医療用医薬品 詳細表示

フリウェル配合錠LD「サワイ」/フリウェル配合錠ULD「サワイ」

処方せん医薬品

添付文書番号
企業コード
作成又は改訂年月
日本標準商品分類番号
薬効分類名
承認等
一般的名称
2.禁忌(次の患者には投与しないこと)
3.組成・性状
3.1組成
3.2製剤の性状
4.効能又は効果
5.効能又は効果に関連する注意
6.用法及び用量
7.用法及び用量に関連する注意
8.重要な基本的注意
9.特定の背景を有する患者に関する注意
9.1合併症・既往歴等のある患者
9.2腎機能障害患者
9.3肝機能障害患者
9.4生殖能を有する者
9.5妊婦
9.6授乳婦
9.7小児等
10.相互作用
10.2併用注意(併用に注意すること)
11.副作用
11.1重大な副作用
11.2その他の副作用
12.臨床検査結果に及ぼす影響
14.適用上の注意
15.その他の注意
15.1臨床使用に基づく情報
16.薬物動態
16.1血中濃度
16.2吸収
16.3分布
16.4代謝
16.5排泄
17.臨床成績
17.1有効性及び安全性に関する試験
18.薬効薬理
18.1作用機序
18.2排卵抑制作用
19.有効成分に関する理化学的知見
20.取扱い上の注意
22.包装
23.主要文献
24.文献請求先及び問い合わせ先
25.保険給付上の注意
26.製造販売業者等

フリウェル配合錠LD「サワイ」/フリウェル配合錠ULD「サワイ」

添付文書番号

2482009F1074_1_06

企業コード

300119

作成又は改訂年月

2023年3月改訂(第1版)

日本標準商品分類番号

872482

薬効分類名

月経困難症治療剤

承認等

フリウェル配合錠LD「サワイ」

販売名コード

YJコード

2482009F1074

販売名英語表記

FREWELL Combination Tablets [SAWAI]

販売名ひらがな

ふりうぇるはいごうじょう

承認番号等

承認番号

22900AMX00831000

販売開始年月

2018年12月

貯法・有効期間

貯法

室温保存

有効期間

3年

フリウェル配合錠ULD「サワイ」

販売名コード

YJコード

2482009F2046

販売名英語表記

FREWELL Combination Tablets [SAWAI]

販売名ひらがな

ふりうぇるはいごうじょう

承認番号等

承認番号

23000AMX00685000

販売開始年月

2018年12月

貯法・有効期間

貯法

室温保存

有効期間

3年

一般的名称

ノルエチステロン
エチニルエストラジオール

2. 禁忌(次の患者には投与しないこと)

  1. 2.1 本剤の成分に対し過敏性素因のある患者
  2. 2.2 エストロゲン依存性悪性腫瘍(例えば乳癌、子宮内膜癌)、子宮頸癌及びその疑いのある患者[腫瘍の悪化あるいは顕性化を促すことがある。],,,
  3. 2.3 診断の確定していない異常性器出血のある患者[性器癌の疑いがある。出血が性器癌による場合は、癌の悪化あるいは顕性化を促すことがある。],,
  4. 2.4 血栓性静脈炎、肺塞栓症、脳血管障害、冠動脈疾患又はその既往歴のある患者[血液凝固能が亢進され、これらの症状が増悪することがある。]
  5. 2.5 35歳以上で1日15本以上の喫煙者[心筋梗塞等の心血管系の障害が発生しやすくなるとの報告がある。],,,
  6. 2.6 前兆(閃輝暗点、星型閃光等)を伴う片頭痛の患者[前兆を伴う片頭痛の患者は前兆を伴わない患者に比べ脳血管障害(脳卒中等)が発生しやすくなるとの報告がある。]
  7. 2.7 肺高血圧症又は心房細動を合併する心臓弁膜症の患者、亜急性細菌性心内膜炎の既往歴のある心臓弁膜症の患者[血栓症等の心血管系の障害が発生しやすくなるとの報告がある。],
  8. 2.8 血管病変を伴う糖尿病患者(糖尿病性腎症、糖尿病性網膜症等)[血栓症等の心血管系の障害が発生しやすくなるとの報告がある。]
  9. 2.9 血栓性素因のある患者[血栓症等の心血管系の障害が発生しやすくなるとの報告がある。]
  10. 2.10 抗リン脂質抗体症候群の患者[血栓症等の心血管系の障害が発生しやすくなるとの報告がある。]
  11. 2.11 手術前4週以内、術後2週以内、産後4週以内及び長期間安静状態の患者[血液凝固能が亢進され、心血管系の副作用の危険性が高くなることがある。],
  12. 2.12 重篤な肝障害のある患者
  13. 2.13 肝腫瘍のある患者[症状が増悪することがある。]
  14. 2.14 脂質代謝異常のある患者[血栓症等の心血管系の障害が発生しやすくなるとの報告がある。また、脂質代謝に影響を及ぼす可能性があるため、症状が増悪することがある。]
  15. 2.15 高血圧のある患者(軽度の高血圧の患者を除く)[血栓症等の心血管系の障害が発生しやすくなるとの報告がある。また、症状が増悪することがある。],
  16. 2.16 耳硬化症の患者[症状が増悪することがある。]
  17. 2.17 妊娠中に黄疸、持続性そう痒症又は妊娠ヘルペスの既往歴のある患者[症状が再発するおそれがある。]
  18. 2.18 妊婦又は妊娠している可能性のある患者,,
  19. 2.19 授乳婦
  20. 2.20 骨成長が終了していない可能性がある患者[骨端の早期閉鎖を来すおそれがある。]

3. 組成・性状

3.1 組成

フリウェル配合錠LD「サワイ」

1錠中
有効成分日局ノルエチステロン   1mg
日局エチニルエストラジオール   0.035mg
添加剤ステアリン酸Mg、乳糖、部分アルファー化デンプン

フリウェル配合錠ULD「サワイ」

1錠中
有効成分日局ノルエチステロン   1mg
日局エチニルエストラジオール   0.02mg
添加剤ステアリン酸Mg、乳糖、部分アルファー化デンプン

3.2 製剤の性状

フリウェル配合錠LD「サワイ」

剤形素錠
外形

大きさ直径6.5mm
厚さ2.2mm
質量約100mg
識別コードSW-F LD
性状白色

フリウェル配合錠ULD「サワイ」

剤形素錠
外形

大きさ直径6.5mm
厚さ2.2mm
質量約100mg
識別コードSW-F ULD
性状白色

4. 効能又は効果

  • 月経困難症
  • 生殖補助医療における調節卵巣刺激の開始時期の調整

5. 効能又は効果に関連する注意

  • 〈生殖補助医療における調節卵巣刺激の開始時期の調整〉

    妊娠率や生産率の報告を踏まえると、本剤を含む低用量卵胞ホルモン・黄体ホルモン配合剤で調節卵巣刺激の開始時期の調整を行った場合は、開始時期の調整を行わない場合と比べて、妊娠率や生産率が低下する可能性があるので、このことを患者に説明した上で、本剤の投与の要否は、患者ごとに治療上の必要性を考慮して慎重に判断すること。

6. 用法及び用量

  • 〈月経困難症〉

    1日1錠を毎日一定の時刻に21日間経口投与し、その後7日間休薬する。以上28日間を投与1周期とし、出血が終わっているか続いているかにかかわらず、29日目から次の周期の錠剤を投与し、以後同様に繰り返す。

  • 〈生殖補助医療における調節卵巣刺激の開始時期の調整〉

    1日1錠を毎日一定の時刻に、通常、14~21日間経口投与する。

7. 用法及び用量に関連する注意

  • 〈効能共通〉
    1. 7.1 毎日一定の時刻に服用させること。
    2. 7.2 本剤の投与にあたっては飲み忘れ等がないよう服用方法を十分指導すること。
    3. 7.3 万一前日の飲み忘れに気付いた場合、直ちに前日の飲み忘れた錠剤を服用し、当日の錠剤も通常の服薬時刻に服用する。2日以上服薬を忘れた場合は、気付いた時点で前日分の1錠を服用し、当日の錠剤も通常の服薬時刻に服用し、その後は当初の服薬スケジュールとおり服用を継続すること。
  • 〈月経困難症〉
    1. 7.4 初めて服用させる場合、原則として月経第1~5日目に服用を開始させること。
    2. 7.5 本剤の1年を超える投与における有効性及び安全性は確立していないので、1年を超える投与は治療上必要と判断される場合にのみ行い、定期的に画像診断及び臨床検査(血液検査等)を行うなど、患者の状態に十分注意すること。
    3. 7.6 ノルエチステロン・エチニルエストラジオール配合錠ULDのエチニルエストラジオールの用量はノルエチステロン・エチニルエストラジオール配合錠LDより低用量であり、臨床試験においてノルエチステロン・エチニルエストラジオール配合錠LDと比較して不正性器出血の発現率が高いことを踏まえ、症状や治療目標に応じて治療薬を選択すること。

8. 重要な基本的注意

  • 〈効能共通〉
    1. 8.1 本剤を避妊目的で使用しないこと。
    2. 8.2 本剤の服用により、年齢、喫煙、肥満、家族歴等のリスク因子の有無にかかわらず血栓症があらわれることがあるので、次のような症状があらわれた場合は直ちに投与を中止し、適切な処置を行うこと。
      • 緊急対応を要する血栓症の主な症状

        下肢の急激な疼痛・腫脹、突然の息切れ、胸痛、激しい頭痛、四肢の脱力・麻痺、構語障害、急性視力障害等

      患者に対しても、このような症状があらわれた場合は、直ちに服用を中止し、救急医療機関を受診するよう説明すること。

    3. 8.3 本剤の服用中に、血栓症が疑われる症状があらわれた場合は、投与を中止するなど適切な処置を行うこと。
      • 血栓症が疑われる症状

        下肢の疼痛・腫脹・しびれ・発赤・熱感、頭痛、嘔気・嘔吐等

    4. 8.4 血栓症のリスクが高まる状態(体を動かせない状態、顕著な血圧上昇、脱水等)が認められる場合は、投与を中止するなど適切な処置を行うこと。
    5. 8.5 患者には、投与開始時及び継続時に以下について説明すること。
      • 血栓症は生命に関わる経過をたどることがあること。
      • 血栓症が疑われる症状があらわれた場合や、血栓症のリスクが高まる状態になった場合は、症状・状態が軽度であっても直ちに服用を中止し医師等に相談すること。
      • 血栓症を疑って他の医療機関を受診する際は、本剤の使用を医師に告知し、本剤による血栓症を念頭においた診察を受けられるようにすること。
    6. 8.6 本剤服用中にやむを得ず手術が必要と判断される場合には、血栓症の予防に十分配慮すること。,
    7. 8.7 年齢及び喫煙量により心血管系の重篤な副作用の危険性が増大するとの報告があるので、本剤服用患者には禁煙するよう指導すること。,,,
    8. 8.8 本剤は黄体ホルモンと卵胞ホルモンの配合剤であることから、黄体ホルモン又は卵胞ホルモンを含有する薬剤(経口避妊薬等)を使用している場合は、本剤の投与開始前に中止させること。また、本剤投与中にこれらの薬剤を使用しないよう患者に指導すること。
  • 〈月経困難症〉
    1. 8.9 本剤の投与に際しては、患者の病歴調査及び検診が必要である。この検診には、血圧測定、乳房・腹部の検査及び臨床検査が含まれる。本剤投与中は6ヵ月毎の検診を行い、1年に1回以上、子宮・卵巣を中心とした骨盤内臓器の検査を行うこと。また、1年に1回、子宮頸部の細胞診の実施を考慮すること。,,
    2. 8.10 乳癌の検査は、患者に自己検診を行うよう指導すること。,,
    3. 8.11 本剤投与中の器質的疾患を伴う月経困難症患者では、不正性器出血の発現に注意するとともに定期的に内診及び超音波検査等を実施して、器質的疾患の増悪の有無を確認すること。特に、子宮内膜症性卵巣嚢胞(卵巣チョコレート嚢胞)は、自然経過において悪性化することを示唆する報告があるので、画像診断や腫瘍マーカー等の検査も行うこと。本剤投与中に腫瘤が増大するなど器質的疾患の増悪が認められる場合は、他の治療法も勘案したうえで投与継続の可否を判断すること。,
    4. 8.12 本剤投与中は経過を十分に観察し、期待する効果が得られない場合には漫然と投与を継続せず、他の適切な治療を考慮すること。
    5. 8.13 服用中に不正性器出血が発現した場合、通常は投与継続中に消失するが、長期間持続する場合は、腟細胞診等の検査で悪性疾患によるものではないことを確認の上、投与すること。,
    6. 8.14 本剤投与により希発月経等の月経異常や不正性器出血がみられる。患者にはあらかじめ十分に説明し、通常の月経に比べて出血量が多く持続日数が長い場合あるいは月経の発来がない場合には、医師へ相談するよう指導すること。出血が続く患者には必要に応じて血液検査等を実施し、異常が認められた場合には鉄剤の投与又は本剤の投与中止など適切な処置を行うこと。
    7. 8.15 服用中に激しい下痢、嘔吐が続いた場合には本剤の吸収不良をきたすことがあり、妊娠する可能性が高くなるので注意すること。
  • 〈生殖補助医療における調節卵巣刺激の開始時期の調整〉
    1. 8.16 本剤は、不妊治療に十分な知識と経験のある医師のもとで使用すること。本剤投与により予想されるリスク及び注意すべき症状について、あらかじめ患者に説明を行うこと。
    2. 8.17 服用中に激しい下痢、嘔吐が続いた場合には本剤の吸収不良を来すことがあり、予定した時期に消退出血が発来しない可能性があるので、医師に相談すること。

9. 特定の背景を有する患者に関する注意

9.1 合併症・既往歴等のある患者

  1. 9.1.1 子宮筋腫のある患者

    定期的に内診や画像診断等の検査を行うなど慎重に投与すること。筋腫の腫大を促すことがある。

  2. 9.1.2 40歳以上の患者(ただし、1日15本以上の喫煙者には投与しないこと)

    一般に心筋梗塞等の心血管系の障害が発生しやすくなる年代であるため、これを助長するおそれがある。,,

  3. 9.1.3 乳癌の既往歴のある患者

    乳癌が再発するおそれがある。

  4. 9.1.4 乳癌の家族歴又は乳房に結節のある患者

    定期的に乳房検診を行うなど慎重に投与すること。エストロゲン投与と乳癌発生との因果関係についてその関連性を示唆する報告もある。

  5. 9.1.5 喫煙者(ただし、35歳以上で1日15本以上の喫煙者には投与しないこと)

    心筋梗塞等の心血管系の障害が発生しやすくなるとの報告がある。,,

  6. 9.1.6 肥満の患者

    血栓症等の心血管系の障害が発生しやすくなるとの報告がある。

  7. 9.1.7 血栓症の家族歴を持つ患者

    血栓症等の心血管系の障害が発生しやすくなるとの報告がある。

  8. 9.1.8 前兆を伴わない片頭痛の患者

    脳血管障害(脳卒中等)が発生しやすくなるとの報告がある。

  9. 9.1.9 心臓弁膜症の患者(ただし、肺高血圧症又は心房細動を合併する心臓弁膜症の患者、亜急性細菌性心内膜炎の既往歴のある心臓弁膜症の患者には投与しないこと)

    血栓症等の心血管系の障害が発生しやすくなるとの報告がある。,

  10. 9.1.10 軽度の高血圧(妊娠中の高血圧の既往も含む)のある患者

    血栓症等の心血管系の障害が発生しやすくなるとの報告がある。また、症状が増悪することがある。,

  11. 9.1.11 耐糖能の低下している患者(糖尿病患者及び耐糖能異常の患者)

    十分コントロールを行いながら投与すること。耐糖能が低下することがある。

  12. 9.1.12 ポルフィリン症の患者

    症状が増悪することがある。

  13. 9.1.13 心疾患又はその既往歴のある患者

    ナトリウム又は体液の貯留により症状が増悪することがある。

  14. 9.1.14 てんかん患者

    症状が増悪することがある。

  15. 9.1.15 テタニーのある患者

    症状が増悪することがある。

9.2 腎機能障害患者

  1. 9.2.1 腎疾患又はその既往歴のある患者

    ナトリウム又は体液の貯留により症状が増悪することがある。

9.3 肝機能障害患者

  1. 9.3.1 重篤な肝障害のある患者

    投与しないこと。代謝能が低下しており肝臓への負担が増加するため、症状が増悪することがある。

  2. 9.3.2 肝障害のある患者(重篤な肝障害の患者を除く)

    代謝能が低下しており肝臓への負担が増加するため、症状が増悪することがある。

9.4 生殖能を有する者

  • 〈月経困難症〉
    1. 9.4.1 本剤の投与に際しては、問診、内診、基礎体温の測定、免疫学的妊娠診断等により、妊娠していないことを十分に確認すること。,
    2. 9.4.2 服用中に消退出血が2周期連続して発来しなかった場合、投与継続に先だって妊娠していないことを確認すること。,
    3. 9.4.3 妊娠を希望する場合には、本剤の服用を中止後に月経周期が回復するまで避妊させることが望ましい。

9.5 妊婦

  1. 9.5.1 妊婦又は妊娠している可能性のある女性には投与しないこと。妊娠が確認された場合には投与を中止すること。,,
  2. 9.5.2 卵胞ホルモン剤を妊娠動物(マウス)に投与した場合、児の成長後腟上皮及び子宮内膜の悪性変性を示唆する結果が報告されている。また、新生児(マウス)に投与した場合、児の成長後腟上皮の悪性変性を認めたとの報告がある。

9.6 授乳婦

投与しないこと。母乳の量的質的低下が起こることがある。また、母乳中への移行、児において黄疸、乳房腫大が起こるとの報告がある。

9.7 小児等

小児等を対象とした有効性及び安全性を指標とした臨床試験は実施していない。

10. 相互作用

    10.2 併用注意(併用に注意すること)

    薬剤名等臨床症状・措置方法機序・危険因子
    • 副腎皮質ホルモン
      • プレドニゾロン等
    • 三環系抗うつ剤
      • イミプラミン等
    • セレギリン塩酸塩
    • シクロスポリン
    • テオフィリン
    • オメプラゾール

    これらの薬剤の作用が増強するおそれがある。

    本剤はこれらの薬剤の代謝を抑制すると考えられる。

    チザニジン

    これらの薬剤の作用が増強するおそれがある。

    本剤は肝の薬物代謝酵素(CYP1A2)を阻害し、この薬剤の代謝を抑制すると考えられる。

    リファンピシン
    リファブチン

    本剤の効果の減弱化及び不正性器出血の発現率が増大するおそれがある。

    これらの薬剤は肝の薬物代謝酵素(CYP3A4等)を誘導し、本剤の代謝を促進すると考えられる。

    • バルビツール酸系製剤
      • フェノバルビタール等
    • ヒダントイン系製剤
      • フェニトインナトリウム等
    • カルバマゼピン
      ボセンタン
      モダフィニル
      トピラマート

    本剤の効果の減弱化及び不正性器出血の発現率が増大するおそれがある。

    これらの薬剤は肝の薬物代謝酵素を誘導し、本剤の代謝を促進すると考えられる。

    • テトラサイクリン系抗生物質
      • テトラサイクリン等
    • ペニシリン系抗生物質
      • アンピシリン等

    本剤の効果の減弱化及び不正性器出血の発現率が増大するおそれがある。

    これらの薬剤は腸内細菌叢を変化させ、本剤の腸肝循環による再吸収を抑制すると考えられる。

    テルビナフィン塩酸塩

    黄体ホルモン・卵胞ホルモン配合剤との併用で、月経異常があらわれたとの報告がある。

    機序不明

    • Gn-RH誘導体
      • ブセレリン酢酸塩等

    これらの薬剤の作用を減弱するおそれがある。

    これらの薬剤は性ホルモンの分泌を低下することにより薬効を示すため、性ホルモンである本剤の投与によってこれらの薬剤の効果を減弱する可能性が考えられる。

    • 血糖降下剤
      • インスリン製剤
        スルフォニル尿素系製剤
        スルフォンアミド系製剤
        ビグアナイド系製剤等

    血糖降下剤の作用が減弱するおそれがある。血糖値その他患者の状態を十分観察し、血糖降下剤の用量を調節するなど注意する。

    本剤は耐糖能を低下させ、血糖降下剤の作用を減弱させると考えられる。

    ラモトリギン
    モルヒネ
    サリチル酸

    これらの薬剤の血中濃度が低下するおそれがある。

    本剤はこれらの薬剤のグルクロン酸抱合を促進すると考えられる。

    • HIVプロテアーゼ阻害剤
      • ネルフィナビルメシル酸塩
        ホスアンプレナビル(リトナビル併用時)

    エチニルエストラジオールの血中濃度が低下するおそれがある。

    機序不明

      • リトナビル
        ダルナビル(リトナビル併用時)

    エチニルエストラジオールの血中濃度が低下するおそれがある。

    リトナビルは薬物代謝酵素を誘導し、本剤の代謝を促進すると考えられる。

      • ロピナビル・リトナビル配合剤

    エチニルエストラジオールの血中濃度が低下するおそれがある。

    この薬剤は薬物代謝酵素を誘導し、本剤の代謝を促進すると考えられる。

    • 非ヌクレオシド系逆転写酵素阻害剤
      • ネビラピン

    エチニルエストラジオールの血中濃度が低下するおそれがある。

    機序不明

    • HIVプロテアーゼ阻害剤
      • アタザナビル

    本剤の血中濃度が上昇するおそれがある。

    本剤の代謝酵素(CYP3A4)を阻害すると考えられる。

    非ヌクレオシド系逆転写酵素阻害剤

    • エトラビリン

    本剤の血中濃度が上昇するおそれがある。

    この薬剤は本剤の代謝酵素(CYP2C9)を阻害すると考えられる。

    アプレピタント
    ホスアプレピタント

    本剤の効果が減弱されるおそれがある。

    機序は解明されていないが、これらの薬剤との併用により本剤の代謝が亢進すると考えられる。

    フルコナゾール

    本剤の血中濃度が上昇するおそれがある。

    フルコナゾールは本剤の代謝酵素(CYP3A4)を阻害すると考えられる。

    ボリコナゾール

    本剤の血中濃度が上昇するおそれがある。
    ボリコナゾールの血中濃度が上昇するおそれがある。

    ボリコナゾールは本剤の代謝酵素(CYP3A4)を阻害すると考えられる。
    本剤がボリコナゾールの代謝酵素(CYP2C19)を阻害すると考えられる。

    アセトアミノフェン

    本剤の血中濃度が上昇するおそれがある。
    アセトアミノフェンの血中濃度が低下するおそれがある。

    アセトアミノフェンはエチニルエストラジオールの硫酸抱合を阻害すると考えられる。
    本剤が肝におけるアセトアミノフェンのグルクロン酸抱合を促進すると考えられる。

    ルフィナミド

    本剤の効果が減弱化するおそれがある。

    機序不明

    セイヨウオトギリソウ(St. John's Wort、セント・ジョーンズ・ワート)含有食品

    本剤の効果の減弱化及び不正性器出血の発現率が増大するおそれがあるので、本剤投与時はセイヨウオトギリソウ含有食品を摂取しないよう注意すること。

    この食品は肝の薬物代謝酵素を誘導し、本剤の代謝を促進すると考えられる。

    11. 副作用

    次の副作用があらわれることがあるので、観察を十分に行い、異常が認められた場合には投与を中止するなど適切な処置を行うこと。

    11.1 重大な副作用

    1. 11.1.1 血栓症(四肢、肺、心、脳、網膜等)(頻度不明)

      下肢の急激な疼痛・腫脹、突然の息切れ、胸痛、激しい頭痛、四肢の脱力・麻痺、構語障害、急性視力障害等の症状があらわれた場合には直ちに投与を中止し、適切な処置を行うこと。,,,,,,,,,,,,,,,,,,,,,,

    2. 11.1.2 アナフィラキシー(頻度不明)

      呼吸困難、蕁麻疹、血管浮腫、そう痒感等があらわれることがある。

    11.2 その他の副作用

    5%以上

    0.1~5%未満

    頻度不明

    過敏症

    発疹、薬疹、顔面浮腫

    血液

    貧血

    内分泌代謝

    浮腫、体重増加、体重減少、高プロラクチン血症

    高脂血症

    精神神経

    頭痛(15.5%)

    倦怠感、めまい、いらいら感、ふらつき、感覚鈍麻、嗅覚錯誤、眠気、不眠症、感情不安定、顔面感覚鈍麻、片頭痛、異常感、知覚過敏、睡眠障害

    神経過敏、頭重、しびれ感、振戦、抑うつ

    霧視

    視覚障害(視力低下、視野欠損等)

    循環器

    血圧上昇、動悸、ほてり、末梢性浮腫、起立性低血圧

    消化器

    悪心(17.9%)、上腹部痛

    嘔吐、腹痛、下痢、便秘、胃痛、腹部膨満、鼓腸、胃炎、過敏性腸症候群、胃不快感、歯痛、排便痛、消化管運動障害、口内炎、食欲不振、痔核、腸炎、腹部不快感、消化不良、胃腸炎

    口渇、胸やけ、食欲亢進

    肝臓

    肝機能異常

    黄疸

    皮膚

    ざ瘡、湿疹、蕁麻疹、多形紅斑、アトピー性皮膚炎、女性陰部そう痒症、紅斑、そう痒症、皮膚乾燥、紫斑

    色素沈着1)、脱毛症、結節性紅斑

    筋・骨格

    背部痛

    四肢痛、筋痙縮、筋骨格硬直

    腎・尿路

    尿道炎、尿中蛋白陽性

    卵巣

    出血性卵巣嚢胞、卵巣新生物、卵巣嚢胞、卵巣血腫、卵巣出血

    子宮

    不正性器出血(破綻出血、点状出血)(LD:60.0%、ULD:81.1%)2)、希発月経(LD:14.1%、ULD:35.8%)、月経過多、下腹部痛、過少月経、頻発月経

    無月経、不規則月経、性器分泌物、子宮肥大、消退出血不規則、性交出血、子宮類線維腫の変性、子宮平滑筋腫、子宮頸管ポリープ、月経前症候群、子宮出血

    経血量の変化、帯下の増加

    乳房

    乳房痛、乳房不快感

    乳房緊満感、乳房萎縮、乳汁分泌、乳癌、乳房腫瘤、乳汁漏出症、線維嚢胞性乳腺疾患、乳腺線維腺腫

    臨床検査

    AST増加、ALT増加、γ-GTP増加、プラスミノーゲン増加、血中トリグリセリド増加、血中コレステロール増加、血中フィブリノゲン増加、血中鉄減少、血小板数増加、血中ビリルビン増加、血中鉄増加、子宮頸部スミア異常

    フィブリンDダイマー増加

    その他

    性欲減退、熱感、胸部不快感、炎症性疼痛、帯状疱疹、副鼻腔炎、齲歯、カンジダ症、鼻炎、髄膜腫、発熱、耳鳴、外陰腟乾燥、アレルギー性鼻炎

    多汗

    1) 長時間太陽光を浴びないよう注意すること。

    12. 臨床検査結果に及ぼす影響

    含有するエチニルエストラジオールの作用による血清蛋白(コルチコイド結合性グロブリン、サイロキシン結合性グロブリン等)の増加により、総コルチゾール、総T3、総T4の上昇がみられることがある。また、これらの遊離型は変化しないとされている。これら検査値の判定に際しては注意すること。

    14. 適用上の注意

    14.1 薬剤交付時の注意

    PTP包装の薬剤はPTPシートから取り出して服用するよう指導すること。PTPシートの誤飲により、硬い鋭角部が食道粘膜へ刺入し、更には穿孔をおこして縦隔洞炎等の重篤な合併症を併発することがある。

    15. その他の注意

    15.1 臨床使用に基づく情報

    1. 15.1.1 外国の疫学調査の結果、静脈血栓症のリスクは、経口避妊薬を服用している女性は服用していない女性に比し、3.25~4.0倍高くなるとの報告がある。
      また、静脈血栓症のリスクは経口避妊薬服用開始の最初の1年間において最も高くなるとの報告がある。
      さらに、外国での大規模市販後調査の結果、初めて経口避妊薬の服用を開始した時だけでなく、4週間以上の中断後に服用を再開した時又は4週間以上の中断後に別の経口避妊薬へ切り替えた時にも静脈血栓症のリスクが上昇し、そのリスクは服用開始後3ヵ月間が特に高いとの報告がある。
    2. 15.1.2 外国での疫学調査の結果、経口避妊薬の服用により乳癌及び子宮頸癌になる可能性が高くなるとの報告がある。
    3. 15.1.3 外国で、経口避妊薬を2年以上服用した場合、良性肝腫瘍が10万人当たり3.4人発生するとの報告がある。また、腫瘍の破裂により腹腔内出血を起こす可能性がある。一方、悪性肝腫瘍(肝癌)の発生率は極めて低く、100万人当たり1人に満たない。
    4. 15.1.4 外国で、経口避妊薬の服用により全身性エリテマトーデス(SLE)の悪化、溶血性尿毒症症候群(HUS)があらわれたとの報告がある。
    5. 15.1.5 外国で、経口避妊薬の服用による角膜厚の変化等によりコンタクトレンズがうまく調整されないため、視力・視野の変化、装用時の不快感等がみられたとの報告がある。
    6. 15.1.6 調節卵巣刺激の前周期に低用量卵胞ホルモン・黄体ホルモン配合剤を投与した場合の生産率及び継続妊娠率は、投与しなかった場合と比較して低かったとの報告がある1)

    16. 薬物動態

    16.1 血中濃度

    • 〈ノルエチステロン1mg・エチニルエストラジオール0.035mg配合製剤(LD配合製剤)〉
      1. 16.1.1 単回経口投与

        健康成人女性29例へのLD配合製剤(ノルエチステロン1mg、エチニルエストラジオール0.035mg)単回経口投与時の薬物動態パラメータは、以下のとおりであった2)

        Cmax
        (ng/mL)

        Tmax
        (hr)

        t1/2
        (hr)

        AUC0-∞
        (ng・hr/mL)

        ノルエチステロン

        12.4±4.4

        1.7±1.0

        6.8±1.1

        75.2±34.1

        エチニルエストラジオール

        0.094±0.031

        1.4±0.5

        9.3±3.7

        0.923±0.357

        (n=29、平均値±標準偏差)

      2. 16.1.2 反復経口投与

        健康成人女性9例にLD配合製剤と同一成分・含量の薬剤を21日間反復経口投与した場合の薬物動態パラメータは、以下のとおりであった3)

        Cmax
        (ng/mL)

        Tmax
        (hr)

        t1/2
        (hr)

        AUC0-24
        (ng・hr/mL)

        ノルエチステロン

        22.4±11.1

        2.6±3.7

        9.7±2.2

        175.7±51.3

        エチニルエストラジオール

        0.172±0.052

        1.3±1.0

        12.5±2.7

        1.999±0.455

        (n=9、平均値±標準偏差)

    • 〈ノルエチステロン1mg・エチニルエストラジオール0.02mg配合製剤(ULD配合製剤)〉
      1. 16.1.3 単回経口投与

        健康成人女性12例へのULD配合製剤(ノルエチステロン1mg、エチニルエストラジオール0.02mg)単回経口投与時の薬物動態パラメータは、以下のとおりであった4)

        Cmax
        (ng/mL)

        Tmax
        (hr)

        t1/2
        (hr)

        AUC0-24
        (ng・hr/mL)

        ノルエチステロン

        12.5±6.2

        1.8±0.8

        7.4±1.9

        69.2±36.3

        エチニルエストラジオール

        0.056±0.017

        1.5±0.4

        5.5±2.2

        0.368±0.171

        (n=12、平均値±標準偏差)

      2. 16.1.4 反復経口投与

        ノルエチステロン、エチニルエストラジオールともに投与4日目から定常状態に達すると考えられる5)

      3. 16.1.5 生物学的同等性試験
        • 〈フリウェル配合錠LD「サワイ」〉

          フリウェル配合錠LD「サワイ」とルナベル配合錠LDを閉経後健康女性にそれぞれ1錠(ノルエチステロン1mg、エチニルエストラジオール0.035mg)空腹時単回経口投与(クロスオーバー法)し、ノルエチステロン及びエチニルエストラジオールの血清中濃度を測定した。得られた薬物動態パラメータ(AUC、Cmax)について90%信頼区間法にて統計解析を行った結果、log(0.80)~log(1.25)の範囲内であり、両剤の生物学的同等性が確認された6)

          各製剤1錠投与時の薬物動態パラメータ

          Cmax
          (ng/mL)

          Tmax
          (hr)

          T1/2
          (hr)

          AUC0-48hr
          (ng・hr/mL)

          ノルエチステロン

          フリウェル配合錠LD「サワイ」

          14.22±5.99

          1.7±0.9

          9.1±2.6

          90.47±48.30

          ルナベル配合錠LD

          13.76±4.30

          1.2±0.5

          9.4±2.2

          90.30±50.70

          エチニルエストラジオール

          フリウェル配合錠LD「サワイ」

          0.107±0.034

          1.4±0.8

          15.8±5.7

          1.096±0.339

          ルナベル配合錠LD

          0.106±0.029

          1.1±0.3

          16.7±4.9

          1.105±0.286

          (Mean±S.D.)

        • 〈フリウェル配合錠ULD「サワイ」〉

          フリウェル配合錠ULD「サワイ」とルナベル配合錠ULDを閉経後健康女性にそれぞれ1錠(ノルエチステロン1mg、エチニルエストラジオール0.02mg)空腹時単回経口投与(クロスオーバー法)し、ノルエチステロン及びエチニルエストラジオールの血清中濃度を測定した。得られた薬物動態パラメータ(AUC、Cmax)について90%信頼区間法にて統計解析を行った結果、log(0.80)~log(1.25)の範囲内であり、両剤の生物学的同等性が確認された7)

          各製剤1錠投与時の薬物動態パラメータ

          Cmax
          (ng/mL)

          Tmax
          (hr)

          T1/2
          (hr)

          AUC0-48hr
          (ng・hr/mL)

          ノルエチステロン

          フリウェル配合錠ULD「サワイ」

          16.08±4.96

          1.2±0.7

          9.1±2.2

          90.50±24.34

          ルナベル配合錠ULD

          14.60±5.07

          1.3±0.8

          8.9±2.2

          93.78±30.22

          エチニルエストラジオール

          フリウェル配合錠ULD「サワイ」

          0.086±0.028

          1.0±0.6

          8.1±3.6

          0.642±0.242

          ルナベル配合錠ULD

          0.083±0.028

          1.0±0.3

          8.3±3.6

          0.637±0.260

          (Mean±S.D.)

          血清中濃度ならびにAUC、Cmax等のパラメータは、被験者の選択、体液の採取回数・時間等の試験条件によって異なる可能性がある。

    16.2 吸収

    1. 16.2.1 生物学的利用率

      外国人において、ラジオイムノアッセイ法により測定したノルエチステロン及びエチニルエストラジオールの経口投与後の生物学的利用率はそれぞれ64%及び約40%であった8)

    16.3 分布

    1. 16.3.1 血漿蛋白結合率

      限外ろ過法により測定したノルエチステロン及びエチニルエストラジオールのヒト血漿中蛋白結合率はそれぞれ約96%及び99%であった9)in vitro)。

    16.4 代謝

    ノルエチステロンは主にステロイド骨格中のA環の還元により代謝され、その後硫酸抱合あるいはグルクロン酸抱合を受ける。エチニルエストラジオールは肝ミクロゾーム代謝酵素によって不活性代謝物へ変換され、その後3位で直接硫酸抱合あるいはグルクロン酸抱合を受ける8),10)

    16.5 排泄

    ラットに経口投与した場合、ノルエチステロン及びエチニルエストラジオールは主に胆汁を経由して、糞中に排泄された9)

    17. 臨床成績

    17.1 有効性及び安全性に関する試験

    • 〈月経困難症、ノルエチステロン1mg・エチニルエストラジオール0.035mg配合製剤(LD配合製剤)〉
      1. 17.1.1 国内第III相試験

        子宮内膜症に伴う月経困難症患者(LD配合製剤群:21~44歳、平均31.7歳、プラセボ群:20~48歳、平均31.5歳)を対象とした4周期投与のプラセボ対照比較試験において、LD配合製剤は月経困難症スコア合計3)の変化量でプラセボに対して有意差(2標本t検定:p<0.0001)が認められた。

        投与前
        (-1周期)

        最終観察周期
        (4周期投与後又は中止時)

        LD配合製剤

        4.4±1.12(n=49)

        2.4±1.43(n=49)

        プラセボ

        4.3±1.02(n=47)

        3.7±1.27(n=47)

        (平均値±標準偏差)

        副作用の発現頻度はLD配合製剤群80.0%(40/50例)、プラセボ群67.3%(33/49例)であった。LD配合製剤群の主な副作用(10%以上)は、不正性器出血60.0%(30例)、悪心24.0%(12例)、希発月経20.0%(10例)、頭痛14.0%(7例)、乳房不快感10.0%(5例)であった11),12)

      2. 17.1.2 国内第III相試験

        子宮内膜症に伴う月経困難症患者(18~45歳、平均30.6歳)を対象とした、LD配合製剤13周期投与の長期投与試験における月経困難症スコア合計3)の推移は以下のとおりであった。

        投与前
        (-1周期)

        1周期
        投与後

        3周期
        投与後

        6周期
        投与後

        9周期
        投与後

        13周期
        投与後

        4.3±0.99
        (n=123)

        2.7±1.90
        (n=123)

        2.1±1.67
        (n=121)

        1.8±1.61
        (n=115)

        1.5±1.64
        (n=107)

        1.5±1.64
        (n=107)

        (平均値±標準偏差)

        副作用の発現頻度は89.1%(114/128例)であった。主な副作用(10%以上)は不正性器出血59.4%(76例)、悪心25.8%(33例)、頭痛15.6%(20例)、希発月経12.5%(16例)、上腹部痛11.7%(15例)であった13),14)

      3. 17.1.3 国内第III相試験

        機能性月経困難症患者(20~44歳、LD配合製剤群:平均29.1歳、プラセボ群:平均29.2歳)を対象とした4周期投与のプラセボ対照比較試験において、LD配合製剤は月経困難症スコア合計3)の変化量でプラセボに対して有意差(2標本t検定:p<0.001)が認められた15)

        投与前
        (-1周期)

        最終観察周期
        (4周期投与後又は中止時)

        LD配合製剤

        3.8±0.94(n=52)

        1.2±1.26(n=52)

        プラセボ

        3.6±0.71(n=55)

        2.2±1.43(n=55)

        (平均値±標準偏差)

    • 〈月経困難症、ノルエチステロン1mg・エチニルエストラジオール0.02mg配合製剤(ULD配合製剤)〉
      1. 17.1.4 国内第III相試験

        月経困難症患者(ULD配合製剤群:17~50歳、平均32.4歳、プラセボ群:20~48歳、平均30.4歳)を対象とした4周期投与のプラセボ対照比較試験において、ULD配合製剤は月経困難症スコア合計3)の変化量でプラセボに対して有意差(2標本t検定:p<0.001)が認められた。

        投与前
        (-1周期)

        最終観察周期
        (4周期投与後又は中止時)

        ULD配合製剤

        4.1±1.00(n=105)

        1.8±1.57(n=105)

        プラセボ

        4.2±0.95(n=54)

        2.9±1.55(n=54)

        (平均値±標準偏差)

        副作用の発現頻度は、ULD配合製剤群89.7%(96/107例)、プラセボ群57.4%(31/54例)であった。ULD配合製剤群の主な副作用(10%以上)は、不正性器出血70.1%(75例)、希発月経22.4%(24例)、頭痛12.1%(13例)、下腹部痛10.3%(11例)であった16)

      2. 17.1.5 国内第III相試験

        子宮内膜症に伴う月経困難症患者(20~47歳、平均33.2歳)を対象としたULD配合製剤13周期投与の長期投与試験において、月経困難症に対する効果はULD配合製剤投与期間中持続することが確認された。また、副作用の発現率は低下傾向を示し、発現率が上昇傾向を示す副作用は認められなかった。
        副作用の発現頻度は98.6%(145/147例)であった。主な副作用(10%以上)は、不正性器出血89.1%(131例)、希発月経45.6%(67例)、頭痛21.1%(31例)、月経過多16.3%(24例)、過少月経15.0%(22例)、悪心14.3%(21例)、頻発月経12.9%(19例)であった17)

        3) 月経困難症スコア合計(月経困難症の程度+鎮痛薬の使用)

        程度

        内容

        スコア

        月経困難症の程度

        なし

        なし

        0

        軽度

        仕事(学業・家事)に若干の支障あり

        1

        中等度

        横になって休憩したくなるほど仕事(学業・家事)への支障をきたす

        2

        重度

        1日以上寝込み、仕事(学業・家事)ができない

        3

        鎮痛薬の使用

        なし

        なし

        0

        軽度

        直前(あるいは現在)の月経期間中に、鎮痛薬を1日使用した

        1

        中等度

        直前(あるいは現在)の月経期間中に、鎮痛薬を2日使用した

        2

        重度

        直前(あるいは現在)の月経期間中に、鎮痛薬を3日以上使用した

        3

    18. 薬効薬理

    18.1 作用機序

    • 〈月経困難症〉
      1. 18.1.1 ノルエチステロン・エチニルエストラジオールは、排卵抑制作用及び子宮内膜増殖抑制作用により、プロスタグランジンの産生を抑制し、子宮平滑筋収縮等による疼痛を緩和すると考えられる18)
    • 〈生殖補助医療における調節卵巣刺激の開始時期の調整〉
      1. 18.1.2 ノルエチステロン・エチニルエストラジオール配合製剤を一定期間投与し、内因性の卵胞ホルモン及び黄体ホルモンの分泌を抑制した上で、配合製剤の有効成分である合成卵胞ホルモンと合成黄体ホルモンの血中濃度を一定期間維持し、配合製剤の中止によりそれらの血中濃度を急激に低下させることで子宮内膜がはく落し、生殖補助医療における調節卵巣刺激の開始時期を規定する消退出血が生じる19)

    18.2 排卵抑制作用

    健康成人女性(14例)にノルエチステロン1mg及びエチニルエストラジオール(0.035mg又は0.02mg)配合製剤を1日1回1錠21日間投与した時、いずれもエストラジオール及びプロゲステロンの分泌抑制が認められた20)

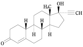
    19. 有効成分に関する理化学的知見

    19.1 ノルエチステロン

    一般的名称

    ノルエチステロン(Norethisterone)

    化学名

    17-Hydroxy-19-nor-17α-pregn-4-en-20-yn-3-one

    分子式

    C20H26O2

    分子量

    298.42

    性状

    白色~微黄白色の結晶性の粉末で、においはない。エタノール(95)、アセトン又はテトラヒドロフランにやや溶けにくく、ジエチルエーテルに溶けにくく、水に極めて溶けにくい。光によって変化する。

    化学構造式

    融点

    203~209℃

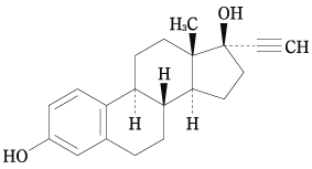
    19.2 エチニルエストラジオール

    一般的名称

    エチニルエストラジオール(Ethinylestradiol)

    化学名

    19-Nor-17α-pregna-1,3,5(10)-triene-20-yne-3,17-diol

    分子式

    C20H24O2

    分子量

    296.40

    性状

    白色~微黄色の結晶又は結晶性の粉末で、においはない。ピリジン又はテトラヒドロフランに溶けやすく、エタノール(95)又はジエチルエーテルにやや溶けやすく、水にほとんど溶けない。水酸化ナトリウム試液に溶ける。

    化学構造式

    融点

    180~186℃又は142~146℃

    20. 取扱い上の注意

    アルミピロー包装開封後は、遮光して保存すること。

    22. 包装

    • 〈フリウェル配合錠LD「サワイ」〉

      PTP[乾燥剤入り]:63錠(21錠×3)

    • 〈フリウェル配合錠ULD「サワイ」〉

      PTP[乾燥剤入り]:63錠(21錠×3)

    23. 主要文献

    1) Farquhar, C. et al.:Cochrane Database Syst. Rev., 2017;5:CD006109

    2) 健康成人女性への単回経口投与後の血中濃度検討(ルナベル配合錠:2008年4月16日承認、申請資料概要2.7.6.1)

    3) 臨床第Ⅰ相試験-反復経口投与試験(ルナベル配合錠:2008年4月16日承認、申請資料概要2.7.2.2)

    4) 健康成人女性への単回経口投与試験(ルナベル配合錠:2013年6月28日承認、申請資料概要2.7.6U.1)

    5) 反復経口投与(ルナベル配合錠:2013年6月28日承認、申請資料概要2.7.2U.3)

    6) 中川美聡他:新薬と臨床, 2017;66(10):1287-1297

    7) 田中孝典他:診療と新薬, 2018;55(11):853-860

    8) Orme, M. L'E. et al.:Clin. Pharmacokinet., 1983;8:95-136

    9) 百瀬裕子他:基礎と臨床, 1990;24:4841-4872

    10) 代謝(ルナベル配合錠:2008年4月16日承認、申請資料概要2.7.2.2)

    11) Harada, T. et al.:Fertil. Steril., 2008;90:1583-1588

    12) 第Ⅲ相比較試験-プラセボ対照二重盲検試験(ルナベル配合錠:2008年4月16日承認、申請資料概要2.7.6.3)

    13) 百枝幹雄他:産科と婦人科, 2008;75:1165-1181

    14) 第Ⅲ相長期投与試験(ルナベル配合錠:2008年4月16日承認、申請資料概要2.7.6.4)

    15) Harada, T. et al.:Fertil. Steril., 2011;95:1928-1931

    16) 第Ⅲ相比較試験-プラセボ対照二重盲検試験(ルナベル配合錠:2013年6月28日承認、申請資料概要2.7.6U.3)

    17) 第Ⅲ相長期投与試験(ルナベル配合錠:2013年6月28日承認、申請資料概要2.7.6U.4)

    18) 作用機序(ルナベル配合錠:2008年4月16日承認、申請資料概要2.6.2.1)

    19) 作用機序(ルナベル配合錠:2022年3月11日承認、審査報告書)

    20) 健康成人女性への反復経口投与試験(ルナベル配合錠:2013年6月28日承認、申請資料概要2.7.6U.2)

    24. 文献請求先及び問い合わせ先

    沢井製薬株式会社 医薬品情報センター

    〒532-0003 大阪市淀川区宮原5丁目2-30

    TEL:0120-381-999 FAX:06-7708-8966

    25. 保険給付上の注意

    本剤が避妊の目的で処方された場合には、保険給付の対象とはしないこと。

    26. 製造販売業者等

    26.1 製造販売元

    沢井製薬株式会社

    大阪市淀川区宮原5丁目2-30

    〒100-0013 東京都千代田区霞が関3-3-2 新霞が関ビル

    画面を閉じる

    Copyright © Pharmaceuticals and Medical Devices Agency, All Rights reserved.