医療用医薬品 詳細表示

プロブコール錠250mg「サワイ」

処方せん医薬品

添付文書番号
企業コード
作成又は改訂年月
日本標準商品分類番号
薬効分類名
承認等
一般的名称
2.禁忌(次の患者には投与しないこと)
3.組成・性状
3.1組成
3.2製剤の性状
4.効能又は効果
5.効能又は効果に関連する注意
6.用法及び用量
8.重要な基本的注意
9.特定の背景を有する患者に関する注意
9.1合併症・既往歴等のある患者
9.5妊婦
9.6授乳婦
9.7小児等
9.8高齢者
10.相互作用
10.2併用注意(併用に注意すること)
11.副作用
11.1重大な副作用
11.2その他の副作用
14.適用上の注意
15.その他の注意
15.2非臨床試験に基づく情報
16.薬物動態
16.1血中濃度
16.4代謝
16.5排泄
17.臨床成績
17.1有効性及び安全性に関する試験
18.薬効薬理
18.1作用機序
18.2血清脂質低下作用
18.3家族性高コレステロール血症に対する脂質低下作用
18.4黄色腫退縮効果
18.5動脈硬化に対する退縮(リグレッション)効果
19.有効成分に関する理化学的知見
22.包装
23.主要文献
24.文献請求先及び問い合わせ先
26.製造販売業者等

プロブコール錠250mg「サワイ」

添付文書番号

2189008F1465_1_05

企業コード

300119

作成又は改訂年月

2023年12月改訂(第1版)

日本標準商品分類番号

872189

薬効分類名

高脂血症治療剤

承認等

プロブコール錠250mg「サワイ」

販売名コード

YJコード

2189008F1465

販売名英語表記

PROBUCOL Tablets [SAWAI]

販売名ひらがな

ぷろぶこーるじょう

承認番号等

承認番号

22700AMX00049000

販売開始年月

1992年7月

貯法・有効期間

貯法

室温保存

有効期間

3年

基準名

日本薬局方

プロブコール錠

一般的名称

プロブコール

2. 禁忌(次の患者には投与しないこと)

  1. 2.1 本剤の成分に対し過敏症の既往歴のある患者
  2. 2.2 重篤な心室性不整脈(多源性心室性期外収縮の多発)のある患者[より重篤な心室性不整脈(Torsade de pointes)を起こすおそれがある。]
  3. 2.3 妊婦又は妊娠している可能性のある女性

3. 組成・性状

3.1 組成

プロブコール錠250mg「サワイ」

1錠中
有効成分日局プロブコール   250mg
添加剤カルナウバロウ、クロスカルメロースNa、軽質無水ケイ酸、結晶セルロース、サラシミツロウ、酸化チタン、ステアリン酸Mg、タルク、ヒドロキシプロピルセルロース、ヒプロメロース、マクロゴール6000

3.2 製剤の性状

プロブコール錠250mg「サワイ」

剤形フィルムコーティング錠
外形

大きさ直径10.1mm
厚さ5.3mm
質量約319mg
識別コードSW 075
性状白色~微黄白色

4. 効能又は効果

高脂血症(家族性高コレステロール血症、黄色腫を含む。)

5. 効能又は効果に関連する注意

適用の前に十分な検査を実施し、高脂血症(家族性高コレステロール血症、黄色腫を含む)であることを確認した上で本剤の適用を考慮すること。本剤はコレステロール値の異常を主とした高脂血症によく反応する。

6. 用法及び用量

通常、成人にはプロブコールとして1日量500mgを2回に分けて食後に経口投与する。
なお、年齢、症状により適宜増減するが、家族性高コレステロール血症の場合は、プロブコールとして1日量1,000mgまで増量することができる。

8. 重要な基本的注意

  1. 8.1 あらかじめ高脂血症の基本である食事療法を行い、さらに運動療法や高血圧・喫煙等の虚血性心疾患のリスクファクターの軽減等も十分考慮すること。
  2. 8.2 投与中は血中脂質値を定期的に検査し、治療に対する反応が認められない場合には投与を中止すること。
  3. 8.3 本剤の投与により心電図上QT延長、心室性不整脈の報告があるので、本剤投与中は定期的に心電図を測定することが望ましい。

9. 特定の背景を有する患者に関する注意

9.1 合併症・既往歴等のある患者

  1. 9.1.1 心筋梗塞の新鮮例及びうっ血性心不全のある患者

    心室性不整脈を起こすおそれがある。

  2. 9.1.2 心室性不整脈のある患者(重篤な心室性不整脈(多源性心室性期外収縮の多発)のある患者を除く)

    より重篤な心室性不整脈(Torsade de pointes)を起こすおそれがある。

  3. 9.1.3 QT延長を起こしやすい患者(先天性QT延長症候群、低カリウム血症等)

    心室性不整脈を起こすおそれがある。

9.5 妊婦

妊婦又は妊娠している可能性のある女性には投与しないこと。

9.6 授乳婦

治療上の有益性及び母乳栄養の有益性を考慮し、授乳の継続又は中止を検討すること。動物実験(ラット、ウサギ)で乳汁中への移行が報告されている。

9.7 小児等

小児等を対象とした臨床試験は実施していない。

9.8 高齢者

減量するなど注意すること。一般に生理機能が低下している。

10. 相互作用

    10.2 併用注意(併用に注意すること)

    薬剤名等臨床症状・措置方法機序・危険因子

    シクロスポリン

    シクロスポリンの作用が減弱するおそれがある。

    機序は不明であるが、シクロスポリンの血中濃度が低下したとの報告がある。

    クロフィブラート

    HDL-コレステロールが著しく低下したとの報告がある。

    機序は不明である。

    11. 副作用

    次の副作用があらわれることがあるので、観察を十分に行い、異常が認められた場合には投与を中止するなど適切な処置を行うこと。

    11.1 重大な副作用

    1. 11.1.1 心室性不整脈(Torsade de pointes)、失神(いずれも頻度不明)

      著明なQT延長に伴う心室性不整脈(Torsade de pointes)、失神があらわれることがある。

    2. 11.1.2 消化管出血、末梢神経炎(いずれも頻度不明)
    3. 11.1.3 横紋筋融解症(頻度不明)

      筋肉痛、脱力感、CK上昇、血中及び尿中ミオグロビン上昇を特徴とする横紋筋融解症があらわれることがある。

    11.2 その他の副作用

    0.1~5%未満

    0.1%未満

    頻度不明

    心臓

    QT延長

    過敏症

    発疹、そう痒

    血液

    白血球減少、血小板減少等

    貧血

    精神神経系

    めまい等

    頭痛等

    消化器

    下痢・軟便、嘔気・嘔吐、食欲不振、腹痛、胸やけ、腹部膨満感等

    肝臓

    AST上昇、ALT上昇、ALP上昇、LDH上昇

    腎臓

    BUN上昇

    筋肉

    CK上昇

    その他

    倦怠感、尿酸上昇、空腹時血糖上昇

    14. 適用上の注意

    14.1 薬剤交付時の注意

    PTP包装の薬剤はPTPシートから取り出して服用するよう指導すること。PTPシートの誤飲により、硬い鋭角部が食道粘膜へ刺入し、更には穿孔をおこして縦隔洞炎等の重篤な合併症を併発することがある。

    15. その他の注意

    15.2 非臨床試験に基づく情報

    1. 15.2.1 ビーグル犬で死亡例がみられており、心筋のアドレナリンに対する感受性が本剤投与により亢進したことによる種特異的な現象と報告されている。
    2. 15.2.2 赤毛ザルにおいて、異常な高脂肪・高コレステロール食と本剤の同時投与群で死亡例が報告されている。正常食では8年間投与でも死亡例は認められていない。

    16. 薬物動態

    16.1 血中濃度

    1. 16.1.1 健康成人にプロブコール250mgを食後単回経口投与した場合の血漿中濃度は、投与後18時間で最高値(約5μg/mL)に達し、生物学的半減期は50~62時間であった。
      また、1日750mg1)、10日間連続経口投与では、投与開始後192時間で血漿中濃度は最高に達し(12μg/mL)、生物学的半減期は98時間であった。1),2)
    2. 16.1.2 生物学的同等性試験

      プロブコール錠250mg「サワイ」とシンレスタール錠250mgを健康成人男子にそれぞれ1錠(プロブコールとして250mg)食後単回経口投与(クロスオーバー法)し、血漿中プロブコール濃度を測定した。得られた薬物動態パラメータ(AUC、Cmax)について統計解析を行った結果、両剤の生物学的同等性が確認された3)

      各製剤1錠投与時の薬物動態パラメータ

      Cmax
      (μg/mL)

      Tmax
      (hr)

      T1/2
      (hr)

      AUC0-154hr
      (μg・hr/mL)

      プロブコール錠250mg「サワイ」

      1.84±0.56

      12.3±2.7

      46.8±14.0

      109.23±37.93

      シンレスタール錠250mg

      1.88±0.80

      12.7±2.9

      40.1±13.8

      112.99±51.91

      (Mean±S.D.)

      血漿中濃度ならびにAUC、Cmax等のパラメータは、被験者の選択、体液の採取回数・時間等の試験条件によって異なる可能性がある。

    16.4 代謝

    健康成人に14C-プロブコールを経口投与した場合、尿中に代謝物ジフェノキノン体等が認められたが、血漿中及び糞中ではほとんどが未変化体であった2)(外国人データ)。

    16.5 排泄

    健康成人に14C-プロブコールを経口投与した場合、96時間までに糞中へ投与量の84%、尿中へ1.9%が排泄された2)(外国人データ)。

    1) 本剤の承認された用法及び用量は「通常、成人にはプロブコールとして1日量500mgを2回に分けて食後に経口投与する。なお、年齢、症状により適宜増減するが、家族性高コレステロール血症の場合は、プロブコールとして1日量1,000mgまで増量することができる。」である。

    17. 臨床成績

    17.1 有効性及び安全性に関する試験

    1. 17.1.1 国内臨床試験
      • 血清脂質低下作用

        血清総コレステロール値が230mg/dl以上の高脂血症患者を対象とし、プロブコールを原則として1日3回(750mg2)/日)、毎食後に、可能な限り2年間継続投与した長期投与(1~2年)試験(65例)では、投与開始1ヵ月後に血清総コレステロールを平均15%低下させ、以後24ヵ月まで16~20%の範囲で安定した低下効果を維持した。副作用は65例中1例に下痢が発現した4)

    2) 本剤の承認された用法及び用量は「通常、成人にはプロブコールとして1日量500mgを2回に分けて食後に経口投与する。なお、年齢、症状により適宜増減するが、家族性高コレステロール血症の場合は、プロブコールとして1日量1,000mgまで増量することができる。」である。

    18. 薬効薬理

    18.1 作用機序

    血清総コレステロール低下の作用機序は、コレステロールの胆汁中への異化排泄促進作用が主で、また、コレステロール合成の初期段階の抑制作用を有する5),6)
    黄色腫退縮ならびに動脈硬化退縮の作用機序は、血清総コレステロール低下作用、HDLを介する末梢組織より肝臓へのコレステロール逆転送の促進作用及びLDLの酸化抑制にもとづくマクロファージの泡沫化抑制作用が考えられている7),8),9)

    18.2 血清脂質低下作用

    高脂血症患者において血清総コレステロールを有意に低下させ、長期投与に際しても安定した効果を維持した。トリグリセライドについても低下傾向を示すが、個人差が大きく、また、リン脂質は血清総コレステロールと並行して低下した10),11)

    18.3 家族性高コレステロール血症に対する脂質低下作用

    1. 18.3.1 WHHL-ウサギ(ヒト家族性高コレステロール血症のモデル動物)への経口投与で血清総コレステロールの低下を認めた12)
    2. 18.3.2 家族性高コレステロール血症患者において血清総コレステロールを15~22%低下させた13),14)

    18.4 黄色腫退縮効果

    高脂血症にしばしば随伴する腱、眼瞼、皮膚等の黄色腫に対し、縮小等の退縮効果を示した13),14)

    18.5 動脈硬化に対する退縮(リグレッション)効果

    ウサギの実験で大動脈弓及び胸部大動脈の粥腫発生の有意な軽減が認められ15)、サルにおける動脈硬化実験で、その退縮(リグレッション)効果が認められた16)。また、冠動脈性心疾患(CHD)の新規発症を抑制することが示唆された17)

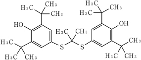
    19. 有効成分に関する理化学的知見

    一般的名称

    プロブコール(Probucol)

    化学名

    4,4'-[Propan-2,2-diylbis(sulfandiyl)]bis[2,6-bis(1,1-dimethylethyl)phenol]

    分子式

    C31H48O2S2

    分子量

    516.84

    性状

    白色の結晶性の粉末である。テトラヒドロフランに極めて溶けやすく、エタノール(99.5)に溶けやすく、メタノールにやや溶けやすく、水にほとんど溶けない。光によって徐々に淡黄色となる。

    化学構造式

    融点

    125~128℃

    22. 包装

    PTP:100錠(10錠×10)

    24. 文献請求先及び問い合わせ先

    沢井製薬株式会社 医薬品情報センター

    〒532-0003 大阪市淀川区宮原5丁目2-30

    TEL:0120-381-999 FAX:06-7708-8966

    26. 製造販売業者等

    26.1 製造販売元

    沢井製薬株式会社

    大阪市淀川区宮原5丁目2-30

    〒100-0013 東京都千代田区霞が関3-3-2 新霞が関ビル

    画面を閉じる

    Copyright © Pharmaceuticals and Medical Devices Agency, All Rights reserved.