医療用医薬品 詳細表示

メコバラミン錠500μg「SW」

処方せん医薬品以外の医薬品

添付文書番号
企業コード
作成又は改訂年月
日本標準商品分類番号
薬効分類名
承認等
一般的名称
3.組成・性状
3.1組成
3.2製剤の性状
4.効能又は効果
6.用法及び用量
8.重要な基本的注意
9.特定の背景を有する患者に関する注意
9.7小児等
11.副作用
11.2その他の副作用
14.適用上の注意
15.その他の注意
15.2非臨床試験に基づく情報
16.薬物動態
16.1血中濃度
17.臨床成績
17.1有効性及び安全性に関する試験
18.薬効薬理
18.1作用機序
18.2神経細胞内小器官へよく移行し、核酸・蛋白合成を促進
18.3軸索内輸送、軸索再生の促進
18.4髄鞘形成(リン脂質合成)の促進
18.5シナプス伝達の遅延、神経伝達物質の減少を回復
19.有効成分に関する理化学的知見
20.取扱い上の注意
22.包装
23.主要文献
24.文献請求先及び問い合わせ先
26.製造販売業者等

メコバラミン錠500μg「SW」

添付文書番号

3136004F2278_2_02

企業コード

300119

作成又は改訂年月

2024年2月改訂(第1版)

日本標準商品分類番号

873136

薬効分類名

末梢性神経障害治療剤

承認等

メコバラミン錠500μg「SW」

販売名コード

YJコード

3136004F2278

販売名英語表記

Mecobalamin Tablets 500μg “SW”

販売名ひらがな

めこばらみんじょう

承認番号等

承認番号

22700AMX00296000

販売開始年月

1984年6月

貯法・有効期間

貯法

室温保存

有効期間

3年

基準名

日本薬局方

メコバラミン錠

一般的名称

メコバラミン

3. 組成・性状

3.1 組成

メコバラミン錠500μg「SW」

1錠中
有効成分日局メコバラミン   500μg
添加剤アラビアゴム、カルナウバロウ、カルメロースCa、クエン酸Ca、結晶セルロース、酸化チタン、ステアリン酸Mg、タルク、乳糖、白糖、ヒドロキシプロピルセルロース、硫酸Ca、黄色4号(タートラジン)アルミニウムレーキ

3.2 製剤の性状

メコバラミン錠500μg「SW」

剤形糖衣錠
外形

大きさ直径6.0mm
厚さ3.6mm
質量約100mg
識別コードSW 376
性状淡黄色

4. 効能又は効果

末梢性神経障害

6. 用法及び用量

通常、成人は1日3錠(メコバラミンとして1日1,500μg)を3回にわけて経口投与する。
ただし、年齢及び症状により適宜増減する。

8. 重要な基本的注意

本剤投与で効果が認められない場合、月余にわたって漫然と使用すべきでない。

9. 特定の背景を有する患者に関する注意

9.7 小児等

小児等を対象とした臨床試験は実施していない。

11. 副作用

次の副作用があらわれることがあるので、観察を十分に行い、異常が認められた場合には投与を中止するなど適切な処置を行うこと。

11.2 その他の副作用

0.1~5%未満

0.1%未満

消化器

食欲不振、悪心・嘔吐、下痢

過敏症

発疹

注)発現頻度は製造販売後調査を含む。

14. 適用上の注意

14.1 薬剤交付時の注意

PTP包装の薬剤はPTPシートから取り出して服用するよう指導すること。PTPシートの誤飲により、硬い鋭角部が食道粘膜へ刺入し、更には穿孔をおこして縦隔洞炎等の重篤な合併症を併発することがある。

15. その他の注意

15.2 非臨床試験に基づく情報

水銀及びその化合物を取り扱う職業従事者に長期にわたって大量に投与することは避けることが望ましい。

16. 薬物動態

16.1 血中濃度

  1. 16.1.1 単回投与

    健康成人男子にメコバラミン120μg、1,500μg1)を絶食下単回経口投与した場合、いずれの投与量においても投与後約3時間で最高血中濃度に達し、濃度依存による吸収が観察された。半減期、血清中総ビタミンB12(以下B12)濃度の投与12時間までの増加分及びΔAUC120を下表に示し、血清中総B12濃度の推移を下図に示した。
    尿中総B12排泄量は投与後8時間までに投与後24時間排泄量の40~90%が排泄された1)

    1) 本剤の承認された用法及び用量は「通常、成人はメコバラミンとして1日1,500μgを3回に分けて経口投与する。ただし、年齢及び症状により適宜増減する。」である。

    投与量

    tmax
    (hour)

    Cmax
    (pg/mL)

    ΔCmax
    (pg/mL)

    ΔCmax%
    (%)

    ΔAUC120※1
    (pg・hr/mL)

    t1/2※2
    (hour)

    120μg

    2.8±0.2

    743±47

    37±15

    5.1±2.1

    168±58

    算出不能

    1,500μg

    3.6±0.5

    972±55

    255±51

    36.0±7.9

    2033±510

    12.5

    ※1:投与前値に対する投与後12時間までの実測値の増加分から台形公式により算出
    ※2:投与後24~48時間の平均値から算出
    Mean±S.E., n=8

  2. 16.1.2 反復投与

    健康成人男子5名に1,500μgを12週間反復経口投与し、投与中止後4週間の血清中総B12量の変動率を検討した。投与4週間で投与前値の約2倍に達し、以後も漸増し、12週後には約2.8倍を示した。投与中止4週後でも投与前値の約1.8倍を示した2),3)

  3. 16.1.3 生物学的同等性試験

    メコバラミン錠500μg「SW」とメチコバール錠500μgを健康成人男子にそれぞれ3錠(メコバラミンとして1,500μg2))空腹時単回経口投与(クロスオーバー法)し、血清中ビタミンB12濃度を測定した。得られた薬物動態パラメータ(AUC、Cmax)について統計解析を行った結果、両剤の生物学的同等性が確認された4)

    各製剤3錠投与時の薬物動態パラメータ

    Cmax
    (ng/mL)

    tmax
    (hr)

    t1/2
    (hr)

    AUC0-48hr
    (ng・hr/mL)

    メコバラミン錠500μg「SW」

    0.84±0.27

    3.4±0.8

    14.4±7.0

    29.85±9.76

    メチコバール錠500μg

    0.86±0.24

    4.3±3.0

    13.4±9.7

    30.92±8.30

    ※ゼロ補正をし算出
    (Mean±S.D.)

    血清中濃度ならびにAUC、Cmax等のパラメータは、被験者の選択、体液の採取回数・時間等の試験条件によって異なる可能性がある。

    2) メコバラミン1,500μg単回投与は、承認外用量である。

17. 臨床成績

17.1 有効性及び安全性に関する試験

  1. 17.1.1 国内臨床試験(用量比較試験)

    末梢性神経障害に対して、メコバラミンとして1日1,500μg及び1日120μg(低用量群)を3回に分けて4週間反復経口投与し、二重盲検比較試験を行った。慢性期及び固定期の症例に対して、メコバラミンの改善率は改善以上で1,500μgが17.6%(6/34)、120μgが9.7%(3/31)、やや改善以上で1,500μgが64.7%(22/34)、120μgが41.9%(13/31)であり、1,500μg/日投与の有用性が認められた5)

  2. 17.1.2 国内臨床試験(コバマミド及びプラセボ対照比較試験)

    末梢神経障害に対してメコバラミン1日1,500μg、コバマミド1日1,500μg及びプラセボを4週間反復経口投与し、二重盲検比較試験を行った。全般改善度は中等度改善以上で、メコバラミン投与群38.6%(17/44)、コバマミド投与群22.2%(10/45)、プラセボ投与群26.7%(12/45)であり、メコバラミンの有用性が認められた6)

18. 薬効薬理

18.1 作用機序

メコバラミンは生体内補酵素型ビタミンB12の1種であり、ホモシステインからメチオニンを合成するメチオニン合成酵素の補酵素として働き、メチル基転位反応に重要な役割を果たす3)

18.2 神経細胞内小器官へよく移行し、核酸・蛋白合成を促進

シアノコバラミンに比し、神経細胞内の小器官への移行がよい(ラット)。また、脳由来細胞・脊髄神経細胞の実験系で、デオキシウリジンからチミジンへの合成系に関与し、貯蔵型葉酸の利用促進とともに核酸代謝にも関与し、コバマミドに比して核酸・蛋白の合成を促進する(ラット)7),8),9),10)

18.3 軸索内輸送、軸索再生の促進

ストレプトゾトシン投与による実験的糖尿病ラットの坐骨神経細胞で、軸索の骨格蛋白の輸送を正常化する。アドリアマイシン、アクリルアミド、ビンクリスチンによる薬物性神経障害(ラット、ウサギ)及び軸索変性モデルマウス、自然発症糖尿病ラットの神経障害に対して、神経病理学的、電気生理学的に変性神経の出現を抑制する11),12),13),14),15),16)

18.4 髄鞘形成(リン脂質合成)の促進

髄鞘の構成成分であるレシチンの合成を促進し、培養神経組織でコバマミドに比して神経線維の髄鞘形成率を高める(ラット)17),18)

18.5 シナプス伝達の遅延、神経伝達物質の減少を回復

挫滅した坐骨神経で、神経線維の興奮性を高めることにより終板電位の誘発を早期に回復する(ラット)。また、コリン欠乏食ラットで低下した脳内アセチルコリン量を正常化する19),20)

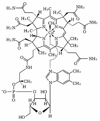
19. 有効成分に関する理化学的知見

一般的名称

メコバラミン(Mecobalamin)

化学名

Coα-[α-(5,6-Dimethyl-1H-benzimidazol-1-yl)]-Coβ-methylcobamide

分子式

C63H91CoN13O14P

分子量

1344.38

性状

暗赤色の結晶又は結晶性の粉末である。水にやや溶けにくく、エタノール(99.5)に溶けにくく、アセトニトリルにほとんど溶けない。光によって分解する。

化学構造式

20. 取扱い上の注意

PTP包装は外箱開封後、遮光して保存すること。
バラ包装はアルミ袋開封後、湿気を避けて遮光して保存すること。

22. 包装

PTP:100錠(10錠×10)、1,000錠(10錠×100)
バラ:1,000錠

24. 文献請求先及び問い合わせ先

日本ケミファ株式会社 安全管理部

〒101-0032 東京都千代田区岩本町2丁目2-3

TEL 0120-47-9321 03-3863-1225
FAX 03-3861-9567

26. 製造販売業者等

26.1 製造販売元

沢井製薬株式会社

大阪市淀川区宮原5丁目2-30

26.2 販売元

日本ケミファ株式会社

東京都千代田区岩本町2丁目2-3

〒100-0013 東京都千代田区霞が関3-3-2 新霞が関ビル

画面を閉じる

Copyright © Pharmaceuticals and Medical Devices Agency, All Rights reserved.