith, P. A. et al.:Clin. Pharmacokinet., 1992;22(1):22-31

12) Waldmeier, F. et al.:Xenobiotica, 1997;27(1):59-71

13) Nakashima, A. et al.:Xenobiotica, 2005;35(6):589-602

14) Guengerich, F. P et al.:J. Med. Chem., 1991;34(6):1838-1844

15) Beresford, A. P. et al.:Xenobiotica, 1988;18(2):245-254

16) バルサルタンとアムロジピンの薬物間相互作用の検討(エックスフォージ配合錠:2010年1月20日承認、申請資料概要2.7.6-3.1.1)

17) 荻原俊男他:血圧, 2010;17(4):314-328

18) 国内第Ⅲ相試験(エックスフォージ配合錠:2010年1月20日承認、申請資料概要2.7.6-5.1.1)

19) 本態性高血圧症に対する長期試験(エックスフォージ配合錠:2010年1月20日承認、申請資料概要2.7.6-5.2.1)

20) 作用機序(エックスフォージ配合錠:2010年1月20日承認、申請資料概要2.6.1, 2.6.2)

21) 高血圧自然発症ラットの血圧に対する作用(経口投与試験)(エックスフォージ配合錠:2010年1月20日承認、申請資料概要2.6.2-2.1.1.2)

24. 文献請求先及び問い合わせ先

沢井製薬株式会社 医薬品情報センター

〒532-0003 大阪市淀川区宮原5丁目2-30

TEL:0120-381-999 FAX:06-7708-8966

26. 製造販売業者等

26.1 製造販売元

沢井製薬株式会社

大阪市淀川区宮原5丁目2-30

〒100-0013 東京都千代田区霞が関3-3-2 新霞が関ビル

画面を閉じる

Copyright © Pharmaceuticals and Medical Devices Agency, All Rights reserved.